Đáp án Bài tập tự luyện
Câu 1 [516281]: Cho hàm số
liên tục trên
thỏa mãn
và
Tính tích phân
liên tục trên
thỏa mãn
và
Tính tích phân
A, 

B, 

C, 

D, 

Áp dụng công thức:
Xét

Đáp án B. Đáp án: B
Xét

Đáp án B. Đáp án: B
Câu 2 [789744]: (Bắc Ninh 2019) Cho hàm số
liên tục và có đạo hàm trên
thỏa mãn
. Tính
.
liên tục và có đạo hàm trên
thỏa mãn
. Tính
. A,
.
.B,
.
.C,
.
.D,
.
.
.
.Mà

Suy ra
.Vì
nên
,
.Vậy

. Đáp án: B
Câu 3 [151793]: Cho hàm số
là hàm liên tục thỏa mãn
. Tính
.
là hàm liên tục thỏa mãn
. Tính
. A,
.
.B,
.
.C,
.
.D,
.
.
Đáp án: B
Câu 4 [516283]: Cho hàm số
liên tục trên đoạn
biết rằng
và
Tính tích phân
liên tục trên đoạn
biết rằng
và
Tính tích phân
A, 

B, 

C, 

D, 

Áp dụng công thức:
Xét

Đáp án: C Đáp án: C
Xét


Đáp án: C Đáp án: C
Câu 5 [516284]: Cho hàm số
liên tục trên
thỏa mãn
và
Tính tích phân
liên tục trên
thỏa mãn
và
Tính tích phân
A, 

B, 

C, 

D, 

Có: 









Đáp án: B Đáp án: B










Đáp án: B Đáp án: B
Câu 6 [516285]: Cho hàm số
liên tục trên đoạn
thỏa mãn
và
Tích phân
bằng
liên tục trên đoạn
thỏa mãn
và
Tích phân
bằng A, 

B, 

C, 

D, 

Có:



Đáp án B Đáp án: B



Đáp án B Đáp án: B
Câu 7 [789734]: (Sở Hưng Yên - 2018) Cho hàm số
có đạo hàm liên tục trên
thỏa mãn
;
và
. Tích phân
bằng
có đạo hàm liên tục trên
thỏa mãn
;
và
. Tích phân
bằng A,
.
.B,
.
.C,
.
.D,
.
.
Đặt
.
Suy ra


Ta có:

.
Do đó,


.
Vì
nên 
.
Vậy

. Đáp án: B
.Suy ra



Ta có:


.Do đó,



.Vì
nên 
.Vậy


. Đáp án: B
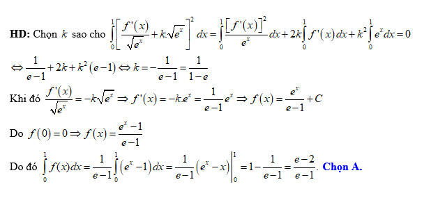
Câu 8 [149506]: Cho hàm số
có đạo hàm liên tục trên đoạn
thỏa mãn
và
Tích phân
bằng
có đạo hàm liên tục trên đoạn
thỏa mãn
và
Tích phân
bằng A, 

B, 

C, 

D, 

Đặt
khi đó
Suy ra
Mà
suy ra
Vậy
Lại có
Chọn A.
Nhận xét: Để chọn được đẳng thức
ta sẽ chọn hằng số
sao cho
Đáp án: A
khi đó
Suy ra
Mà
suy ra
Vậy
Lại có
Chọn A.
Nhận xét: Để chọn được đẳng thức
ta sẽ chọn hằng số
sao cho
Đáp án: A
Câu 9 [136475]: Cho hàm số
có đạo hàm liên tục trên đoạn
thỏa mãn
,
và
. Tính tích phân
có đạo hàm liên tục trên đoạn
thỏa mãn
,
và
. Tính tích phân
A, 

