PHẦN I. Thí sinh trả lời từ câu 1 đến câu 18. Mỗi câu hỏi thí sinh chỉ chọn một phương án.
) và nước (
) thành các hợp chất hữu cơ và khí oxy (
). Phương trình tổng quát (đơn giản hóa) là:

⭐Hợp chất hữu cơ
được tạo ra là glucose, một loại carbohydrate (đường). Carbohydrate này là nguồn năng lượng và vật chất thiết yếu cho cây xanh và là nguồn thức ăn quan trọng cho con người (dưới dạng tinh bột, đường, cellulose, v.v.).Phân tích các đáp án:
• A. ester: Hợp chất hữu cơ được tạo ra từ phản ứng giữa acid carboxylic và alcohol.
• B. carbohydrate: Bao gồm đường, tinh bột, cellulose. Đây là sản phẩm chính của quang hợp.
• C. chất béo (fat): Lipid, thường được tổng hợp từ carbohydrate và là nguồn dự trữ năng lượng.
• D. amine: Hợp chất hữu cơ chứa nhóm amino (
).⟹ Chọn đáp án B Đáp án: B
⭐Phân tích các đáp án:
• A. Tơ visco: Được làm từ cellulose (polymer thiên nhiên) qua xử lý hóa học
Tơ nhân tạo (bán tổng hợp).• B. Tơ nylon-6,6: Được tổng hợp hoàn toàn
Tơ tổng hợp.• C. Tơ nitron: Được tổng hợp hoàn toàn
Tơ tổng hợp.• D. Tơ tằm: Có sẵn trong tự nhiên
Tơ thiên nhiên.⟹ Chọn đáp án A Đáp án: A
- Kim loại trong môi trường ẩm ướt dễ bị ăn mòn điện hóa do có nước làm chất điện ly, tạo điều kiện cho phản ứng oxi hóa-khử xảy ra.
- Ăn mòn điện hóa có thể làm hỏng vỏ pin, gây rò rỉ dung dịch, ảnh hưởng đến thiết bị và môi trường xung quanh
Phân tích các đáp án :
❌A. Sai vì phản ứng hóa học giữa pin và kim loại không phải là nguyên nhân chính gây cháy nổ. Pin chỉ phát nổ khi bị đoản mạch, quá nhiệt hoặc chập điện chứ không phải do tiếp xúc với kim loại trong môi trường ẩm.
✔️B. Đúng vì trong môi trường ẩm, có sự xuất hiện của nước làm chất điện ly, pin và vỏ hộp kim loại tạo thành một cặp điện hóa, dẫn đến quá trình ăn mòn điện hóa. Hậu quả là pin bị rò rỉ hóa chất và vỏ hộp bị hỏng.
❌C. Sai vì môi trường ẩm không trực tiếp làm pin nhanh hết điện. Tuy nhiên, ăn mòn điện hóa có thể làm hỏng pin, gián tiếp khiến pin bị rò rỉ và mất khả năng hoạt động
❌D. Sai vì dẫn nhiệt không phải vấn đề chính trong trường hợp này. Môi trường ẩm chủ yếu gây ăn mòn điện hóa chứ không ảnh hưởng nhiều đến tính dẫn nhiệt của kim loại.
⟹Chọn đáp án B
Đáp án: B

