PHẦN I. Thí sinh trả lời từ câu 1 đến câu 18. Mỗi câu hỏi thí sinh chỉ chọn một phương án.
Câu 1 [705302]: Trình tự các vùng của gene tính từ đầu 3’ mạch mã gốc là
A, vùng điều hòa, mang tín hiệu khởi động phiên mã.
B, vùng kết thúc, mang tín hiệu kết thúc phiên mã.
C, vùng điều hòa, mang tín hiệu khởi động dịch mã.
D, vùng kết thúc, mang tín hiệu kết thúc dịch mã.
A. Đúng. Trình tự từ đầu 3' của mạch mã gốc: đầu tiên là vùng điều hòa (promoter) chứa tín hiệu khởi động phiên mã. ✅
B. Sai. Vùng kết thúc nằm ở đầu 5' của mạch mã gốc (hoặc đầu 3' của mạch bổ sung), không phải đầu tiên từ đầu 3' mạch gốc. ❌
C. Sai. Vùng điều hòa mang tín hiệu khởi động phiên mã, không phải dịch mã. Dịch mã khởi đầu bởi codon AUG trên mRNA. ❌
D. Sai. Vùng kết thúc mang tín hiệu kết thúc phiên mã, không phải dịch mã. Dịch mã kết thúc bởi các codon kết thúc trên mRNA. ❌
➡ Chọn đáp án A.
Đáp án: A ➡ Chọn đáp án A.
Câu 2 [705164]: Loại đột biến nào sau đây làm thay đổi số lượng nhiễm sắc thể trong tế bào?
A, Đột biến gene.
B, Đột biến đa bội.
C, Đột biến đảo đoạn.
D, Đột biến lặp đoạn.
A. Sai. Đột biến gene là sự thay đổi cấu trúc của gene (trình tự nucleotide), không làm thay đổi số lượng NST. ❌
B. Đúng. Đột biến đa bội (ví dụ: tam bội 3n, tứ bội 4n) làm thay đổi số bộ NST đơn bội, dẫn đến thay đổi số lượng NST trong tế bào. ✅
C. Sai. Đột biến đảo đoạn là đột biến cấu trúc NST (đảo ngược một đoạn NST), không làm thay đổi số lượng NST. ❌
D. Sai. Đột biến lặp đoạn là đột biến cấu trúc NST (một đoạn NST được lặp lại), làm tăng số lượng gene nhưng không thay đổi số lượng NST. ❌
➡ Chọn đáp án B.
Đáp án: B ➡ Chọn đáp án B.
Câu 3 [704220]: Các hợp chất nào là sản phẩm được tạo ra từ pha sáng quang hợp
A, ATP, NADPH, CO2.
B, ATP, NADP, O2.
C, ATP, NADPH, O2.
D, H2O, ADP, NADP.
A. Sai. CO2 là nguyên liệu được cố định trong pha tối, không phải sản phẩm của pha sáng. ❌
B. Sai. NADP là chất nhận electron, không phải sản phẩm; sản phẩm là NADPH. ❌
C. Đúng. Pha sáng sử dụng năng lượng ánh sáng để phân ly nước (giải phóng O2), tổng hợp ATP và khử NADP+ thành NADPH. ✅
D. Sai. H2O là nguyên liệu (bị phân ly), ADP và NADP là chất nhận, không phải sản phẩm được tạo ra. ❌
➡ Chọn đáp án C.
Đáp án: C ➡ Chọn đáp án C.
Câu 4 [703513]: Chất nào sau đây là sản phẩm của pha tối?
A, C6H12O6.
B, CO2.
C, ATP.
D, O2.
A. Đúng. Glucose (C6H12O6) là sản phẩm được tổng hợp từ CO2 trong chu trình Calvin (pha tối). ✅
B. Sai. CO2 là nguyên liệu đầu vào của pha tối, không phải sản phẩm. ❌
C. Sai. ATP là sản phẩm của pha sáng và được sử dụng làm nguồn năng lượng trong pha tối. ❌
D. Sai. O2 là sản phẩm của pha sáng (từ quá trình quang phân ly nước). ❌
➡ Chọn đáp án A.
Đáp án: A ➡ Chọn đáp án A.
Câu 5 [1100376]: Kết quả của tiến hóa tiền sinh học là
A, các đại phân tử hữu cơ.
B, mầm mống sinh vật đầu tiên.
C, cơ thể sinh vật nhân sơ.
D, các hạt coacervate.
A. Sai. Các đại phân tử hữu cơ (protein, nucleic acid) là kết quả của giai đoạn tiến hóa hóa học. ❌
B. Sai. Mầm mống sinh vật đầu tiên (hay tế bào nguyên thủy) xuất hiện sau giai đoạn tiến hóa tiền sinh học. ❌
C. Sai. Cơ thể sinh vật nhân sơ xuất hiện sau giai đoạn tiến hóa tiền sinh học. ❌
D. Đúng. Kết quả của tiến hóa tiền sinh học là sự hình thành các tập hợp đại phân tử hữu cơ có khả năng trao đổi chất và tự nhân đôi, như các hạt coacervate (giọt coaxeva). ✅
➡ Chọn đáp án D.
