
Chất X và Y trong thí nghiệm lần lượt là
Quan sát thiết bị:
- Chất rắn X được thêm vào dung dịch Y và đun nóng, khuấy → tạo dung dịch CuSO₄
- Sau phản ứng, lọc để loại bỏ X dư → chứng tỏ X không tan hết và không phải là muối dễ tan
- Y ban đầu là dạng dung dịch → nhiều khả năng là acid loãng
⟹ Chọn đáp án B
1s22s22p63s23p63d44s2
Dạng 2. Một electron từ orbital 3d chuyển sang 4s, dẫn đến cấu hình electron:
1s22s22p63s23p63d54s1
Chọn đáp án A Đáp án: A
• Nguyên tử có 4 electron độc thân.
• Có nhiều số oxi hoá trong các hợp chất, trong đó có số oxi hoá +2 và +3.
• Ở dạng đơn chất, là kim loại nặng.
M là nguyên tố nào sau đây?
❌ A. Cr (Z = 24)
+ Cấu hình electron: [Ar] 3d5 4s1
+ Ô orbital:

→ Có 6 electron độc thân
❌ B. Ni (Z = 28)
+ Cấu hình electron: [Ar] 3d8 4s2
+ Ô orbital:

→ Có 2 electron độc thân
✔️ C. Fe (Z = 26)
+ Cấu hình electron: [Ar] 3d6 4s2
+ Ô orbital:

→ Có 4 electron độc thân
❌ D. Cu (Z = 29)
Cấu hình electron: [Ar] 3d10 4s1
+ Ô orbital:

→ Có 1 electron độc thân
Vì nguyên tử M có 4 electron độc thân nên chỉ Fe là thỏa mãn. Fe có 4 electron độc thân, có số oxi hóa +2 và +3 trong hợp chất và là kim loại nặng.
⇒ Chọn đáp án C Đáp án: C
• Nguyên tử M có 1 electron ở lớp ngoài cùng.
• Trong hợp chất, số oxi hoá phổ biến của nguyên tố M là +2.
M là nguyên tố nào sau đây?
❌ Mn : có số oxi hoá phổ biến là +2, +3, +4, +6, +7. Tuy nhiên, manganese có nhiều electron ở lớp ngoài cùng, không chỉ 1 electron.
❌ Ni: có số oxi hoá phổ biến là +2 và +3, nhưng nickel có 2 electron ở lớp ngoài cùng.
✔️ Cu : có số oxi hoá phổ biến là +1 và +2, nhưng copper có 1 electron ở lớp ngoài cùng trong trạng thái +1.
⇒ Chọn đáp án D Đáp án: D
• Hợp chất M(II) có tính khử nên phản ứng được với dung dịch thuốc tím.
• Ion M3+ có 5 electron độc thân.
• Là nguyên tố kim loại thuộc nhóm nguyên tố hoá học phổ biến trong tự nhiên.
M là nguyên tố nào sau đây?
- Là nguyên tố kim loại thuộc nhóm nguyên tố hoá học phổ biến trong tự nhiên
⇒ M là một kim loại chuyển tiếp trong dãy thứ nhất.
⇒ M là Fe.
+ Fe có số oxi hoá +2 (Fe2+) và có tính khử mạnh, do đó có thể phản ứng với thuốc tím (KMnO4).
+ Ion Mn3+ có cấu hình electron [Ar] 3d5, trong đó có 5 electron độc thân.
+ Fe là nguyên tố kim loại phổ biến trong tự nhiên.
⇒ Chọn đáp án A Đáp án: A
Cơ chế hoạt động của thiết bị cảm biến dựa trên cân bằng sau:
CoCl2(s) + 6H2O(g) ⇌ CoCl2.6H2O(s)
(màu xanh) (không màu) (màu hồng)
Hãy cho biết màu nào cho phép ta dự đoán môi trường đang có xu hướng bị ẩm và cần kiểm soát độ ẩm?