Dựa vào thông tin nào dưới đây có thể kết luận trong điều kiện đo, mẫu fructose tồn tại chủ yếu ở dạng mạch vòng mà không phải ở dạng mạch hở?
- Dạng mạch hở: Fructose có nhóm C=O (carbonyl) dạng ketone (-CO-) ở C2.
- Dạng mạch vòng: Nhóm C=O sẽ không còn, vì nó đã tham gia vào phản ứng nội phân tử để tạo nên vòng furanose hoặc pyranose.
Phân tích phổ IR (hồng ngoại):
- Nếu fructose tồn tại ở dạng mạch hở, phổ IR phải có đỉnh hấp thụ mạnh ở vùng 1700 cm-1, đặc trưng cho liên kết C=O của ketone.
- Nếu phổ không có tín hiệu C=O, điều đó chứng tỏ fructose chủ yếu tồn tại ở dạng mạch vòng, vì nhóm carbonyl đã tham gia tạo liên kết hemiketal.
⇒ Chọn đáp án A Đáp án: A
❌A. Đá vôi: Thành phần chính của đá vôi là CaCO3 (calcium carbonate). → Sai.
❌B. Đá hoa cương (Granite): Đây là một loại đá magma xâm nhập, thành phần chủ yếu là CaCO3, fenspat và mica. → Sai.
❌C. Đá phấn: Là một dạng đá trầm tích chứa CaCO3, hình thành từ vỏ sinh vật biển cổ đại. → Sai.
✔️D. Thạch cao: Thành phần chính của thạch cao là CaSO4·2H2O (calcium ngậm nước), không phải CaCO3.
⟹Chọn đáp án D Đáp án: D

Biện pháp nào sau đây không làm tăng hiệu suất quá trình điều chế
? ❌A. Loại bỏ bớt H2O(l) ra khỏi hỗn hợp => làm giảm nồng độ H2O => CBCD theo chiều thuận.
❌B. Thêm một lượng C2H5OH(l) vào hỗn hợp => làm tăng nồng độ H2O => CBCD theo chiều thuận.
❌C. Sử dụng chất xúc tác H2SO4 đặc.H2SO4 đặc có tính háo nước nên sẽ hấp thụ nước làm cân bằng chuyển dịch theo chiều thuận làm tăng hiệu suất nhé
✔️D. Thêm một lượng CH3COOC2H5(l) vào hỗn hợp => làm tăng nồng độ CH3COOC2H5(l) => CBCD theo chiều nghịch.
⟹ Chọn đáp án D Đáp án: D
Al2O3 + 6H+ → 2Al3+ + 3H2O
2Al + 6H+ → 2Al3+ + 3H2
⟹ Chọn đáp án A Đáp án: A
→ Công thức tổng quát của X là H2N-R-COOH.
Chất Y là ester của amino acid X với alcohol đơn chức Z. Biết phân tử khối của Y là 89.
Mà amino acid nhỏ nhất có phân tử khối là 75 amu, nên amino acid X là glycine và alcohol đơn chức Z là methyl alcohol
=> Công thức cấu tạo của X và Y lần lượt là: (X) H2NCH2COOH; (Y) H2NCH2COOCH3.
⟹ Chọn đáp án D Đáp án: D
Dưới đây là mô hình cấu tạo nguyên tử:
(Nucleus: hạt nhân)
⇒ Nguyên tử được cấu thành từ hai phần là hạt nhân nguyên tử và lớp vỏ electron; trong đó:
+) Hạt nhân nguyên tử được cấu thành từ hai loại hạt cơ bản là hạt proton và hạt neutron.
+) Lớp vỏ electron được cấu thành từ một loại hạt cơ bản là hạt electron.
⇒ Vì vậy, hạt nhân nguyên tử không được coi là hạt cơ bản.
⇒ Chọn đáp án D Đáp án: D
(1) CH3-CH=CH-CH3 + H2 ⟶ CH3-CH2-CH2-CH3
(2) CH2=CH-CH=CH2 + 2H2 ⟶ CH3-CH2-CH2-CH3
(3) CH3-C≡C-CH3 + 2H2 ⟶ CH3-CH2-CH2-CH3
(4) CH2=CH-C≡CH + 3H2 ⟶ CH3-CH2-CH2-CH3
⟹ Chọn đáp án B Đáp án: B
Có các phát biểu dưới đây về phức chất:
(a) có điện tích là 1+.
(b) tan tốt trong nước.
(c) có giá trị của m là 4.
(d) kém bền hơn cation Ag+(aq).
(e) tạo thành do cation Ag+(aq) nhận cặp electron hoá trị riêng của các phân tử nước.
Số phát biểu đúng là
✔️ (a) – Đúng. Phức chất [Ag(OH2)m]+(aq) có điện tích là 1+.
✔️ (b) – Đúng. Phức chất [Ag(OH2)m]+(aq) tan tốt trong nước.
✔️ (c) – Đúng. Phức chất [Ag(OH2)m]+(aq) có dạng tứ diện nên m = 4.
❌ (d) – Sai. Hòa tan AgNO3 vào nước thì thu được dung dịch chứa phức chất [Ag(OH2)m]+ (một chất sẽ chuyển thành dạng bền hơn của chính nó).
✔️(e) – Đúng. Theo thuyết Liên kết hoá trị, liên kết trong phức chất được hình thành do các phối tử cho cặp electron chưa liên kết vào các orbital lai hoá trống của nguyên tử trung tâm. Kiểu lai hoá các orbital của nguyên tử trung tâm quyết định dạng hình học của phức chất.
Có 4 phát biểu đúng.
⟹ Chọn đáp án D Đáp án: D