B, 

C, 

D, 

Đáp án: B
Câu 10 [140556]: Cho hàm số
có đạo hàm, liên tục trên đoạn
thỏa mãn
và
Tích phân
bằng
có đạo hàm, liên tục trên đoạn
thỏa mãn
và
Tích phân
bằng A, 

B, 

C, 

D, 


Câu 11 [789731]: (Sở Phú Thọ - 2018) Cho hàm số
có đạo hàm liên tục trên đoạn
thỏa mãn
,
và
. Tính tích phân
.
có đạo hàm liên tục trên đoạn
thỏa mãn
,
và
. Tính tích phân
. A,
.
.B,
.
.C,
.
.D,
.
.
Đặt
, 
Ta có




Tính được





.
Do
.
Vậy

. Đáp án: B
, 
Ta có





Tính được






.Do

.Vậy


. Đáp án: B
Câu 12 [140110]: Cho hàm số
có đạo hàm liên tục trên đoạn
thỏa mãn 
và
Tính tích phân
có đạo hàm liên tục trên đoạn
thỏa mãn 
và
Tính tích phân
A, 

B, 

C, 

D, 

Đáp án: B
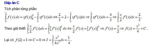
Câu 13 [151799]: Cho hàm số
liên tục trên
thỏa mãn các điều kiện
và
Giá trị của
bằng
liên tục trên
thỏa mãn các điều kiện
và
Giá trị của
bằng A, 

B, 

C, 

D, 

Đáp án: C
Câu 14 [216025]: Cho hàm số
có đạo hàm trên đoạn
thỏa mãn
và
Tích phân
bằng
có đạo hàm trên đoạn
thỏa mãn
và
Tích phân
bằng A, 4.
B, 2.
C, 1.
D, 3.
Chọn D
Ta có:
Vì
nên
Mà
Khi đó
Đáp án: D
Ta có:
Vì
nên
Mà
Khi đó
Đáp án: D
Câu 15 [147421]: Cho hàm số
có đạo hàm liên tục trên đoạn
và
đều nhận giá trị dương trên đoạn
và thỏa mãn
Tính
có đạo hàm liên tục trên đoạn
và
đều nhận giá trị dương trên đoạn
và thỏa mãn
Tính
A, 

B, 

C, 

D, 

Đáp án: D
Câu 16 [516287]: Cho hàm số
có đạo hàm liên tục trên đoạn
, thỏa mãn
và
Tính tích phân
có đạo hàm liên tục trên đoạn
, thỏa mãn
và
Tính tích phân
A, 

B, 

C, 

D, 



Đáp án B Đáp án: B
Câu 17 [516291]: Cho hàm số
có đạo hàm xác định và nhận giá trị dương trên đoạn
Biết rằng
Giá trị của
bằng
có đạo hàm xác định và nhận giá trị dương trên đoạn
Biết rằng
Giá trị của
bằng A, 

B, 

C, 

D, 

Theo tính chất tích phân ta có:
Xét
Có:



Đáp án: D Đáp án: D
Xét

Có:




Đáp án: D Đáp án: D
Câu 18 [151821]: Cho hàm số
có đạo hàm và liên tục trên đoạn
và
Biết rằng
và
. Tính
có đạo hàm và liên tục trên đoạn
và
Biết rằng
và
. Tính
A, 

B, 

C, 

D, 

Đáp án: D
Câu 19 [516292]: Cho hàm số
liên tục trên
thỏa mãn các điều kiện
và
Tích phân
bằng
liên tục trên
thỏa mãn các điều kiện
và
Tích phân
bằng A, 

B, 

C, 

D, 

Ta có:
Đặt
Áp dụng tính chất tích phân ta có:
Tính
Đáp án B. Đáp án: B
Đặt

Áp dụng tính chất tích phân ta có:
Tính
Đáp án B. Đáp án: B
Câu 20 [147239]: Cho hàm số
có đạo hàm liên tục trên đoạn
, thỏa mãn
và
Tích phân
bằng
có đạo hàm liên tục trên đoạn
, thỏa mãn
và
Tích phân
bằng A,
.
.B,
.
.C, 

D,
.
.
Đáp án: A