PHẦN I. Thí sinh trả lời từ câu 1 đến câu 18. Mỗi câu hỏi thí sinh chỉ chọn một phương án.
Câu 1 [705163]: Đột biến gene là
A, là những cá thể mang đột biến đã biểu hiện trên kiểu hình của cơ thể.
B, là những biến đổi trong cấu trúc của gene, liên quan tới một hoặc một số cặp nucleotide, xảy ra tại một điểm nào đó của phân tử DNA.
C, là những biến đổi trong vật liệu di truyền, xảy ra ở cấp độ phân tử (DNA) hoặc cấp độ tế bào (NST).
D, là sự tổ hợp lại vật chất di truyền vốn có ở bố mẹ trong quá trình thụ tinh.
A. Sai. Đây là định nghĩa của thể đột biến, không phải của đột biến gene. ❌
B. Đúng. Đột biến gene là sự biến đổi trong cấu trúc gene liên quan đến một hoặc một số cặp nucleotide. ✅
C. Sai. Đây là định nghĩa về đột biến nói chung (bao gồm cả đột biến gene và đột biến NST). ❌
D. Sai. Đây là biến dị tổ hợp, không phải đột biến gene. ❌
➡ Chọn đáp án B.
Đáp án: B
Câu 2 [704219]: Hiện tượng các nhiễm sắc thể kép co xoắn cực đại ở kì giữa nhằm chuẩn bị cho hoạt động nào sau đây?
A, Phân li nhiễm sắc thể.
B, Nhân đôi nhiễm sắc thể.
C, Tiếp hợp nhiễm sắc thể.
D, Trao đổi chéo nhiễm sắc thể.
A. Đúng. Việc NST kép co xoắn cực đại ở kì giữa giúp chúng di chuyển và phân li dễ dàng về hai cực của tế bào ở kì sau. ✅
B. Sai. NST nhân đôi xảy ra ở pha S của kì trung gian, trước khi bước vào phân bào. ❌
C. Sai. Tiếp hợp NST xảy ra trong giảm phân I, không phải trong nguyên phân. ❌
D. Sai. Trao đổi chéo xảy ra trong kì đầu giảm phân I, không phải trong nguyên phân. ❌
➡ Chọn đáp án A.
Đáp án: A ➡ Chọn đáp án A.
Câu 3 [703512]: Ở thực vật thuỷ sinh cơ quan hấp thụ nước và khoáng là:
A, thân.
B, lá.
C, rễ, thân, lá.
D, rễ.
A. Sai. Thực vật thủy sinh còn hấp thụ nước và khoáng qua cả lá và rễ. ❌
B. Sai. Thực vật thủy sinh còn hấp thụ nước và khoáng qua cả thân và rễ. ❌
C. Đúng. Thực vật thủy sinh sống trong môi trường nước nên có khả năng hấp thụ nước và khoáng trực tiếp qua toàn bộ bề mặt cơ thể (rễ, thân, lá). ✅
D. Sai. Thực vật thủy sinh còn hấp thụ nước và khoáng qua cả thân và lá. ❌
➡ Chọn đáp án C.
Đáp án: C ➡ Chọn đáp án C.
Câu 4 [705514]: Khi nói về quá trình quang hợp, phát biểu nào sau đây đúng?
A, Quang hợp là một quá trình phân giải chất chất hữu cơ thành chất vô cơ dưới tác dụng của ánh sáng.
B, Quá trình quang hợp xảy ra ở tất cả các tế bào của cây xanh.
C, Quá trình quang hợp ở cây xanh luôn có pha sáng và pha tối.
D, Pha tối của quang hợp không phụ thuộc nhiệt độ môi trường.
A. Sai. Quang hợp là quá trình tổng hợp chất hữu cơ (như đường) từ chất vô cơ (CO2 và nước) dưới tác dụng của ánh sáng. ❌
B. Sai. Quang hợp chỉ xảy ra ở tế bào chứa lục lạp (chủ yếu là tế bào thịt lá, không xảy ra ở tế bào rễ hay các tế bào không có lục lạp). ❌
C. Đúng. Quang hợp ở thực vật luôn gồm hai pha: pha sáng (phụ thuộc ánh sáng) và pha tối (không trực tiếp cần ánh sáng nhưng phụ thuộc vào sản phẩm của pha sáng). ✅
D. Sai. Pha tối chứa nhiều phản ứng enzyme nên phụ thuộc nhiều vào nhiệt độ môi trường. ❌
➡ Chọn đáp án C.
Đáp án: C ➡ Chọn đáp án C.
Câu 5 [1100368]: Cơ quan tương tự là
A, những cơ quan thực hiện các chức năng khác nhau nhưng không được bắt nguồn từ một nguồn gốc.
B, những cơ quan thực hiện các chức năng như nhau nhưng không được bắt nguồn từ một nguồn gốc.
C, những cơ quan thực hiện các chức năng như nhau và được bắt nguồn từ một nguồn gốc.
D, những cơ quan thực hiện các chức năng khác nhau và được bắt nguồn từ những nguồn gốc khác nhau.