* Ngược lại, khi không khí khô hơn, phản ứng chuyển dịch theo chiều nghịch → tạo CoCl2 khan (màu xanh).
→ Màu hồng cho biết môi trường đang ẩm, và đây là dấu hiệu cảnh báo rằng cần kiểm soát lại độ ẩm.
→ Chọn đáp án D Đáp án: D
- Nguyên tử hoặc ion kim loại trung tâm: Là ion kim loại có khả năng nhận cặp electron từ phối tử.Thường là các kim loại chuyển tiếp như Fe, Cu, Co, Ni, Zn, Pt, Ag...
- Phối tử: Là các phân tử hoặc ion có chứa cặp electron chưa sử dụng, có thể cho cặp electron này để tạo liên kết với ion kim loại trung tâm. Phối tử có thể là trung hòa (H2O, NH3, CO) hoặc mang điện tích (Cl- , CN- ,…)
Có 2 loại phối tử trong phức chất trên là Cl- và NH3
⇒ Chọn đáp án C Đáp án: C
Ví dụ: H2O, NH3,Cl-, Br-, CN-, OH-
Chọn đáp án A Đáp án: A
Chọn đáp án D Đáp án: D

Số liên kết quanh nguyên tử trung tâm và số phối tử trong chlorophyll lần lượt là
Phối tử là porphyrin => Có 1 phối tử
⟹ Chọn đáp án B Đáp án: B
⇒ Chọn đáp án B Đáp án: B

Phát biểu nào sau đây đúng?
❌A. Trong phức chất B có 1 phối tử.
✔️B. A có dạng bát diện, B là phức có phối tử đa càng ⟹ Hai phức chất A và B có dạng hình học khác nhau.
❌C. Trong A có 2 loại phối tử là NO2 và NH3, trong B đều có 1 phối tử đa càng.
❌D. Co là kim loại chuyển tiếp, Mg không phải kim loại chuyển tiếp.
⟹ Chọn đáp án B
Đáp án: B

(a) Điện tích của phức chất bằng 0.
(b) Số liên kết cho - nhận giữa mỗi phối tử với nguyên tử trung tâm là như nhau.
(c) Số oxi hoá của nguyên tử trung tâm trong phức chất là +4.
(d) Tất cả các liên kết trong phức chất đều là liên kết cộng hoá trị.
(e) Theo thuyết liên kết hoá trị, các liên kết quanh nguyên tử trung tâm là liên kết cộng hoá trị theo kiểu cho - nhận.
Có bao nhiêu phát biểu đúng trong những phát biểu sau về các phức chất trên?
✔️a.Đúng. Trong hình vẽ, ion trung tâm là (Pt) có số oxi hóa +2 (do 4 liên kết với Cl-).
- Mỗi phối tử Cl- có điện tích -1.
- Phức chất có 2 nhóm NH3 trung hòa điện tích.
- Tổng điện tích của phức chất là: (+2) + 2.(-1) + 0 = 0.
❌(b) Sai. Số liên kết cho - nhận giữa mỗi phối tử với nguyên tử trung tâm là khác nhau.
- Mỗi phối tử Cl- liên kết với Pt thông qua 1 liên kết cho - nhận.
- Mỗi phối tử en tạo 2 liên kết.
❌(c) Sai. Số oxi hoá của nguyên tử trung tâm(Pt) trong phức chất là +2, không phải +4
✔️(d) Đúng. Liên kết giữa Pt và Cl- và liên kết giữa Pt và NH3 là liên kết cộng hóa trị cho - nhận.
✔️(e) Đúng.Theo thuyết liên kết hoá trị, các liên kết quanh nguyên tử trung tâm là liên kết cộng hoá trị theo kiểu cho - nhận.
Có 4 phát biểu đúng.
⇒ Chọn đáp án B Đáp án: B

Nhận định nào sau đây là đúng?