Đáp án: D ➡ Chọn đáp án D.
Câu 6 [1100377]: Phát biểu nào sau đây không đúng khi nói về di nhập gene?
A, Di - nhập gene ở thực vật được thực hiện thông qua sự phát tán các bào tử, hạt phấn, quả, hạt.
B, Di - nhập gene là nhân tố làm thay đổi thành phần kiểu gene của quần thể theo một hướng xác định.
C, Di - nhập gene là nhân tố làm thay đổi tần số tương đối của các allele và vốn gene của quần thể.
D, Di - nhập gene là sự lan truyền gene từ quần thể này sang quần thể khác.
A. Đúng. Ở thực vật, di - nhập gene xảy ra thông qua sự phát tán hạt phấn, hạt, quả mang gene. ❌
B. Sai. Di nhập gene làm thay đổi thành phần kiểu gene và tần số allele, nhưng không theo một hướng xác định mà là vô hướng. ✅
C. Đúng. Di nhập gene làm thay đổi tần số tương đối của các allele và vốn gene của quần thể (tăng giảm allele). ❌
D. Đúng. Di nhập gene là sự trao đổi cá thể/ giao tử giữa các quần thể, dẫn đến lan truyền gene từ quần thể này sang quần thể khác. ❌
➡ Chọn đáp án B.
Đáp án: B ➡ Chọn đáp án B.
Câu 7 [704634]: Lưỡng cư phát sinh ở kỉ
A, Carboniferous (Than đá).
B, (Tertiary) Đệ tam.
C, Devonian.
D, Permian.
A. Sai. Kỉ Carboniferous (Than đá) là thời kỳ lưỡng cư phát triển cực thịnh và bò sát xuất hiện, không phải thời kì lưỡng cư phát sinh. ❌
B. Sai. Kỉ Đệ tam thuộc đại Tân sinh, lúc này lưỡng cư đã xuất hiện từ lâu. ❌
C. Đúng. Lưỡng cư phát sinh vào kỉ Devonian thuộc đại Cổ sinh. ✅
D. Sai. Kỉ Permian là kỉ cuối cùng của đại Cổ sinh, lúc này lưỡng cư đã phát triển và bò sát phân hoá. ❌
➡ Chọn đáp án C.
Đáp án: C ➡ Chọn đáp án C.
Câu 8 [703297]: Một cơ thể có kiểu gene Aa Bb
Phát biểu nào sau đây sai?
Phát biểu nào sau đây sai? A, Cặp gene Bb di truyền phân li độc lập với cặp gene Dd.
B, Cặp gene Aa di truyền phân li độc lập với tất cả các cặp gene còn lại.
C, Hai cặp gene Aa và Ee cùng nằm trên một cặp NST.
D, Bộ NST của cơ thể này 2n = 8.
A. Đúng. Bb và Dd nằm trên 2 cặp NST tương đồng khác nhau. ✅
B. Đúng. Do cặp Aa nằm trên 1 cặp nhiễm sắc thể khác với các cặp gene còn lại. ✅
C. Sai. Hai cặp gene này nằm trên 2 cặp NST khác nhau. ❌
D. Đúng. Loài này có 2 nhóm gene liên kết và 2 cặp nhiễm sắc thể phân li độc lập nên 2n = 8. ✅
➡ Chọn đáp án A. Đáp án: C
B. Đúng. Do cặp Aa nằm trên 1 cặp nhiễm sắc thể khác với các cặp gene còn lại. ✅
C. Sai. Hai cặp gene này nằm trên 2 cặp NST khác nhau. ❌
D. Đúng. Loài này có 2 nhóm gene liên kết và 2 cặp nhiễm sắc thể phân li độc lập nên 2n = 8. ✅
➡ Chọn đáp án A. Đáp án: C
Câu 9 [704324]: Cho sơ đồ phả hệ mô tả sự di truyền một bệnh ở người do một trong hai allele của một gene quy định, allele trội là trội hoàn toàn.

Biết rằng không xảy ra đột biến và bố của người đàn ông ở thế hệ thứ III không mang allele gây bệnh. Xác suất người con đầu lòng của cặp vợ chồng ở thế hệ thứ III bị bệnh là bao nhiêu?

Biết rằng không xảy ra đột biến và bố của người đàn ông ở thế hệ thứ III không mang allele gây bệnh. Xác suất người con đầu lòng của cặp vợ chồng ở thế hệ thứ III bị bệnh là bao nhiêu?
A,
.
.B,
.
.C,
.
.D,
.
.
Bố mẹ ở thế hệ thứ 1 và thứ 2 bình thường, sinh con bị bệnh → Tính trạng bị bệnh do gene lặn trên NST thường quy định.
Quy ước: A: bình thường, a: bị bệnh.
Xét các kết luận của đề bài:
Người mẹ ở thế hệ thứ 3 có kiểu gene:
AA :
Aa → giảm phân cho
A :
a.
II.3 có kiểu gene
AA :
Aa → giảm phân cho
A :
a, II.4 có kiểu gene AA giảm phân cho 1A
→ III.2 có kiểu gene:
AA :
Aa → giảm phân cho
A :
a.