A. Sai. Cơ quan tương tự có chức năng giống nhau (không phải khác nhau). ❌
B. Đúng. Cơ quan tương tự là những cơ quan có chức năng giống nhau nhưng có nguồn gốc khác nhau (ví dụ: cánh chim và cánh côn trùng). ✅
C. Sai. Đây không phải là định nghĩa của cơ quan tương tự hay tương đồng. ❌
D. Sai. Đây không phải là định nghĩa của cơ quan tương tự hay tương đồng. ❌
➡ Chọn đáp án B.
Đáp án: B ➡ Chọn đáp án B.
Câu 6 [704323]: Đặc điểm nổi bật của đại Tân sinh là sự phát triển phồn thịnh của:
A, Tảo ở biển, giáp xúc, cá và lưỡng thê.
B, Bò sát, chim và thú.
C, Thực vật hạt kín, sâu bọ, chim và thú.
D, Thực vật hạt trần và động vật có xương bậc cao.
A. Sai. Tảo, giáp xác, cá, lưỡng cư phát triển mạnh ở các đại Cổ sinh, không phải đại Tân sinh. ❌
B. Sai. Bò sát phát triển cực thịnh ở đại Trung sinh; chim và thú có phát triển nhưng không phải là đặc điểm nổi bật của đại Tân sinh. ❌
C. Đúng. Đại Tân sinh đánh dấu sự phồn thịnh của thực vật hạt kín (cây có hoa), sâu bọ, chim và thú, đặc biệt là sự phát triển và phân hóa của lớp Thú. ✅
D. Sai. Thực vật hạt trần phát triển mạnh ở đại Trung sinh, không phải đại Tân sinh. ❌
➡ Chọn đáp án C.
Đáp án: C ➡ Chọn đáp án C.
Câu 7 [1100369]: Năm 1953, S. Miller thực hiện thí nghiệm tạo ra môi trường có thành phần hoá học giống khí quyển nguyên thuỷ và đặt trong điều kiện phóng điện liên tục một tuần, thu được các amino acid cùng các phân tử hữu cơ khác nhau. Kết quả thí nghiệm chứng minh:
A, ngày nay các chất hữu cơ vẫn được hình thành phổ biến bằng con đường tổng hợp hoá học trong tự nhiên.
B, các chất hữu cơ được hình thành trong khí quyển nguyên thủy nhờ nguồn năng lượng sinh học.
C, các chất hữu cơ đầu tiên được hình thành trong khí quyển nguyên thủy của Trái Đất bằng con đường tổng hợp sinh học.
D, các chất hữu cơ được hình thành từ chất vô cơ trong điều kiện khí quyển nguyên thuỷ của Trái Đất.
A. Sai. Thí nghiệm không chứng minh điều này xảy ra phổ biến ngày nay, mà chỉ mô phỏng quá khứ. ❌
B. Sai. Năng lượng trong thí nghiệm là tia lửa điện (vật lý), không phải năng lượng sinh học. ❌
C. Sai. Thí nghiệm chứng minh con đường tổng hợp hóa học, không phải tổng hợp sinh học. ❌
D. Đúng. Thí nghiệm của Miller – Urey chứng minh các chất hữu cơ đơn giản (amino acid) có thể được tổng hợp từ các chất vô cơ trong điều kiện mô phỏng khí quyển nguyên thủy Trái Đất, với năng lượng từ tia lửa điện. ✅
➡ Chọn đáp án D.
Đáp án: D ➡ Chọn đáp án D.
Câu 8 [704578]: Nhân tố nào dưới đây không tạo ra nguồn biến dị di truyền cho quần thể?
A, Quá trình đột biến.
B, Giảm phân và thụ tinh.
C, Trao đổi chéo và di nhập gene.
D, Chọn lọc tự nhiên.
A. Sai. Quá trình đột biến tạo ra các allele mới, cung cấp nguyên liệu sơ cấp cho tiến hóa. ❌
B. Sai. Giảm phân và thụ tinh tạo ra các tổ hợp gene mới thông qua biến dị tổ hợp, làm tăng đa dạng di truyền. ❌
C. Sai. Trao đổi chéo trong giảm phân tạo ra tổ hợp gene mới; di - nhập gene đưa allele mới từ quần thể khác vào, đều là nguồn biến dị di truyền. ❌
D. Đúng. Chọn lọc tự nhiên chỉ đóng vai trò sàng lọc và giữ lại những biến dị có lợi, loại bỏ biến dị có hại, không tạo ra biến dị di truyền mới. ✅
➡ Chọn đáp án A.
Đáp án: D ➡ Chọn đáp án A.
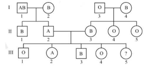
Câu 9 [703296]: Cho sơ đồ phải hệ dưới đây, biết rằng allele a gây bện là lặn so với allele A không gây bệnh và không có đột biến xảy ra ở các cơ thể trong phả hệ
Kiểu gene của những người: I1, II2, II5 và III1 lần lượt là
Kiểu gene của những người: I1, II2, II5 và III1 lần lượt là
A, XAXA, XAXa, XaXa và XAXa.
B, XAXA, XAXa, XaXa và XAXA.
C, Aa, aa, Aa và Aa.
D, Aa, Aa, aa và Aa.
- Vì bố bị bệnh nhưng có cả con trai bị bệnh và con trai không bệnh → Không di truyền thẳng → Gene quy định bị bệnh không nằm trên Y
- Giả sử gene quy định tính trạng bị bệnh nằm trên NST giới tính X
- Ta thấy con gái II.4 bị bệnh nên 1 giao tử phải lấy từ mẹ → Mẹ (I.1) phải có kiểu gene. Nhưng xét các đáp án A, B thấy mẹ I.1 đều có kiểu gene → Không thoả mãn → Loại.