Ống nghiệm (2) có màu xanh lam đậm → chứa [Cu(NH3)4(OH2)2]2+
Ống nghiệm (3) không màu → chứa [Ag(NH3)2]+
❌A. Sai, vì ống nghiệm (1) chứa [Cu(OH2)6]2+, không phải [Cu(NH3)4(OH2)2]2+
❌B. Sai, vì phức [Ag(NH3)2]+ trong ống (3) có Ag với số oxi hóa +1, không phải +2.
✔️C. Đúng. Phức trong ống (1) tồn tại ở dạng ML6, dạng bát diện.
❌D. Sai, vì phức trong ống (1) chứa phối tử H2O, còn ống (3) chứa NH3
⇒ Chọn đáp án C Đáp án: C
⇒ Chọn đáp án B Đáp án: B
Có các phát biểu dưới đây về phức chất:
(a) có điện tích là 1+.
(b) tan tốt trong nước.
(c) có giá trị của m là 4.
(d) kém bền hơn cation Ag+(aq).
(e) tạo thành do cation Ag+(aq) nhận cặp electron hoá trị riêng của các phân tử nước.
Số phát biểu đúng là
✔️ (a) – Đúng. Phức chất [Ag(OH2)m]+(aq) có điện tích là 1+.
✔️ (b) – Đúng. Phức chất [Ag(OH2)m]+(aq) tan tốt trong nước.
✔️ (c) – Đúng. Phức chất [Ag(OH2)m]+(aq) có dạng tứ diện nên m = 4.
❌ (d) – Sai. Hòa tan AgNO3 vào nước thì thu được dung dịch chứa phức chất [Ag(OH2)m]+ (một chất sẽ chuyển thành dạng bền hơn của chính nó).
✔️(e) – Đúng. Theo thuyết Liên kết hoá trị, liên kết trong phức chất được hình thành do các phối tử cho cặp electron chưa liên kết vào các orbital lai hoá trống của nguyên tử trung tâm. Kiểu lai hoá các orbital của nguyên tử trung tâm quyết định dạng hình học của phức chất.
Có 4 phát biểu đúng.
⟹ Chọn đáp án D Đáp án: D

Cho các nhận định sau về phức chất trên:
(1) Công thức phân tử của X là Fe2(CO)9.
(2) Trong công thức cấu tạo của X có liên kết kim loại – kim loại.
(3) Có 2 loại phối tử CO trong cấu tạo của X.
(4) Nguyên tử trung tâm là cation Fe3+.
(5) Phối tử của X là phối tử trung hoà.
Có bao nhiêu nhận định đúng về phức chất X?
Nhận định (2) – Sai. cấu trúc Fe₂(CO)₉ được ổn định bởi các CO cầu, thường không được coi là có một liên kết Fe–Fe đơn rõ rệt trong mô tả cấu trúc chuẩn.
Nhận định (3) – Đúng. có 2 loại CO: CO đầu cuối (terminal) và CO cầu (bridging).
Nhận định (4) – Sai. Fe ở đây có trạng thái xấp xỉ Fe⁰ chứ không phải Fe³⁺.
Nhận định (5) – Đúng. CO là phối tử trung hòa.
Đáp án: C. 3. Đáp án: C

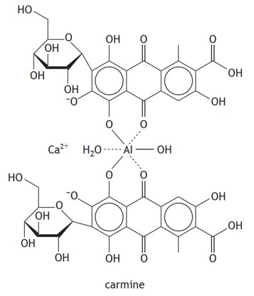
Các nhận định được đưa ra về carmine:
(1) Trong phức chất carmine, nguyên tử Al và ion Ca2+ đóng vai trò là nguyên tử trung tâm.
(2) Phối tử trong phức chất carmine có chứa phân tử glucose.
(3) Phối tử của phức chất carmine là phối tử hai càng, có khả năng liên kết với nguyên tử trung tâm thông qua 2 nguyên tử O trong phân tử.
(4) Phối tử của phức trên là hợp chất hữu cơ đa chức.