Xác suất người con đầu lòng của cặp vợ chồng ở thế hệ thứ III bị bệnh là:
a .
a =
.
➡ Chọn đáp án D. Đáp án: D
Quy ước: A: bình thường, a: bị bệnh.
Xét các kết luận của đề bài:
Người mẹ ở thế hệ thứ 3 có kiểu gene:
AA :
Aa → giảm phân cho
A :
a.II.3 có kiểu gene
AA :
Aa → giảm phân cho
A :
a, II.4 có kiểu gene AA giảm phân cho 1A→ III.2 có kiểu gene:
AA :
Aa → giảm phân cho
A :
a.Xác suất người con đầu lòng của cặp vợ chồng ở thế hệ thứ III bị bệnh là:
a .
a =
.➡ Chọn đáp án D. Đáp án: D
Câu 10 [1100378]: Khi nói về giới hạn sinh thái, phát biểu nào sau đây sai?
A, Những loài có giới hạn sinh thái càng hẹp thì có vùng phân bố càng rộng.
B, Loài sống ở vùng xích đạo có giới hạn sinh thái về nhiệt độ hẹp hơn loài sống ở vùng cực.
C, Ở cơ thể còn non cớ giới hạn sinh thái hẹp hơn so với cơ thể trưởng thành.
D, Cơ thể sinh vật sinh trưởng tốt nhất ở khoảng cực thuận của giới hạn.
A. Sai. Những loài có giới hạn sinh thái càng hẹp thì khả năng chịu đựng kém, vùng phân bố càng hẹp, không phải càng rộng. ✅
B. Đúng. Loài sống ở vùng xích đạo (nhiệt độ ổn định) thường có giới hạn sinh thái về nhiệt hẹp; loài ở vùng cực (nhiệt độ biến động lớn) có giới hạn rộng hơn. ❌
C. Đúng. Cơ thể non yếu hơn, khả năng chống chịu kém nên có giới hạn sinh thái hẹp hơn cơ thể trưởng thành. ❌
D. Đúng. Khoảng cực thuận là khoảng giá trị của nhân tố sinh thái mà ở đó sinh vật sinh trưởng, phát triển tốt nhất. ❌
➡ Chọn đáp án A.
Đáp án: A ➡ Chọn đáp án A.
Câu 11 [1100379]: Nguyên nhân dẫn tới sự phân tầng trong quần xã
A, để giảm sự cạnh tranh nguồn sống, tiết kiệm diện tích.
B, để tiết kiệm diện tích, do các loài có nhu cầu nhiệt độ khác nhau.
C, để tăng khả năng sử dụng nguồn sống, do các loài có nhu cầu ánh sáng khác nhau.
D, do sự phân bố các nhân tố sinh thái không giống nhau, đồng thời mỗi loài thích nghi với các điều kiện sống khác nhau.
A. Sai. Giảm cạnh tranh và tiết kiệm diện tích là hệ quả của phân tầng, không phải nguyên nhân trực tiếp. ❌
B. Sai. Tiết kiệm diện tích là hệ quả; nhu cầu nhiệt độ khác nhau chỉ là một phần nguyên nhân, không phải nguyên nhân trực tiếp. ❌
C. Sai. Tăng khả năng sử dụng nguồn sống là hệ quả; nhu cầu ánh sáng khác nhau chỉ là một phần nguyên nhân. ❌
D. Đúng. Nguyên nhân chính là do sự phân bố không đồng đều của các nhân tố sinh thái (ánh sáng, nhiệt độ, độ ẩm...) và mỗi loài có sự thích nghi khác nhau với các điều kiện đó, dẫn đến sự phân bố theo chiều thẳng đứng. ✅
➡ Chọn đáp án D.
Đáp án: D ➡ Chọn đáp án D.
Câu 12 [705035]: Biện pháp nào sau đây không tạo ra nguồn biến dị di truyền cung cấp cho quá trình chọn giống?
A, Tiến hành lai hữu tính giữa các giống khác nhau.
B, Sử dụng kĩ thuật di truyền để chuyển gene.
C, Gây đột biến nhân tạo bằng các tác nhân vật lí, hoá học.
D, Loại bỏ những cá thể không mong muốn.
A. Sai. Lai hữu tính tạo ra biến dị tổ hợp, cung cấp nguồn biến dị di truyền cho chọn giống. ❌
B. Sai. Kỹ thuật di truyền (chuyển gene) tạo ra sinh vật biến đổi gene, cung cấp biến dị di truyền mới. ❌
C. Sai. Gây đột biến nhân tạo tạo ra đột biến gene hoặc đột biến NST, cung cấp nguyên liệu sơ cấp cho chọn giống. ❌
D. Đúng. Loại bỏ cá thể không mong muốn là quá trình chọn lọc, chỉ giữ lại các kiểu gene có lợi, không tạo ra biến dị di truyền mới. ✅
➡ Chọn đáp án D.
Đáp án: D ➡ Chọn đáp án D.