→ Vậy gene quy định tính trạng bị bệnh nằm trên NST thường.
- Bị bệnh có kiểu gene aa → I.2 ; II.2 ; II.4; II.6 đều có kiểu gene aa
- Mà mẹ (I.1) bình thường sinh con có cả bị bệnh và có cả bình thường → Mẹ: Aa.
➡ Chọn đáp án D. Đáp án: C
- Giả sử gene quy định tính trạng bị bệnh nằm trên NST giới tính X
- Ta thấy con gái II.4 bị bệnh nên 1 giao tử phải lấy từ mẹ → Mẹ (I.1) phải có kiểu gene. Nhưng xét các đáp án A, B thấy mẹ I.1 đều có kiểu gene → Không thoả mãn → Loại.
→ Vậy gene quy định tính trạng bị bệnh nằm trên NST thường.
- Bị bệnh có kiểu gene aa → I.2 ; II.2 ; II.4; II.6 đều có kiểu gene aa
- Mà mẹ (I.1) bình thường sinh con có cả bị bệnh và có cả bình thường → Mẹ: Aa.
➡ Chọn đáp án D. Đáp án: C
Câu 10 [703108]: Sự phân ly của hai nhiễm sắc thể kép trong cặp tương đồng về hai cực của tế bào xảy ra ở
A, kì đầu của giảm phân I.
B, kì sau của giảm phân I.
C, kì sau của nguyên phân.
D, kì sau của giảm phân II.
A. Sai. Kì đầu giảm phân I xảy ra sự tiếp hợp và trao đổi chéo giữa các NST kép tương đồng, chưa có sự phân ly về hai cực. ❌
B. Đúng. Ở kì sau của giảm phân I, các NST kép trong cặp tương đồng phân ly độc lập về hai cực của tế bào. ✅
C. Sai. Ở kì sau nguyên phân, các chromatid (NST đơn) của mỗi NST kép tách nhau và di chuyển về hai cực, không phải sự phân ly của các NST kép tương đồng. ❌
D. Sai. Ở kì sau giảm phân II, các chromatid (NST đơn) của NST kép tách nhau và di chuyển về hai cực, giống như nguyên phân. ❌
➡ Chọn đáp án B.
Đáp án: B ➡ Chọn đáp án B.
Câu 11 [1100370]: Khi nói về thành phần cấu trúc của hệ sinh thái, phát biểu nào sau đây đúng?
A, Các loài động vật ăn thực vật được xếp vào nhóm sinh vật tiêu thụ.
B, Tất cả các loài vi sinh vật đều được xếp vào nhóm sinh vật phân giải.
C, Nhóm sinh vật sản xuất chỉ bao gồm các loài thực vật.
D, Nấm thuộc nhóm sinh vật tự dưỡng.
A. Đúng. Động vật ăn thực vật không tự tổng hợp được chất hữu cơ mà phải sử dụng chất hữu cơ từ thực vật, thuộc nhóm sinh vật tiêu thụ bậc 1. ✅
B. Sai. Nhiều loài vi sinh vật không phải là sinh vật phân giải (ví dụ: vi khuẩn lam là sinh vật sản xuất; vi khuẩn ký sinh là sinh vật tiêu thụ). ❌
C. Sai. Sinh vật sản xuất bao gồm cả thực vật, tảo, một số vi khuẩn (quang hợp, hóa tổng hợp). ❌
D. Sai. Nấm là sinh vật dị dưỡng (hoại sinh, ký sinh hoặc cộng sinh), không có khả năng tự tổng hợp chất hữu cơ như thực vật. ❌
➡ Chọn đáp án A.
Đáp án: A ➡ Chọn đáp án A.
Câu 12 [1100371]: Trong một quần xã sinh vật hồ nước, nếu hai loài cá có ổ sinh thái trùng nhau thì giữa chúng thường xảy ra mối quan hệ
A, cộng sinh.
B, cạnh tranh.
C, sinh vật này ăn sinh vật khác.
D, kí sinh.
A. Sai. Cộng sinh là mối quan hệ cùng có lợi, không phải kết quả của việc trùng ổ sinh thái. ❌
B. Đúng. Khi hai loài có ổ sinh thái trùng nhau, chúng sẽ cạnh tranh về nguồn sống (thức ăn, nơi ở...), dẫn đến mối quan hệ cạnh tranh. ✅
C. Sai. Quan hệ ăn thịt – con mồi có thể xảy ra nhưng không phải là kết quả phổ biến nhất của việc trùng ổ sinh thái. ❌
D. Sai. Quan hệ ký sinh – vật chủ cũng không phải là kết quả của việc trùng ổ sinh thái. ❌
➡ Chọn đáp án B.
Đáp án: B ➡ Chọn đáp án B.
Câu 13 [704250]: Phương pháp nào sau đây có thể được ứng dụng để tạo ra sinh vật mang đặc điểm của hai loài?
A, Nuôi cấy hạt phấn.
B, Gây đột biến gene.
C, Nhân bản vô tính.
D, Dung hợp tế bào trần.