A. Amine có nhóm chức dạng ≡N đính với ba gốc hydrocarbon nên đây là amine bậc ba.
B. Amine có nhóm chức dạng –NH2 đính với một gốc hydrocarbon nên đây là amine bậc một.
C và D. 2 amine có nhóm chức dạng –NH– đính với hai gốc hydrocarbon nên đây là hai amine bậc hai.
⇒ Chọn đáp án B Đáp án: B
⭐ Nguyên nhân chính của phú dưỡng là sự tích tụ quá mức các ion nitrate (NO3-) và phosphate (PO43-) từ phân bón hóa học, nước thải sinh hoạt, chất thải công nghiệp,...
Phân tích đáp án:
❌ A. Sodium (Na+), potassium (K+)
Đây là các ion có mặt trong nước tự nhiên nhưng không gây phú dưỡng.
❌ B. Calcium (Ca2+), magnesium (Mg2+)
Đây là các ion góp phần vào độ cứng của nước, không gây phú dưỡng.
✅ C. Nitrate (NO3-), phosphate (PO43-)
Đây là hai ion chính gây ra hiện tượng phú dưỡng do kích thích sự phát triển quá mức của tảo.
❌ D. Chloride (Cl-), sulfate (SO42-)
Đây là các ion phổ biến trong nước nhưng không liên quan đến phú dưỡng.
⇒ Chọn đáp án C Đáp án: C