Câu 13 [704251]: Bệnh máu khó đông và mù màu ở người do đột biến gene lặn trên NST giới tính X không có allele tương ứng trên Y. Một gia đình có người chồng nhìn màu bình thường nhưng bị bệnh máu khó đông, vợ bình thường về 2 tính trạng trên không mang gene gây bệnh máu khó đông nhưng mang gene gây bệnh mù màu. Con gái của họ lấy chồng không bị 2 bệnh trên. Tính xác suất để cặp vợ chồng trẻ đó sinh 2 người con gái đều bình thường đối với 2 bệnh trên
A,
.
.B, 

C, 

D, 

- Cách 1: Nhận biết nhanh đề bài:
Vì người chồng không bị bệnh mù màu và máu khó đông, mà 2 bệnh này đều do gene lặn nằm trên NST X quy định (di truyền chéo) → chắc chắn con gái của người chồng này sẽ không bị bệnh
Xác suất sinh con trai = xác suất sinh con gái =
Nên xác suất sinh 2 con gái bình thường về 2 bệnh trên là:
- Cách 2: Giải theo phả hệ:
Quy ước: A: Máu bình thường; a: Máu khó đông
B: Mắt bình thường; b: Mù màu
Người chồng bị máu khó đông nên có kiểu gene: XaBY
Người vợ bình thường về 2 tính trạng trên không mang gene gây bệnh máu khó đông nhưng mang gene gây bệnh mù màu nên có kiểu gene là: XABXAb
P: XABXAb × XaBY
F:
XABXaB :
XABY:
XAbXaB :
XAbY
Con gái của vợ chồng trên có thể là :
XABXaB hoặc
XAbXaB
Còn người chồng của cô con gái bình thường về cả 2 gene nên có kiểu gene là: XABY
Vì người bố không bị cả 2 bệnh trên nên chắc chắn con gái của họ sẽ không bị 2 bệnh trên.
Mà xác suất sinh con gái = xác suất sinh con trai =
→ xác suất sinh 2 cô con gái không bị cả 2 bệnh trên là:
➡ Chọn đáp án A. Đáp án: A
Vì người chồng không bị bệnh mù màu và máu khó đông, mà 2 bệnh này đều do gene lặn nằm trên NST X quy định (di truyền chéo) → chắc chắn con gái của người chồng này sẽ không bị bệnh
Xác suất sinh con trai = xác suất sinh con gái =
Nên xác suất sinh 2 con gái bình thường về 2 bệnh trên là:
- Cách 2: Giải theo phả hệ:
Quy ước: A: Máu bình thường; a: Máu khó đông
B: Mắt bình thường; b: Mù màu
Người chồng bị máu khó đông nên có kiểu gene: XaBY
Người vợ bình thường về 2 tính trạng trên không mang gene gây bệnh máu khó đông nhưng mang gene gây bệnh mù màu nên có kiểu gene là: XABXAb
P: XABXAb × XaBY
F:
XABXaB :
XABY:
XAbXaB :
XAbYCon gái của vợ chồng trên có thể là :
XABXaB hoặc
XAbXaBCòn người chồng của cô con gái bình thường về cả 2 gene nên có kiểu gene là: XABY
Vì người bố không bị cả 2 bệnh trên nên chắc chắn con gái của họ sẽ không bị 2 bệnh trên.
Mà xác suất sinh con gái = xác suất sinh con trai =

→ xác suất sinh 2 cô con gái không bị cả 2 bệnh trên là:

➡ Chọn đáp án A. Đáp án: A
Câu 14 [704579]: Một allele nào đó dù có lợi cũng có thể bị loại bỏ hoàn toàn khỏi quần thể là do tác động của nhân tố nào sau đây?
A, Chọn lọc tự nhiên.
B, Giao phối không ngẫu nhiên.
C, Các yếu tố ngẫu nhiên.
D, Giao phối ngẫu nhiên.
A. Sai. Chọn lọc tự nhiên thường loại bỏ các allele có hại và giữ lại các allele có lợi, không phải loại bỏ allele có lợi. ❌
B. Sai. Giao phối không ngẫu nhiên làm thay đổi tần số kiểu gene, nhưng không làm thay đổi tần số allele nên sẽ không loại bỏ allele nào ra khỏi quần thể. ❌
C. Đúng. Các yếu tố ngẫu nhiên (như thiên tai, dịch bệnh,...) có thể loại bỏ ngẫu nhiên cả allele có lợi khỏi quần thể. ✅
D. Sai. Giao phối ngẫu nhiên duy trì trạng thái cân bằng của quần thể, không loại bỏ allele. ❌
➡ Chọn đáp án C.
Đáp án: C ➡ Chọn đáp án C.
Câu 15 [705288]: Các nhóm xạ khuẩn thường có khả năng sản xuất chất kháng sinh nhờ có gene tổng hợp kháng sinh, nhưng người ta vẫn chuyển gene đó sang chủng vi khuẩn khác là do
A, xạ khuẩn có thể gây bệnh nguy hiểm.
B, xạ khuẩn không có khả năng tự dưỡng.
C, xạ khuẩn sinh sản chậm.
D, xạ khuẩn khó tìm thấy.