(5) Trong cấu tạo của phối tử có chứa hệ vòng anthraquinone thơm, là phần tạo nên màu đỏ đặc trưng của carmine.
Có bao nhiêu nhận định đúng?
Nhận định (1) – Sai. Phức carmine có thể chứa Al³⁺ hoặc Ca²⁺ tùy điều chế, nhưng không đồng thời cả hai làm ion trung tâm trong cùng một phức
Nhận định (2) – Đúng. Acid carminic (C₂₂H₂₀O₁₃) là một dẫn xuất anthraquinon gắn với glucose
Nhận định (3) – Sai. Ngoài phối tử hai càng (tạo liên kết phối trí qua 2 nguyên tử O), còn có phối tử đơn càng là H2O và OH-
Nhận định (4) – Sai. Acid carminic chứa nhiều nhóm chức: –COOH, –OH, carbonyl, vòng anthraquinon, đường → tạp chức
Nhận định (5) – Đúng. Anthraquinon là chromophore tạo màu đỏ đặc trưng
⟹ Chọn đáp án B. 2
Cho các phát biểu sau:
(a) Trong dung dịch CuSO4, ion Cu2+ tồn tại ở dạng phức chất aqua [Cu(OH2)6]2+.
(b) Dung dịch chuyển sang màu vàng là dấu hiệu của sự hình thành phức chất.
(c) Khả năng thay thế phối tử trong phức chất không phụ thuộc vào nồng độ của anion Cl trong dung dịch.
(d) Nồng độ Cl– trong dung dịch sodium choride bão hoà thấp hơn nồng độ Cl– trong dung dịch hydrochloric acid đặc.
Các phát biểu đúng là
✔️ (a) Đúng. Khi tan trong nước, muối của các kim loại chuyển tiếp phân li thành các ion. Sau đó, cation kim loại chuyển tiếp (Mn+) thường nhận các cặp electron hóa trị riêng từ các phân tử H2O để hình thành các liên kết cho – nhận, tạo ra phức chất aqua theo phương trình hóa học tổng quát sau:
Cu2+(aq) + 6H2O(l) →[Cu(OH2)6]2+(aq)
✔️ (b) Đúng. Nhỏ vài giọt dung dịch HCI đặc vào ống nghiệm chứa dung dịch CuSO4 loãng thấy dung dịch từ màu xanh chuyển sang màu vàng, chứng tỏ phức chất [CuCl4]2- đã được tạo thành.
[Cu(OH2)6]2 +(aq) + Cl-(aq) → [CuCl4]2+ (aq) + 6H2O(l)
❌ (c) Sai. Khả năng thay thế phối tử trong phức chất không phụ thuộc vào khả năng tương tác giữa phối tử và ion nguyên tử trung tâm, phối tử anion Cl- tương tác mạnh hơn phối tử trung hòa aqua trong dung dịch.
✔️ (d) Đúng. Nồng độ Cl- trong dung dịch sodium choride bão hoà thấp hơn nồng độ Cl- trong dung dịch hydrochloric acid đặc nguyên do độ tan trong nước của HCl (725g/L) ở 20 độ C) cao hơn nhiều so với NaCl (35,9 g/100 mL)
⇒ Chọn đáp án C Đáp án: C
[Al(OH2)6]3+(aq) + 3H2O(1)
[Al(OH)3(OH2)3]n+(s) + 3H3O+(aq)Có các phát biểu sau đây:
(1) Trong dung dịch có diễn ra quá trình phân li và quá trình hình thành phức chất.
(2) Chỉ có nguyên tố chuyển tiếp mới tạo được phức chất aqua.
(3) Giá trị n ở phức chất trong cân bằng (*) là 1.
(4) Trong phản ứng thuận của cân bằng (*), phức chất aqua đóng vai trò acid theo Brønsted - Lowry.
(5) Trong thực tế, sự hình thành phức chất từ phản ứng thuận của cân bằng (*) giúp giải thích ứng dụng làm trong nước của phèn nhôm – kali.