A. Sai. Nuôi cấy hạt phấn tạo ra dòng tế bào đơn bội, phục vụ chọn giống và tạo dòng thuần, không tạo sinh vật mang đặc điểm hai loài. ❌
B. Sai. Gây đột biến gene tạo ra các biến đổi trong gene của một loài, không kết hợp đặc điểm của hai loài khác nhau. ❌
C. Sai. Nhân bản vô tính tạo ra cá thể con có bộ gene giống hệt mẹ, không mang đặc điểm của hai loài. ❌
D. Đúng. Dung hợp tế bào trần (lai tế bào soma) kết hợp hai bộ gene khác loài trong một tế bào, có thể tạo ra thể song nhị bội mang đặc điểm của cả hai loài. ✅
➡ Chọn đáp án D.
Đáp án: D ➡ Chọn đáp án D.
Câu 14 [705204]: Một quần thể người đang ở trạng thái cân bằng di truyền có tần số các allele IA, IB, IO lần lượt là 0,2; 0,3; 0,5. Theo lí thuyết, kết luận nào sau đây đúng?
A, Trong quần thể, người máu A chiếm tỉ lệ 39%.
B, Một người đàn ông có máu B kết hôn với một phụ nữ có máu A, đứa con đầu lòng chắc chắn sẽ có máu AB.
C, Một người đàn ông có máu AB kết hôn với một phụ nữ có máu O, khả năng đứa con đầu lòng có máu B hoặc máu A với xác suất như nhau.
D, Một người đàn ông có máu A kết hôn với một phụ nữ có máu O, đứa con đầu lòng chắc chắn sẽ có máu A.
A. Sai. Người máu A gồm IAIA và IAIO có tỉ lệ = 0,04 + 2.0,2.0,5 = 0,24. ❌
B. Sai. Nếu người đàn ông máu A có kiểu gene IAIO, người vợ máu B có kiểu gene IBIO thì con đầu lòng có thể sinh máu A hoặc máu B hoặc máu O. ❌
C. Đúng. Người đàn ông máu AB thì có kiểu gene IAIB nên luôn cho 2 loại giao tử là IA và IB với tỉ lệ ngang nhau. Do đó con của họ có thể máu A hoặc máu B với xác suất như nhau. ✅
D. Sai. Nếu người đàn ông máu A có kiểu gene IAIO thì đứa con đầu lòng có thể máu A hoặc máu B. ❌
➡ Chọn đáp án B. Đáp án: C
B. Sai. Nếu người đàn ông máu A có kiểu gene IAIO, người vợ máu B có kiểu gene IBIO thì con đầu lòng có thể sinh máu A hoặc máu B hoặc máu O. ❌
C. Đúng. Người đàn ông máu AB thì có kiểu gene IAIB nên luôn cho 2 loại giao tử là IA và IB với tỉ lệ ngang nhau. Do đó con của họ có thể máu A hoặc máu B với xác suất như nhau. ✅
D. Sai. Nếu người đàn ông máu A có kiểu gene IAIO thì đứa con đầu lòng có thể máu A hoặc máu B. ❌
➡ Chọn đáp án B. Đáp án: C
Câu 15 [705382]: Thành tựu nào sau đây là của công nghệ gene?
A, Tạo giống dê sản xuất sữa có protein của người.
B, Tạo ra cừu Dolly.
C, Tạo giống dâu tằm tam bội.
D, Tạo giống ngô có ưu thế lai cao.
A. Đúng. Đây là thành tựu của công nghệ gene: chuyển gene mã hóa protein của người vào bộ gene dê để tạo ra protein mong muốn trong sữa. ✅
B. Sai. Tạo ra cừu Dolly là thành tựu của công nghệ nhân bản vô tính. ❌
C. Sai. Tạo giống dâu tằm tam bội là thành tựu của gây đột biến đa bội, không phải thành tựu của công nghệ gene. ❌
D. Sai. Tạo giống ngô ưu thế lai cao là thành tựu của phương pháp lai hữu tính. ❌
➡ Chọn đáp án A.
Đáp án: A ➡ Chọn đáp án A.
Câu 16 [704771]: Đột biến cấu trúc nhiễm sắc thể gồm có các dạng cơ bản là
A, thay đoạn, lặp đoạn, đảo đoạn và chuyển đoạn.
B, chuyển đoạn, lặp đoạn, thêm đoạn và mất một cặp nucleotide.
C, lặp đoạn, mất đoạn, đảo đoạn và chuyển đoạn.
D, thêm đoạn, lặp đoạn, đảo đoạn và chuyển đoạn.
A. Sai. Thay đoạn không phải là một dạng đột biến cấu trúc NST. ❌
B. Sai. Thêm đoạn và mất một cặp nucleotide không phải là một dạng đột biến cấu trúc NST. ❌
C. Đúng. Các dạng đột biến cấu trúc NST là: mất đoạn, lặp đoạn, đảo đoạn và chuyển đoạn. ✅
D. Sai. Thêm đoạn không phải là một dạng đột biến cấu trúc NST. ❌
➡ Chọn đáp án C.
Đáp án: C ➡ Chọn đáp án C.