A. Sai. Xạ khuẩn thường không phải là tác nhân gây bệnh nguy hiểm, ngược lại xạ khuẩn thường có khả năng sản xuất sản xuất chất kháng sinh. ❌
B. Sai. Xạ khuẩn có thể sống tự dưỡng hoặc dị dưỡng, nhưng đây không phải lý do chính để chuyển gene. ❌
C. Đúng. Xạ khuẩn thường có khả năng sản xuất sản xuất chất kháng sinh nhờ có gene tổng hợp kháng sinh nhưng lại sinh sản chậm, trong khi vi khuẩn (như E. coli) sinh sản nhanh (có thể nhân đôi sau 20 phút), giúp sản xuất kháng sinh với số lượng lớn trong thời gian ngắn. ✅
D. Sai. Xạ khuẩn phổ biến trong tự nhiên, không khó tìm. ❌
➡ Chọn đáp án C.
Đáp án: C ➡ Chọn đáp án C.
Câu 16 [705383]: Đột biến giao tử là đột biến phát sinh
A, trong quá trình nguyên phân ở một tế bào sinh dưỡng.
B, trong quá trình giảm phân ở một tế bào sinh dục.
C, ở giai đoạn phân hoá tế bào thành mô.
D, ở trong phôi.
A. Sai. Đột biến xảy ra trong nguyên phân ở tế bào sinh dưỡng tạo ra đột biến soma, không phải đột biến giao tử. ❌
B. Đúng. Đột biến giao tử phát sinh trong quá trình giảm phân tạo giao tử ở tế bào sinh dục, có thể di truyền cho thế hệ sau. ✅
C. Sai. Giai đoạn phân hóa tế bào thành mô liên quan đến nguyên phân của tế bào sinh dưỡng, không phải giảm phân tạo giao tử. ❌
D. Sai. Đột biến xảy ra ở trong phôi thường là đột biến soma (trong những lần nguyên phân đầu tiên của hợp tử). ❌
➡ Chọn đáp án B.
Đáp án: B ➡ Chọn đáp án B.
Câu 17 [1100380]: Khi nói về kích thước của quần thể sinh vật, phát biểu nào sau đây đúng?
A, Nếu kích thước quần thể vượt quá mức tối đa thì cạnh tranh giữa các cá thể trong quần thể tăng cao dẫn tới có thể sẽ làm tiêu diệt quần thể.
B, Nếu kích thước quần thể xuống dưới mức tối thiểu, quần thể dễ rơi vào trạng thái suy giảm dẫn tới diệt vong.
C, Kích thước quần thể thường ổn định và đặc trưng cho từng loài.
D, Các quần thể cùng loài luôn có kích thước quần thể giống nhau.
A. Sai. Khi kích thước vượt mức tối đa, cạnh tranh tăng cao có thể dẫn đến suy giảm quần thể, nhưng hiếm khi làm tiêu diệt hoàn toàn quần thể (quần thể có thể điều chỉnh về trạng thái cân bằng). ❌
B. Đúng. Nếu kích thước xuống dưới mức tối thiểu, quần thể dễ rơi vào trạng thái suy giảm do khả năng gặp gỡ sinh sản thấp, biến động di truyền mạnh, dễ bị tác động bởi yếu tố ngẫu nhiên, có thể dẫn đến diệt vong. ✅
C. Sai. Kích thước quần thể luôn biến động phụ thuộc vào điều kiện môi trường, không ổn định và không đặc trưng cố định cho từng loài. ❌
D. Sai. Các quần thể cùng loài sống ở môi trường khác nhau sẽ có kích thước khác nhau do điều kiện sống khác nhau. ❌
➡ Chọn đáp án B.
Đáp án: B
Câu 18 [1100381]: Khi nói về tháp sinh thái phát biểu nào sau đây không đúng?
A, Tháp sinh thái mô tả mối quan hệ dinh dưỡng giữa các loài trong quần xã.
B, Dựa vào tháp sinh thái ta có thể dự đoán hướng phát triển của quần xã trong tương lai.
C, Tháp số lượng được xây dựng trên số lượng các thể sinh vật ở mỗi bậc dinh dưỡng.
D, Tháp năng lượng hoàn thiện nhất luôn có đáy lớn đỉnh bé.
A. Đúng. Tháp sinh thái biểu thị mối quan hệ dinh dưỡng giữa các bậc trong chuỗi/lưới thức ăn. ✅
B. Sai. Tháp sinh thái mô tả trạng thái tại một thời điểm, không cung cấp đủ thông tin để dự đoán hướng phát triển tương lai của quần xã (cần thêm yếu tố như biến động môi trường, tương tác loài...). ❌
C. Đúng. Tháp số lượng được xây dựng dựa trên số lượng cá thể ở mỗi bậc dinh dưỡng. ✅
D. Đúng. Tháp năng lượng luôn có dạng đáy lớn đỉnh nhỏ vì năng lượng giảm dần qua mỗi bậc dinh dưỡng. ✅
➡ Chọn đáp án B.
Đáp án: B ➡ Chọn đáp án B.
PHẦN II. Thí sinh trả lời từ câu 1 đến câu 4. Trong mỗi ý a), b), c), d) ở mỗi câu, thí sinh chọn đúng hoặc sai.