Các phát biểu đúng là
(2)
Phân tích các phát biểu:
✔️ (1) Đúng. Quá trình (1) là quá trình tạo phức chất aqua của cation Al3+, quá trình (2) là quá trình phân lí của phức chất tạo ion H3O+.
(2) Sai. Trong dung dịch, cation kim loại chuyển tiếp tồn tại ở dạng phức chất aqua. Hầu hết phức chất aqua của ion kim loại chuyển tiếp dãy thứ nhất đều có màu. Do đó dựa vào các dấu hiệu như màu sắc bị thay đổi, sự xuất hiện kết tủa, kết tủa bị hoà tan,… người ta có thể dự đoán phức chất trong dung dịch được tạo thành.
(3) Sai. Giá trị n = 0, trong [Al(OH)3(OH2)3]3+ có Al3+ và 3OH-
✔️ (4) Đúng. Thuyết bronsted – Lowry: Acid là chất cho proton (H+), base là chất nhận proton. Acid và base có thể là phân tử hoặc ion. Trong phản ứng thuận của cân bằng (*), phức chất aqua đóng vai trò acid theo Brønsted - Lowry.
✔️ (5) Đúng. Kết tủa [Al(OH)3(OH2)3]3+ được tạo ra khi khuấy phèn vào nước đã kết dính các hạt đất nhỏ lơ lửng trong nước đục thành các hát đất to hơn, nặng và chìm xuống làm trong nước. Phèn chua rất cần cho việc xử lí nước đục ở các vùng lũ để có nước dùng cho sinh hoạt của con người.
Các phát biểu đúng là (1) (4) (5)
⇒ Chọn đáp án A Đáp án: A
Dichloro(ethylenediamine)platinum(II) có công thức PtCl2(en) là một loại bột màu vàng, được sử dụng làm chất xúc tác tiền chất trong công nghiệp và cũng là chất phản ứng bắt đầu cho quá trình mạ điện, một số hợp chất platinum có khả năng chống ung thư.
Cho các phát biểu sau:
(a) Điện tích của phức chất bằng 0.
(b) Số liên kết cho – nhận giữa mỗi phối tử với nguyên tử trung tâm là như nhau.
(c) Số oxi hoá của nguyên tử trung tâm trong phức chất là +4.
(d) Tất cả các liên kết trong phức chất đều là liên kết cộng hoá trị.
(e) Theo thuyết liên kết hoá trị, các liên kết quanh nguyên tử trung tâm là liên kết cộng hoá trị theo kiểu cho – nhận.
Số phát biểu đúng là
✔️(a) – Đúng. Điện tích của phức chất bằng 0. Nguyên tử trung tâm Pt có điện tích là 2+ và có 2 phối tử Cl- và phối tử trung hòa H2NCH2CH2NH2.
❌(b) – Sai. Mỗi phối tử có số dung lượng phối trí khác nhau Cl- có dung lượng phối trí là 1 nên có 1 liên kết với ion nguyên tử trung tâm và H2NCH2CH2NH2 có dung lượng phối trí là 2 nên có 2 liên kết với ion nguyên tử trung tâm
❌(c) – Sai. Số oxi hoá của nguyên tử trung tâm trong phức chất là +2.
✔️(d) – Đúng. Liên kết trong phức chất là liên kết cho – nhận (trường hợp của liên kết cộng hóa trị) nên phân tử hoặc anion cần có cặp electron hóa trị riêng.
✔️(e) – Đúng. Theo thuyết liên kết hoá trị, các liên kết quanh nguyên tử trung tâm là liên kết cộng hoá trị theo kiểu cho – nhận.
Có 3 nhận định đúng.
⟹ Chọn đáp án B Đáp án: B
[M(OH2)6]n+(aq) + mH2O(l) ⇌ [M(OH)m(OH2)6–m](n–m)+(aq hoặc s) + mH3O+(aq) (3)
Cho các phát biểu sau:
(a) Mẫu nước trên có pH lớn hơn 7.