Câu 17 [703143]: Dùng thông tin sau để trả lời câu 17 và câu 18: Nhịp sinh học là chu kỳ về sinh lý học hay hoạt động của các cơ thể sống theo chu trình thời gian. Các hoạt động nở và tàn của các loài hoa, sự di cư của các loài chim hay hoạt động yêu đương của các loài vật theo những mùa nhất định đều là biểu hiện của nhịp sinh học.
Nhịp sinh học là
Nhịp sinh học là
A, sự thay đổi chu kì sinh trưởng và phát triển của sinh vật qua các giai đoạn khác nhau.
B, phản ứng nhịp nhàng của sinh vật phù hợp với sự thay đổi có tính chu kì của môi trường.
C, sự tác động của môi trường lên sự thay đổi hình thái và hoạt động sinh lí của sinh vật.
D, sự thích nghi cảu sinh vật phù hợp với sự thay đổi liên tục của các nhân tố vô sinh.
A. Sai. Đáp án này mô tả quá trình sinh trưởng và phát triển theo giai đoạn, không phải là nhịp sinh học. ❌
B. Đúng. Nhịp sinh học là phản ứng nhịp nhàng của sinh vật phù hợp với sự thay đổi có tính chu kì của môi trường như ngày đêm hay mùa trong năm. ✅
C. Sai. Đây là mô tả chung về tác động của môi trường lên sinh vật, không đặc trưng cho hiện tượng nhịp sinh học. ❌
D. Sai. Nhịp sinh học không phải là sự thích nghi với các nhân tố vô sinh biến đổi liên tục mà là sự đáp ứng với các biến đổi có tính chu kì. ❌
➡ Chọn đáp án B.
Đáp án: B
Câu 18 [703144]: Trường hợp nào sau đây thể hiện nhịp sinh học :
A, Chim di cư về phương Nam tránh rét vào mùa đông hằng năm.
B, Chim xù lông khi trời rét.
C, Khi nhìn thấy thức ăn thì chó tiết nước bọt.
D, Cây trinh nữ cụp lá khi có va chạm.
A. Đúng. Chim di cư theo mùa (tránh rét vào mùa đông hàng năm) là một chu kỳ hoạt động lặp lại phù hợp với sự thay đổi có tính chu kỳ của môi trường (nhịp sinh học theo mùa). ✅
B. Sai. Chim xù lông khi trời rét là phản ứng tức thời với kích thích nhiệt độ, không phải hoạt động theo chu kỳ thời gian cố định. ❌
C. Sai. Chó tiết nước bọt khi nhìn thấy thức ăn là phản xạ có điều kiện, không phải nhịp sinh học. ❌
D. Sai. Cây trinh nữ cụp lá khi có va chạm là ứng động không sinh trưởng (ứng động sức trương), không phải nhịp sinh học. ❌
➡ Chọn đáp án A.
Đáp án: A ➡ Chọn đáp án A.
PHẦN II. Thí sinh trả lời từ câu 1 đến câu 4. Trong mỗi ý a), b), c), d) ở mỗi câu, thí sinh chọn đúng hoặc sai.
Câu 19 [1100372]: Bt là tên viết tắt của Bacillus thuringiensis, là loài vi khuẩn đất điển hình được phân lập ở vùng Thuringia, Đức. Bt có khả năng tổng hợp protein gây tê liệt ấu trùng của một số loài côn trùng gây hại, trong đó có sâu đục quả bông, các loài sâu đục thân ngô Châu Á và Châu Âu. Kết quả là côn trùng chết sau một vài ngày. Các nhà khoa học đã tiến hành chuyển gene Bt mã hóa cho protein tinh thể độc tố từ vi khuẩn Bt vào thực vật. Cây trồng được chuyển gene Bt này sẽ có khả năng tự kháng lại sâu hại.

Từ thông tin trên và hình mô tả quá trình tạo sinh vật biến đổi gene ở cây ngô, có các nhận định sau:

Từ thông tin trên và hình mô tả quá trình tạo sinh vật biến đổi gene ở cây ngô, có các nhận định sau:
a. Đúng. Giống ngô Bt mã hóa protein kháng sâu hại có nguồn gốc từ vi khuẩn Bt nên Bt là sinh vật biến đổi gene được tạo ra dựa trên nguyên lí tạo sinh vật biến đổi gene. ✅
b. Đúng. Gene Bt gắn vào plasmid nhờ enzyme restrictase thành DNA tái tổ hợp, sau đó chuyển vào tế bào thực vật. ✅
c. Sai. Bt không phải là sinh vật biến đổi gene. Cây ngô Bt là sinh vật biến đổi gene vì hệ gene của cây ngô thay đổi (nhận thêm gene từ vi khuẩn Bt). ❌
d. Đúng. Tế bào thực vật nhận plasmid mang gene Bt sẽ mã hóa protein gây tê liệt ấu trùng gây chết sâu hại. ✅
Câu 20 [1100373]: Nhóm máu ABO ở người là một ví dụ cho thấy có tới 3 allele của cùng một gene quy định. Gene quy định nhóm máu (ký hiệu I) có ba allele là IA, IB, và IO. Các allele IA và IB quy định tổng hợp loại protein A (làm nên nhóm máu A), carbohydrate B (làm nên nhóm máu B). Tổ hợp của cả hai loại protein trên tạo nên allele IAIB (tương ứng nhóm máu AB). Tế bào hồng cầu của người có nhóm máu O không có loại protein nào. Việc nhận biết nhóm máu phù hợp giữa người cho và người nhận là hết sức quan trọng trong việc truyền máu. Một gia đình có sơ đồ di truyền nhóm máu được thể hiện trong sơ đồ phả hệ ở hình bên dưới.