Câu 19 [704743]: Một loài thực vật, mỗi gene quy định một tính trạng. Cho cây hoa đỏ, quả tròn giao phấn với cây hoa trắng, quả dài (P), thu được F1 có 100% cây hoa hồng, quả bầu dục. Cho cây F1 giao phấn với cây N, thu được F2 có tỉ lệ: 1 cây hoa đỏ, quả bầu dục : 1 cây hoa hồng, quả tròn : 1 cây hoa hồng, quả dài : 1 cây hoa trắng, quả bầu dục. Biết không xảy ra đột biến.
a) Đúng. F1 có kiểu hình trung gian → Tính trạng trội không hoàn toàn.
Quy ước: A hoa đỏ; a hoa trắng; B quả tròn ; b quả dài.
F1 có kiểu gene AaBb. Cây F1 giao phấn với cây N, thu được F2 có tỉ lệ 1:1:1:1.
Trong đó đỏ : hồng : trắng = 1:2:1 → Cây N là Aa;
Trong đó tròn : bầu dục : dài = 1:2:1 → Cây N là Bb.
Như vậy, cây N có dị hợp 2 cặp gene; cây F1 cũng dị hợp 2 cặp gene mà đời con có tỉ lệ 1:1:1:1.
→ Có hiện tượng liên kết gene hoàn toàn. Ở đời con có kiểu hình hoa hồng, quả dài (Aa, Bb).
Khi liên kết gene thì cây F1 có kiểu gene là
. → Cây N phải có kiểu gene là
. ✅
b) Sai. F1 tự thụ phấn
thì tỉ lệ kiểu hình là
. ❌
c) Đúng. F1 lai với cây N
thì tỉ lệ kiểu gene ở F2 là
.
→ Khi F2 tự thụ phấn thì kiểu hình hoa đỏ, quả tròn chiếm tỉ lệ
✅
d) Đúng. Nếu cây
tự thụ phấn thì tỉ lệ kiểu gene ở đời con là
→ Tỉ lệ kiểu hình là 1:2:1. ✅
Quy ước: A hoa đỏ; a hoa trắng; B quả tròn ; b quả dài.
F1 có kiểu gene AaBb. Cây F1 giao phấn với cây N, thu được F2 có tỉ lệ 1:1:1:1.
Trong đó đỏ : hồng : trắng = 1:2:1 → Cây N là Aa;
Trong đó tròn : bầu dục : dài = 1:2:1 → Cây N là Bb.
Như vậy, cây N có dị hợp 2 cặp gene; cây F1 cũng dị hợp 2 cặp gene mà đời con có tỉ lệ 1:1:1:1.
→ Có hiện tượng liên kết gene hoàn toàn. Ở đời con có kiểu hình hoa hồng, quả dài (Aa, Bb).
Khi liên kết gene thì cây F1 có kiểu gene là
. → Cây N phải có kiểu gene là
. ✅b) Sai. F1 tự thụ phấn
thì tỉ lệ kiểu hình là
. ❌c) Đúng. F1 lai với cây N
thì tỉ lệ kiểu gene ở F2 là
.→ Khi F2 tự thụ phấn thì kiểu hình hoa đỏ, quả tròn chiếm tỉ lệ
✅d) Đúng. Nếu cây
tự thụ phấn thì tỉ lệ kiểu gene ở đời con là
→ Tỉ lệ kiểu hình là 1:2:1. ✅
Câu 20 [703146]: Tại một quần thể thỏ biệt lập với các quần thể cùng loài lân cận, ghi nhận tỉ lệ sinh và tốc độ tăng trưởng của quần thể qua các năm, người ta thu được bảng số liệu sau:
a) Đúng. Tốc độ tăng trưởng nhỏ hơn tỉ lệ sinh chứng tỏ quần thể có tỉ lệ tử, vì vậy để duy trì và phát triển thì quần thể phải sinh nhiều. ✅
b) Sai. Chọn lọc tự nhiên không tác động mạnh làm thay đổi đột ngột về tốc độ tăng trưởng của quần thể. Ở đây nhân tố tác động có thể là các yếu tố ngẫu nhiên. ❌
c) Sai. Năm thứ 2, có thể cấu trúc di truyền quần thể thỏ thay đổi do biến động di truyền. ❌
d) Sai. Quần thể thỏ biệt lập nên không có di – nhập gene. ❌
b) Sai. Chọn lọc tự nhiên không tác động mạnh làm thay đổi đột ngột về tốc độ tăng trưởng của quần thể. Ở đây nhân tố tác động có thể là các yếu tố ngẫu nhiên. ❌
c) Sai. Năm thứ 2, có thể cấu trúc di truyền quần thể thỏ thay đổi do biến động di truyền. ❌
d) Sai. Quần thể thỏ biệt lập nên không có di – nhập gene. ❌
Câu 21 [705550]: Glycoprotein CD137R là thụ thể biểu hiện mạnh trên bề mặt tế bào T hoạt động. CD137L là ligand hoạt hóa CD137R và thông thường chỉ được biểu hiện lượng lớn ở các tế bào trình diện kháng nguyên. Tín hiệu 2 chiều của tương tác giữa CD137R và CD137L làm tăng hoạt động của các tế bào bạch cầu (hình dưới). Nhiều nghiên cứu đã chỉ ra mối quan hệ giữa các con đường truyền tín hiệu thông qua tương tác CD137R/CD137L với một số bệnh ở người bao gồm cả các bệnh chuyển hóa.