(b) Ion bị oxi hoá và gây nên hiện tượng trên là [Fe(OH2)6]2+.
(c) Trong nước, ion H+ nhận cặp electron từ H2O để tạo thành ion H3O+.
(d) Chất màu nâu sinh trong mô tả trên là phức chất có công thức là [Fe(OH)2(OH2)4].
Các phát biểu đúng là
❌(a) – Sai. Mẫu nước trên có pH nhỏ hơn 7. Trong quá trình phức chất phân li trong nước sinh ra H3O+ có tính acid nên tạo môi trường acid có pH nhỏ hơn 7.
✔️(b) – Đúng. Sau một thời gian tiếp xúc với không khí, mẫu nước này chuyển sang màu vàng và nổi váng màu nâu do quá trình lon bị oxi hoá và gây nên hiện tượng trên chất phù hợp là [Fe(OH2)6]2+.
✔️(c) – Đúng. Thuyết bronsted – Lowry: Acid là chất cho proton (H+), base là chất nhận proton. Acid và base có thể là phân tử hoặc ion.H+ + H2O → H3O+
❌(d) – Sai. Chất trong mô tả trên là phức chất có công thức là [Fe(OH)2(OH2)4] có màu trắng xanh, sau khi tiếp xúc với không khí chuyển sang màu vàng và nổi váng màu nâu.
Các phát biểu đúng là (b), (c)
⟹ Chọn đáp án B Đáp án: B
Fe3+(aq) + 6H2O(l) ⟶ [Fe(OH2)6]3+(aq) (I)
[Fe(OH2)6]3+(aq) + SCN–(aq) ⇌ [Fe(OH2)5(SCN)]2+(aq) + H2O(1) K = 1,4.102 (II)
[Fe(OH2)6]3+(aq) + F– (l) ⇌ [Fe(OH2)5F]2+(aq) + H2O(l) K = 2,0.105 (III)
Biết dung dịch [Fe(OH2)6]3+ màu vàng nâu, dung dịch [Fe(OH2)5(SCN)]2+ có màu đỏ, dung dịch [Fe(OH2)5F]2+ và các anion SCN–, F– đều không có màu.
Cho các phát biểu sau:
(a) Quá trình (I) xảy ra khi hoà tan FeCl3 trong nước và dung dịch thu được có chứa lượng lớn cation Fe3+ và phức chất aqua [Fe(OH2)6]3+.
(b) So với anion F–, anion SCN– dễ thay thế phối tử H2O trong [Fe(OH)6]3+ hơn.
(c) Khi cho từ từ dung dịch KSCN vào dung dịch ở quá trình (III) thì dung dịch này sẽ có màu.
(d) Trong các quá trình (I), (II) và (III), mỗi phân tử H2O hoặc anion SCN– hay anion F– đều sử dụng số cặp electron hoá trị riêng như nhau để cho vào orbital trống của cation Fe3+.
Số phát biểu đúng là
❌(a) – Sai. Khi tan trong nước, muối của các kim loại chuyển tiếp phân li thành các ion. Sau đó, cation kim loại chuyển tiếp (Mn+) thường nhận các cặp electron hóa trị riêng từ các phân tử H2O để hình thành các liên kết cho – nhận, tạo ra phức chất aqua theo phương trình hóa học tổng quát sau
Mn+(aq) + m H2O(l) → [M(OH2)m]n+(aq)
Quá trình (I) xảy ra khi hoà tan FeCl3 trong nước và dung dịch thu được có chứa lượng lớn phức chất aqua [Fe(OH2)6] 3+
❌(b) – Sai. So với anion F-, anion SCN khó thay thế phối tử H2O trong [Fe(OH)6]3+ hơn nguyên do hằng số cân bằng của phản ứng thế anion SCN- là 1,4.102 nhỏ hơn rất nhiều so với phản ứng thế F- là 2.105
✔️(c) – Đúng. Phản ứng (III) thuận nghịch nên vẫn còn phức [Fe(OH2)6]3+(aq), sẽ xảy ra phản ứng (II) tạo phức chất màu đỏ.