a. Đúng. Di truyền nhóm máu ABO do một gene có 3 allele quy định (IA, IB, và IO) là ví dụ điển hình về di truyền gene đa allele. ✅
b. Đúng. Với 3 allele, số kiểu gene có thể tạo ra là 6 (IAIA, IAIO, IBIB, IBIO, IAIB, IOIO) và 4 kiểu hình (nhóm máu A, B, AB, O). ✅
c. Đúng. Cặp vợ chồng II.2 (máu A) và II.3 (máu B) sinh con III.3 máu O → Kiểu gene của II.2 là IAIO. Nếu người II.2 kết hôn với người có nhóm máu AB thì có thể sinh con có nhóm máu A là 50%, nhóm máu B là 25% và nhóm máu AB là 25%. ✅
d. Sai. Người III.3 có kiểu gene IBIO (vì bố IAIO, mẹ IBIO) kết hôn với người máu O (IOIO) → Xác suất sinh con máu O là 50% (IOIO), không phải 25%. ❌
Câu 21 [1100374]: Khi nói về loài sinh sản hữu tính, có các nhận định sau:
a. Đúng. Số lượng gene trên mỗi phần tử DNA càng lớn thì khả năng xảy ra đột biến gene (nguyên liệu sơ cấp cho tiến hóa) càng cao, cung cấp nguồn biến dị di truyền phong phú hơn cho chọn lọc tự nhiên. ✅
b. Đúng. Số lượng NST đơn bội (n) càng lớn → số tổ hợp gene trong giảm phân (do phân ly độc lập và trao đổi chéo) càng lớn → tạo nguồn nguyên liệu thứ cấp (biến dị tổ hợp) càng phong phú cho chọn lọc tự nhiên. ✅
c. Đúng. Trong sinh sản hữu tính, con nhận một nửa bộ gene từ bố và một nửa từ mẹ thông qua giao tử, đồng thời có sự tổ hợp lại vật chất di truyền, nên kiểu gene của con không giống bố hoặc mẹ. ✅
d. Sai. Sự kết hợp của nguyên phân (duy trì bộ NST trong tế bào soma), giảm phân (tạo giao tử đơn bội) và thụ tinh (phục hồi bộ NST lưỡng bội) giúp duy trì ổn định bộ NST qua các thế hệ của loài. ❌
Câu 22 [1100375]: Ở lá cây ca cao (Theobroma cacao) có loài sinh vật đơn bào Phytophthora và 1 loài nấm E cùng sinh sống. Một thí nghiệm nghiên cứu về sự tác động của loài nấm E và Phytophthora đến sự sinh trưởng của cây ca cao. Kết quả thu được được hiển thị ở hình bên.

a. Đúng. Biểu đồ cho thấy khi có nấm E và Phytophthora (E+P+), tỉ lệ lá chết thấp hơn nhiều so với khi chỉ có Phytophthora (E-P+) → Nấm E làm giảm tác động có hại của Phytophthora. ✅
b. Đúng. Khi chỉ có Phytophthora (E-P+), tỉ lệ lá chết cao, chứng tỏ Phytophthora có thể là vật ký sinh gây hại trên cây ca cao. ✅
c. Đúng. So sánh cột E-P+ (có Phytophthora, không có nấm E) với E+P+ (có cả hai): việc loại bỏ nấm E làm tỉ lệ lá chết tăng cao hơn → cây bị ảnh hưởng tiêu cực hơn bởi Phytophthora. ✅
d. Đúng. Khi không có Phytophthora, dù có (E+P-) hay không có nấm E (E-P-), tỉ lệ lá chết đều bằng 0 → Nấm E không gây ảnh hưởng trực tiếp (có hại hay có lợi) đến tỉ lệ lá chết khi không có Phytophthora. ✅
PHẦN III. Thí sinh trả lời từ câu 1 đến 6. Thí sinh điền kết quả mỗi câu vào mỗi ô trả lời tương ứng theo hướng dẫn của phiếu trả lời.
Câu 23 [704622]: Khi nói về sự phát sinh của sự sống theo quan niệm hiện đại có các sự kiện sau:
1. Các hợp chất hữu cơ rơi xuống đại dương và biến đổi tạo nên các đại phân tử như RNA, DNA, ototein,…
2. Dưới tác động của chọn lọc tự nhiên DNA được chọn lọc là vật chất di truyền thay vì RNA.
3. Với điều kiện tia bức xạ và sự phóng điện, khí quyển nguyên thủy không có oxygen, các phân tử của hợp chất đơn giản (H2O, CO2, N2, NH3, CH4,…) biến đổi hóa học tạo thành các chất hữu cơ phức tạp hơn.
4. Các đại phân tử tương tác với nhau và tiến hóa hình thành nên tế bào nguyên thủy đầu tiên.
Hãy viết liền các số tương ứng với bốn sự kiện theo trình tự của quá trình phát sinh của sự sống theo quan niệm hiện đại.