a) Sai. Ức chế tín hiệu hai chiều CD137R/CD137L làm giảm hoạt động miễn dịch. ❌
b) Đúng. Ức chế tín hiệu hai chiều CD137R/CD137L làm giảm hoạt động miễn dịch → Làm giảm mức độ loại thải mô ghép. ✅
c) Sai. Giảm hoạt động miễn dịch làm giảm hoạt động của các tế bào giết tự nhiên và tế bào T độc → Làm tăng sự phát triển của các tế bào khối. ❌
d) Đúng. Đây là các tế bào trình diện kháng nguyên. ✅
b) Đúng. Ức chế tín hiệu hai chiều CD137R/CD137L làm giảm hoạt động miễn dịch → Làm giảm mức độ loại thải mô ghép. ✅
c) Sai. Giảm hoạt động miễn dịch làm giảm hoạt động của các tế bào giết tự nhiên và tế bào T độc → Làm tăng sự phát triển của các tế bào khối. ❌
d) Đúng. Đây là các tế bào trình diện kháng nguyên. ✅
Câu 22 [703212]: Để xác định độ dài thời gian pha S trong chu kỳ tế bào, người ta sử dụng một loại nucleotide được đánh dấu phóng xạ.
Người ta sử dụng hoá chất 5-bromouracil để gây đột biến ở Operon Lac của E.coli, thu được đột biến ở giữa vùng mã hoá của gene Lac Z.
Người ta sử dụng hoá chất 5-bromouracil để gây đột biến ở Operon Lac của E.coli, thu được đột biến ở giữa vùng mã hoá của gene Lac Z.
a) Sai. Loại nucleotide được dùng để xác định độ dài pha S là nucleotide thymine (T). ❌
b) Đúng. Pha S: DNA nhân đôi cần A, T, G, C. Nucleotide loại T chỉ dùng ở pha này ➔ Khoảng thời gian tế bào hấp thụ T tương ứng độ dài pha S. ✅
c) Sai. Khi sử dụng hoá chất 5 - bromouracil để gây đột biến ở Operon lac của E. coli, thu được đột biến ở giữa vùng mã hoá của gene lacZ. Sản phẩm của gene cấu trúc lacY và lacA không ảnh hưởng, tạo ra sản phẩm bình thường. ❌
d) Đúng. Là đột biến nhầm nghĩa: nên sản phẩm của gene lacZ là enzyme galactosidase có thể biến đổi làm giảm hoặc tăng hoạt tính; không được tạo ra hoặc tạo ra ngắn hơn bình thường và thường mất chức năng. ✅
b) Đúng. Pha S: DNA nhân đôi cần A, T, G, C. Nucleotide loại T chỉ dùng ở pha này ➔ Khoảng thời gian tế bào hấp thụ T tương ứng độ dài pha S. ✅
c) Sai. Khi sử dụng hoá chất 5 - bromouracil để gây đột biến ở Operon lac của E. coli, thu được đột biến ở giữa vùng mã hoá của gene lacZ. Sản phẩm của gene cấu trúc lacY và lacA không ảnh hưởng, tạo ra sản phẩm bình thường. ❌
d) Đúng. Là đột biến nhầm nghĩa: nên sản phẩm của gene lacZ là enzyme galactosidase có thể biến đổi làm giảm hoặc tăng hoạt tính; không được tạo ra hoặc tạo ra ngắn hơn bình thường và thường mất chức năng. ✅
PHẦN III. Thí sinh trả lời từ câu 1 đến 6. Thí sinh điền kết quả mỗi câu vào mỗi ô trả lời tương ứng theo hướng dẫn của phiếu trả lời.
Câu 23 [558374]: Khi quan sát quá trình phân bào của các tế bào (2n) thuộc cùng một mô ở một loài sinh vật, một học sinh vẽ lại được sơ đồ với đầy đủ các giai đoạn khác nhau như bên. Quan sát hình cho biết bộ NST của loài trên là bao nhiêu (2n = ?)?


Quan sát hình (d) dễ dàng xác định được bộ NST ở hình d (kỳ đầu) là 2n kép = 4 nên bộ NST của loài là 2n = 4.
➡ Điền đáp án: 4.
➡ Điền đáp án: 4.
Câu 24 [1100382]: Cho các thông tin ở bảng dưới đây:

Hiệu suất sinh thái giữa sinh vật tiêu thụ bậc 3 với sinh vật tiêu thụ bậc 2 là bao nhiêu phần trăm (%)?

Hiệu suất sinh thái giữa sinh vật tiêu thụ bậc 3 với sinh vật tiêu thụ bậc 2 là bao nhiêu phần trăm (%)?
→ Hiệu suất sinh thái giữa sinh vật tiêu thụ bậc 3 với sinh vật tiêu thụ bậc 2 là
= 4%.