Cho các phát biểu sau:
(1) Menthol là alcohol đơn chức.
(2) Công thức phân tử của menthol có dạng CnH2n–1OH.
(3) Tên thay thế của menthol là 2-isopropyl-5-methylcyclohexandiol.
(4) Menthol là alcohol thơm.
(5) Oxi hoá menthol bằng CuO, đun nóng, thu được một aldehyde.
Những phát biểu nào đúng trong các phát biểu sau?
✔️(1) – Đúng. Menthol là alcohol có 1 nhóm OH, nên là alcohol đơn chức.
✔️(2) – Đúng. Menthol có 1 vòng nên có độ bất bão hòa bằng 1, công thức tổng quát của menthol là CnH2n-1OH
❌(3) – Sai. Menthol có tên thay thế là 5-methyl-2-isopropyl cylclohexane-1-ol.
❌(4) – Sai. Menthol là alcohol no, đơn chức
❌(5) – Sai. Menthol là alcohol bậc II nên khi bị oxi hóa bằng CuO tạo ra ketone.
⟹Chọn đáp án A Đáp án: A
(a) Phản ứng cháy của xăng trong điều kiện dư oxygen sẽ tiêu tốn ít nhiên liệu nhất.
(b) Trong điều kiện rất thiếu oxygen thì lượng khí độc CO sinh ra là nhiều nhất.
(c) Khi đốt cháy hoàn toàn, một phân tử C8H18 sẽ nhường được 50 electron.
(d) Khi phản ứng với oxygen chỉ tạo ra nước và carbon thì số oxi hóa của C không đổi.
Các phát biểu đúng là
✔️(a) – Đúng. Trong điều kiện cháy dư oxygen sẽ tiết kiệm năng lượng nhất và không gây ô nhiễm môi trường.
❌(b) – Sai. Trong điều kiện rất thiếu oxygen thì sinh ra C. Trong điều kiện không dư oxygen: CxHy + O2 → C + H2O
✔️(c) – Đúng. Trong điều kiện cháy dư oxygen sẽ tiết kiệm năng lượng nhất và không gây ô nhiễm môi trường. Trong điều kiện này, một phân tử C8H18 nhường 50 electron.
❌(d) – Sai. Khi phản ứng với oxygen chỉ tạo ra nước và carbon thì số oxi hóa của C thay đổi, C ở trạng thái đơn chất có số oxi hóa là 0 và trong hợp chất C sẽ có số oxi hóa trung bình -9/4.
⟹ Chọn đáp án A Đáp án: A
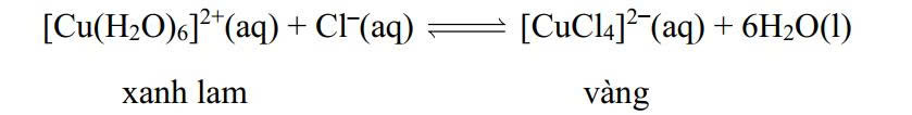
Sử dụng đoạn thông tin dưới đây để trả lời câu 17 và câu 18:

Dung dịch nước thu được được tạo thành chứa các ion phức hợp [CuCl4]2− và [Cu(H2O)6]2+.
⟹ Chọn đáp án B Đáp án: B
[Cu(H2O)5Cl]+(aq) + Cl–(aq) ⇄ Cu(H2O)4Cl2(aq) + H2O(l)
Người ta thấy rằng đối với phản ứng này, với nồng độ đầu của phức chất [(Cu(H2O)5Cl]+ là 0,15 M và HCl là 0,15 M thì tại thời điểm cân bằng, nồng độ của phức Cu(H2O)4Cl2(aq) là 0,10 M. Hằng số cân bằng KC của phản ứng trên là
Hằng số cân bằng KC của phản ứng trên là:

⟹Chọn đáp án C Đáp án: C
PHẦN II. Thí sinh trả lời từ câu 1 đến câu 4. Trong mỗi ý a), b), c), d) ở mỗi câu, thí sinh chọn đúng hoặc sai.
Phức chất với tên gọi thương phẩm là cisplatin được dùng làm thuốc chữa bệnh ung thư bằng cách thay đổi các đặc tính của DNA khi phản ứng với guanine, một thành phần của DNA.
Khi cisplatin được hấp thụ vào cơ thể con người, một phối tử chloride được thay thế bằng một phân tử nước tạo thành ion phức hợp R.
. Đây là một phức chất vuông phẳng (square planar complex).⭐Phân tích các phát biểu:
✔️ Nhận định a) – Đúng, vì: Cisplatin là phức chất trung hòa (
).o Phối tử
là phân tử trung hòa, có số oxi hóa bằng 0.o Phối tử
có số oxi hóa bằng
.o Gọi
là số oxi hóa của Pt. Ta có:
.✔️ Nhận định b) – Đúng, vì: Liên kết trong phức chất là liên kết tạo thành do nguyên tử trung tâm (Pt) nhận cặp electron không liên kết từ phối tử (
và
). Liên kết này được gọi là liên kết phối trí hay liên kết cho - nhận.❌ Nhận định c) – Sai, vì:
o Phức chất ban đầu:
(trung hòa).o Phản ứng thay thế:

o Ion phức hợp R tạo thành là
.o Phân tích điện tích:
.✔️ Nhận định d) – Đúng, vì:
o Cisplatin là phức chất vuông phẳng, có số phối trí là 4.
o Phức chất vuông phẳng thường có kiểu lai hóa là
.o Lai hóa
sử dụng 1 orbital
, 1 orbital
, và 2 orbital
tổng cộng 4 orbital trống được sử dụng.o 4 orbital trống này được sử dụng để nhận 4 cặp electron không liên kết từ 2 phối tử
và 2 phối tử
.
Aspirin được sử dụng làm thuốc giảm đau, hạ sốt. Sau khi uống, aspirin bị thuỷ phân trong cơ thể tạo thành salicylic acid, chất này làm ức chế quá trình tạo ra chất gây đau, sốt. Trong phòng thí nghiệm, một nhóm học sinh tiến hành nghiên cứu quá trình trình thuỷ phân asprine theo phản ứng: 
Kết quả xác định nồng độ aspirin theo thời gian được thể hiện ở bảng dưới đây:
trong Aspirin) trong môi trường acid thường là phản ứng thuận nghịch✔️ Nhận định b) – Đúng, vì:
o Nồng độ Aspirin ban đầu:
.o Lượng Aspirin đã phản ứng:
.o Hiệu suất của phản ứng thuỷ phân là:

✔️ Nhận định c) – Đúng, vì: Tốc độ phản ứng tỷ lệ thuận với nồng độ chất phản ứng. Khi phản ứng diễn ra, nồng độ Aspirin giảm dần (từ
xuống
), do đó tốc độ phản ứng sẽ giảm dần theo thời gian nên ở giai đoạn đầu tốc độ phản ứng nhanh hơn giai đoạn cuối.❌ Nhận định d) – Sai, vì:
o Aspirin là ester → phân cực kém hơn.
o Salicylic acid có –COOH và –OH, tạo liên kết hydrogen tốt với nước → tan tốt hơn.
=> Salicylic acid có độ tan trong nước tốt hơn.


Cho nhiệt tạo thành chuẩn (kJ/mol) của (C17H35COO)3C3H5(s), CO2(g) và H2O(1) lần lượt là –2344,0; –393,5 và –285,8.
.✔️ Nhận định b) – Đúng, vì:
.❌ Nhận định c) – Sai, vì:
Khối lượng mol:
• Tripalmitin: M = 806 g/mol
• Tristearin: M = 890 g/mol
Nhiệt tỏa ra trên 1 gam:
• Tripalmitin: 31604/806 ≈ 39,21 kJ/g
• Tristearin: 35804,5/890 ≈ 40,23 kJ/g
→ Tristearin tỏa nhiều nhiệt hơn.
❌ Nhận định d) – Sai, vì: Năng lượng cung cấp bởi :
Cho các giá trị thế điện cực chuẩn trong một loại pin cúc áo được sử dụng rộng rãi trong đồng hồ và các thiết bị như sau:
Một viên pin có chứa 0,4875 gam zinc và có khả năng chạy được cho đến khi 80% lượng zinc được tiêu thụ ở cường độ dòng điện 0,03 mA.
. Bán phản ứng đề bài cho là phản ứng khử.✔️ Nhận đinh b) – Đúng, vì:

=> Phản ứng trong pin là:

✔️ Nhận định c) – Đúng, vì: Khi pin dừng hoạt động (tiêu thụ
),
phản ứng
. Theo phản ứng tổng,
pứ
pứ
.
.❌ Nhận định d) – Sai, vì:
o Lượng điện tích đi qua:
(Từ bán phản ứng
)
o Thời gian hoạt động:

o Đổi sang ngày:
ngày
PHẦN III. Thí sinh trả lời từ câu 1 đến 6. Thí sinh điền kết quả mỗi câu vào mỗi ô trả lời tương ứng theo hướng dẫn của phiếu trả lời.
M = 12.17 + 1.35 + 12 + 16.2 + 39 = 322 (gam/mol)
⇒ Điền đáp án: 322

Từ cấu tạo trên, hãy cho biết phân tử lauric acid có bao nhiêu nguyên tử carbon?