1. Các hợp chất hữu cơ rơi xuống đại dương và biến đổi tạo nên các đại phân tử như RNA, DNA, ototein,…
2. Dưới tác động của chọn lọc tự nhiên DNA được chọn lọc là vật chất di truyền thay vì RNA.
3. Với điều kiện tia bức xạ và sự phóng điện, khí quyển nguyên thủy không có oxygen, các phân tử của hợp chất đơn giản (H2O, CO2, N2, NH3, CH4,…) biến đổi hóa học tạo thành các chất hữu cơ phức tạp hơn.
4. Các đại phân tử tương tác với nhau và tiến hóa hình thành nên tế bào nguyên thủy đầu tiên.
Hãy viết liền các số tương ứng với bốn sự kiện theo trình tự của quá trình phát sinh của sự sống theo quan niệm hiện đại.
Sự kiện 3: Với điều kiện tia bức xạ và sự phóng điện, khí quyển nguyên thủy không có oxygen, các phân tử hợp chất đơn giản như H2O, CO2, N2, NH3, CH4 biến đổi hóa học tạo thành các chất hữu cơ phức tạp hơn.
Sự kiện 1: Các hợp chất hữu cơ rơi xuống đại dương và biến đổi tạo nên các đại phân tử như RNA, DNA, protein,...
Sự kiện 4: Các đại phân tử tương tác với nhau và tiến hóa hình thành nên tế bào nguyên thủy đầu tiên.
Sự kiện 2: Dưới tác động của chọn lọc tự nhiên, DNA được chọn lọc là vật chất di truyền thay vì RNA.
➡ Điền đáp án: 3124.
Sự kiện 1: Các hợp chất hữu cơ rơi xuống đại dương và biến đổi tạo nên các đại phân tử như RNA, DNA, protein,...
Sự kiện 4: Các đại phân tử tương tác với nhau và tiến hóa hình thành nên tế bào nguyên thủy đầu tiên.
Sự kiện 2: Dưới tác động của chọn lọc tự nhiên, DNA được chọn lọc là vật chất di truyền thay vì RNA.
➡ Điền đáp án: 3124.
Câu 24 [704538]: Một loài thực vật, bộ nhiễm sắc thể 2n = 6, mỗi cặp nhiễm sắc thể xét 1 cặp gene có 2 allele. Biết mỗi gene quy định một tính trạng, allele trội là trội hoàn toàn; trong loài có các đột biến thể ba. Theo lí thuyết, cơ thể mang đột biến lệch bội thể một của loài này giảm phân bình thường sẽ tạo ra giao tử mang bộ nhiễm sắc thể n chiếm tỷ lệ bao nhiêu? (tính làm tròn đến 2 chữ số sau dấu phẩy).
Một cá thể mang đột biến thể một tiến hành giảm phân bình thường tạo giao tử n và (n – 1).
→ Tạo ra 0,5 giao tử n và 0,5 giao tử (n – 1).
➡ Điền đáp án: 0,50.
→ Tạo ra 0,5 giao tử n và 0,5 giao tử (n – 1).
➡ Điền đáp án: 0,50.
Câu 25 [703354]: Ở mèo gene quy định màu lông nằm trên NST X. Gene D lông đen ,gene d lông hung, Dd lông tam thể. Quần thể cân bằng có mèo đực lông hung chiếm 20% tổng số mèo đực. Theo lý thuyết, nếu quần thể có 2000 con thì có số mèo tam thể khoảng bao nhiêu con? (tính làm tròn đến số nguyên).
Quần thể cân bằng di truyền đực lông hung XdY = 0,2 → Xd = 0,2 → XD = 0,8 → XDY = 0,8
Cấu trúc quần thể ở ♀ XDXD = (0,8)2 = 0,64 ; XDXd = 0,8 × 0,2 × 2 = 0,32 ; XdXd = (0,2)2 = 0,04
Cấu trúc di truyền quần thể là: Giới đực: 0,8XDY : 0,2XdY; Giới cái: 0,64XDXD : 0,32XDXd : 0,04Xd Xd
Quần thể có 2000 con thì có số mèo tam thể khoảng 320 con. Mèo tam thể chỉ có ở con cái
=> Tỉ lệ mèo tam thể là: 200 x
x 0,32 = 320 con.
➡ Điền đáp án: 320.
Cấu trúc quần thể ở ♀ XDXD = (0,8)2 = 0,64 ; XDXd = 0,8 × 0,2 × 2 = 0,32 ; XdXd = (0,2)2 = 0,04
Cấu trúc di truyền quần thể là: Giới đực: 0,8XDY : 0,2XdY; Giới cái: 0,64XDXD : 0,32XDXd : 0,04Xd Xd
Quần thể có 2000 con thì có số mèo tam thể khoảng 320 con. Mèo tam thể chỉ có ở con cái
=> Tỉ lệ mèo tam thể là: 200 x
x 0,32 = 320 con.➡ Điền đáp án: 320.
Câu 26 [705357]: Khi nói về chuỗi và lưới thức ăn có các phát biểu sau:
I. Quần xã có độ đa dạng càng cao thì lưới thức ăn càng phức tạp.
II. Khi một mắt xích trong lưới thức ăn bị biến động về số lượng cá thể, thông thường thì quần xã có khả năng tự điều chỉnh về trạng thái cân bằng.