➡ Điền đáp án: 4.
= 4%.➡ Điền đáp án: 4.
Câu 25 [1100383]: Hình dưới đây mô tả bộ NST bình thường và bộ NST của một thể đột biến.

Khi thể đột biến này giảm phân bình thường thì tỉ lệ giao tử đột biến được tạo ra là bao nhiêu phần trăm (làm tròn đến phần nguyên)?

Khi thể đột biến này giảm phân bình thường thì tỉ lệ giao tử đột biến được tạo ra là bao nhiêu phần trăm (làm tròn đến phần nguyên)?
Cặp NST số 2 có đột biến mất đoạn, các cặp NST còn lại bình thường.
→ Tỉ lệ giao tử đột biến là: ½.
➡ Điền đáp án: 0,5.
Câu 26 [1100384]: Trong nghiên cứu của Correns về sự di truyền màu sắc lá ở cây hoa phấn hay còn gọi là hoa bốn giờ (Mirabilis jalapa), ông nhận thấy có ba dạng kiểu hình là lá xanh, lá trắng và lá khảm. Trong đó, những cây làm mẹ có lá xanh (hoặc lá trắng) hầu hết cho cây con có lá xanh (hoặc lá trắng); còn những cây làm mẹ có lá khảm thì cho con có cả lá xanh, lá trắng và lá khảm. Điều này được giải thích bởi màu sắc lá do gene ở lục lạp quy định và gene được phân chia không đồng đều khi cây mẹ thực hiện giảm phân.
Một học sinh đã tiến hành lại thí nghiệm và thu được kết quả qua bảng dưới đây:

Theo lí thuyết, cặp bố mẹ (P) số mấy trong bảng trên cho kết quả kiểu hình ở đời con không đúng theo quy luật di truyền gene ngoài nhân? Hãy viết liền các số tương ứng các đáp án đúng theo thứ tự từ nhỏ đến lớn.
Một học sinh đã tiến hành lại thí nghiệm và thu được kết quả qua bảng dưới đây:

Theo lí thuyết, cặp bố mẹ (P) số mấy trong bảng trên cho kết quả kiểu hình ở đời con không đúng theo quy luật di truyền gene ngoài nhân? Hãy viết liền các số tương ứng các đáp án đúng theo thứ tự từ nhỏ đến lớn.
Xét thấy ♀ Lá khảm (5) × ♂ Lá khảm (3) → 100% Lá khảm. Mà theo lý thuyết thì những cây làm mẹ có lá khảm thì cho con có cả lá xanh, lá trắng và lá khảm. Suy ra ♀ Lá khảm (5) × ♂ Lá khảm (3) → 100% Lá khảm là không thoả mãn.
➡ Điền đáp án: 35.
➡ Điền đáp án: 35.
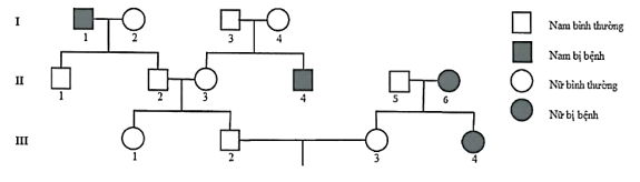
Câu 27 [1100385]: Phả hệ sau đây mô tả sự di truyền bệnh phenylketonuria ở người do một trong hai allele của một gene quy định.
Có tối đa bao nhiêu người trong phả hệ sau xác định được chính xác kiểu gene?
Có tối đa bao nhiêu người trong phả hệ sau xác định được chính xác kiểu gene? Quy ước: A- bình thường; a- bị PKU.
Những người bị bệnh có kiểu gene aa: I.1; II.4; II.6; III.4
Những người bình thường có bố, mẹ, con bị bệnh có kiểu gene Aa: I.3; I.4; II.1; II.2; II.5; III.3.
Vậy có 10 người xác định được kiểu gene.
➡ Điền đáp án: 10.
Câu 28 [1100386]: Cho các nội dung ở cột A và cột B:
Hãy viết bốn số liền nhau ở cột A tương ứng với thứ tự nội dung abcd ở cột B.
Hãy viết bốn số liền nhau ở cột A tương ứng với thứ tự nội dung abcd ở cột B.
Tiến hóa hóa học: Hình thành các chất hữu cơ từ các chất vô cơ.
Giao phối không ngẫu nhiên: Nhân tố tiến hóa không làm thay đổi tần số allele.
Cách li sinh sản: Ngăn cản các cá thể giao phối với nhau hoặc có giao phối nhưng không sinh ra con lai hữu thụ.
Đặc điểm thích nghi: Làm tăng giá trị thích nghi của cá thể.
➡ Điền đáp án: 4123.
Giao phối không ngẫu nhiên: Nhân tố tiến hóa không làm thay đổi tần số allele.
Cách li sinh sản: Ngăn cản các cá thể giao phối với nhau hoặc có giao phối nhưng không sinh ra con lai hữu thụ.
Đặc điểm thích nghi: Làm tăng giá trị thích nghi của cá thể.
➡ Điền đáp án: 4123.