Lauric acid có công thức cấu tạo là CH3[CH2]10COOH.
⟶ Công thức phân tử của Lauric acid là C12H24O2
Phân tử có 12 nguyên tử carbon.
⇒ Điền đáp án: 12

Công thức phân tử của Q là Y1Ba2Cu3O7
⟶ Tổng số nguyên tử là 1 + 2 + 3 + 7 = 13
⇒ Điền đáp án: 13
+) Ion Al3+: Mang điện tích +3.
+) Mỗi nhóm −OH: Mang điện tích −1.
⟶ Tổng điện tích của phức chất không tan là: +3 + (−1 ) × n = 0
⟶ n = 3
⇒ Phản ứng hoàn chỉnh:
[Al(OH2)6]3+(aq) + 3H2O(l) ⟶ [Al(OH)3(OH2)3](s) + 3H3O+(aq)
Phức chất không tan là [Al(OH)3(OH2)3]
⇒ Điền đáp án: 3
CaCO3(s)
CaO(s) + CO2(g) (1)CH4(g) + O2(g)
CO2(g) + H2O(l) (2)Nhiệt lượng từ phản ứng số (2) cung cấp cho quá trình nung CaCO3 sản xuất vôi sống. Tính thể tích CH4 (m3) ở đkc được sủa dụng để sản xuất 5,6 tấn vôi sống. Giả thiết hiệu suất chuyển hóa nhiệt năng có ích là 80% và hiệu suất của quá trình sản xuất vôi sống là 85% (làm tròn đến số nguyên). Bảng sau cung cấp enthalpy tạo thành chuẩn của một số chất:
Số mol của vôi sống tạo thành là

CaCO3(s)
CaO(s) + CO2(g) (1) 
→ Để thu được 1 mol CaO(s), cần phải cung cấp nhiệt lượng là 178,5 kJ để chuyển 1 mol CaCO3(s) thành CaO (s).
CH4(g) + O2(g)
CO2(g) + H2O(l) (2) 
→ Ở điều kiện chuẩn, khi đốt cháy hoàn toàn 1 mol CH4, sản phẩm là CO2(g) và H2O(l) thì sẽ giải phóng một nhiệt lượng là 890,3 kJ.
Gọi số mol CH4 cần dùng ở phản ứng (2) để cung cấp năng lượng cho phản ứng (1) là a, ta có:

⇒ Điền đáp án: 731
CH4(g) + 2H2O(g)
CO2(g) + 4H2(g) (1)Phản ứng tổng hợp ammonia:
N2(g) +3H2(g) ⇌ 2NH3(g) (2)
Để sản xuất một tấn khí ammonia cần lấy 842 m3 không khí (chứa 21,03% O2; 78,02% N2; còn lại là khí hiếm). Giả thiết phản ứng (1) xảy ra hoàn toàn và các thể tích khí xét ở cùng điều kiện. Hỏi cần phải lấy bao nhiêu m3 hơi nước để có đủ lượng hydrogen và nitrogen theo tỉ lệ 3 : 1 về thể tích dùng cho phản ứng tổng hợp ammonia (làm tròn kết quả đến hàng đơn vị)?

Các khí được xét ở cùng điều kiện, thể tích khí tỉ lệ thuận với số mol
Thể tích khí N2 là VN2 = 842 × 78,02% = 656,8284 m3
Thể tích khí H2 cần thiết VH2 = 656,8284 × 3 = 1970,7852 m3
Từ PTHH thể tích hơi nước cần thiết là VH2O = 1970,7852 ÷ 2 ≈ 985 m3
⟹ Điền đáp án : 985