III. Trong lưới thức ăn một loài sinh vật có thể tham gia nhiều chuỗi thức ăn.
IV. Trong chuỗi thức ăn bắt đầu bằng sinh vật phân giải thì thực vật có sinh khối lớn nhất.
Trong các phát biểu trên, có bao nhiêu phát biểu có nội dung đúng?
I. Quần xã có độ đa dạng càng cao thì lưới thức ăn càng phức tạp.
II. Khi một mắt xích trong lưới thức ăn bị biến động về số lượng cá thể, thông thường thì quần xã có khả năng tự điều chỉnh về trạng thái cân bằng.
III. Trong lưới thức ăn một loài sinh vật có thể tham gia nhiều chuỗi thức ăn.
IV. Trong chuỗi thức ăn bắt đầu bằng sinh vật phân giải thì thực vật có sinh khối lớn nhất.
Trong các phát biểu trên, có bao nhiêu phát biểu có nội dung đúng?
Lưới thức ăn trong quần xã:
(1) Quần xã có độ đa dạng càng cao thì lưới thức ăn càng phức tạp → đúng do quần xã càng đa dạng về thành phần loài thì các loài có mỗi quan hệ về dinh dưỡng với nhau càng phức tạp hay lưới thức ăn càng phức tạp
(2) Khi một mắt xích trong lưới thức ăn bị biến động về số lượng cá thể, thông thường thì quần xã có khả năng tự điều chỉnh về trạng thái cân bằng → đúng vì hệ sinh thái là một hệ thống mở và tự hoàn thiện.
(3) Trong lưới thức ăn một loài sinh vật có thể tham gia nhiều chuỗi thức ăn → đúng, do trong lưới thức ăn , 1 sinh vật có thể là mắt xích chung trong nhiều chuỗi thức ăn
(4) Trong chuỗi thức ăn bắt đầu bằng sinh vật phân giải thì thực vật có sinh khối lớn nhất → sai, trong chuỗi thức ăn được bắt đầu bằng sinh vật phân giải: Mùn bã sinh vật → Động vật ăn mùn bã sinh vật → Động vật ăn thịt các cấp. nên trong chuỗi thức ăn này sinh vật có sinh khối lớn nhất phải là động vật ăn mùn bã sinh vật.
Vậy số đáp án đúng: 1, 2, 3.
➡ Điền đáp án: 3.
(1) Quần xã có độ đa dạng càng cao thì lưới thức ăn càng phức tạp → đúng do quần xã càng đa dạng về thành phần loài thì các loài có mỗi quan hệ về dinh dưỡng với nhau càng phức tạp hay lưới thức ăn càng phức tạp
(2) Khi một mắt xích trong lưới thức ăn bị biến động về số lượng cá thể, thông thường thì quần xã có khả năng tự điều chỉnh về trạng thái cân bằng → đúng vì hệ sinh thái là một hệ thống mở và tự hoàn thiện.
(3) Trong lưới thức ăn một loài sinh vật có thể tham gia nhiều chuỗi thức ăn → đúng, do trong lưới thức ăn , 1 sinh vật có thể là mắt xích chung trong nhiều chuỗi thức ăn
(4) Trong chuỗi thức ăn bắt đầu bằng sinh vật phân giải thì thực vật có sinh khối lớn nhất → sai, trong chuỗi thức ăn được bắt đầu bằng sinh vật phân giải: Mùn bã sinh vật → Động vật ăn mùn bã sinh vật → Động vật ăn thịt các cấp. nên trong chuỗi thức ăn này sinh vật có sinh khối lớn nhất phải là động vật ăn mùn bã sinh vật.
Vậy số đáp án đúng: 1, 2, 3.
➡ Điền đáp án: 3.
Câu 27 [704843]: Với phép lai giữa các kiểu gene AabbDd và AaBbDd xác suất thu được kiểu hình A-B-D- là bao nhiêu? (tính làm tròn đến 2 chữ số sau dấu phẩy).
P: AabbDd và AaBbDd
A-B-D- = ¾ A_ x ½ Bb x ¾ D_ = 9/32 = 0,28.
➡ Điền đáp án: 0,28.
A-B-D- = ¾ A_ x ½ Bb x ¾ D_ = 9/32 = 0,28.
➡ Điền đáp án: 0,28.
Câu 28 [705273]: Các nhà khoa học tiến hành nghiên cứu kích thức quần thể của loài B sống trong một khu sinh học. Biết rằng tại khu sinh học, điều kiện môi trường duy trì ổn định trong quá trình nghiên cứu. Quần thể B năm đầu có kích thước 3500 cá thể, có tỉ lệ sinh sản là 12%, tỉ lệ tử vong là 9%; tỉ lệ nhập cư 3%; tỉ lệ xuất cư là 2%. Sau 2 năm kích thước quần thể B là bao nhiêu? (Tính làm tròn đến số nguyên).
Kích thước quần thể sau 1 năm là: 3500 + 3500 x (12% - 9% + 3% - 2%) = 3640 cá thể.
Kích thước quần thể sau 2 năm là: 3640 + 3640 x (12% - 9% + 3% - 2%) = 3786 cá thể.
➡ Điền đáp án: 3786.
Kích thước quần thể sau 2 năm là: 3640 + 3640 x (12% - 9% + 3% - 2%) = 3786 cá thể.
➡ Điền đáp án: 3786.