✔️(d) – Đúng. Trong các quá trình (I), (II) và (III), mỗi phân tử H2O hoặc anion SCN hay anion F- đều sử dụng số cặp electron hoá trị riêng như nhau để cho vào orbital trống của cation Fe3+ Theo thuyết Liên kết hoá trị, liên kết trong phức chất được hình thành do các phối tử cho cặp electron chưa liên kết vào các orbital lai hoá trống của nguyên tử trung tâm.
Có 2 phát biểu đúng.
⟹Chọn đáp án B Đáp án: B
(Làm tròn đến hàng đơn vị)
- Nồng độ sắt trong mẫu nước đó là: 0,3 . 44,8 = 13,44 (mg/L)
Đổi 10m3 = 10000L.
- 1 lít nước chứa 13,44 mg sắt, vậy 10000 lít nước chứa 13,44 . 10000 = 134400 mg sắt = 134,4 gam.
⟹ nFe = 134,4 / 56 = 2,4 (mol)
- Đặt số mol Fe2(SO4)3 là x mol ⟹ Số mol FeSO4 là 8x mol.
⟹ nFe3+ = 2x mol, nFe2+ = 8x mol
Mà tổng số mol sắt bằng 2,4 ⟹ 2x + 8x = 2,4 ⟹ x = 0,24 (mol)
+) nFe3+ = nFe(OH)3 = 2x = 2.0,24 = 0,48 (mol)
+) nFe2+ = nFe(OH)2 = 8x = 8.0,24 = 1,92 (mol)
⟹ nOH-= 0,48 . 3 + 1,92 . 2 = 5,28 (mol)
⟹ nCa(OH)2 = 5,28 / 2 = 2,64 (mol)
⟹ mCa(OH)2 = 2,64 . 74 = 195,36 (g)
⟹ Điền đáp án: 195
▪ Cu2+: Điện tích là +2.
▪ Mỗi phối tử NH3: Trung hòa (điện tích 0).
▪ Mỗi phối tử Cl−: Điện tích là −1.
Để phức chất có điện tích là −2, ta thay số lượng a phối tử NH3 bằng Cl−, khi đó:
+2 + 0 × (4 − a) − 1 × a
⇔ −2 + 2 − a = −2
⇔ a = 4
⟶ Khi thay thế 4 phối tử NH3 bằng phối tử Cl− thì phức chất sẽ mang điện tích là 2–.
[Cu(NH3)4]2+ + 4Cl− ⟶ [Cu(Cl)4]2- + 4NH3
⇒ Điền đáp án: 4
∎ Cation Co3+ tạo được 6 liên kết sigma kiểu cho – nhận với các phối tử.
∎ Mỗi anion C2O42– sử dụng 2 cặp electron hoá trị riêng để tạo liên kết cho – nhận với cation kim loại.
Nếu số phối tử H2O trong phức chất [Co(OH2)x(ox)y]p+ là 4 thì giá trị của p bằng bao nhiêu?
★ Co3+ (cation trung tâm) (điện tích +3) có số phối trí = 6, nghĩa là nó tạo 6 liên kết sigma kiểu cho – nhận với các phối tử.
★ Mỗi anion oxalate (C2O42-) (điện tích -2) tạo 2 liên kết cho – nhận, nên một oxalate chiếm 2 vị trí liên kết (phối tử 2 càng).
★ H2O là phối tử đơn càng (trung hòa, không mang điện tích) nên mỗi phân tử H2O chỉ chiếm 1 vị trí liên kết.
Nếu số phối tử H2O trong phức chất [Co(OH2)x(ox)y]p+ là 4, tức x = 4 và tổng số liên kết của Co3+ phải là 6 thì ta có:
x + 2 y= 6 ⇔ 4 + 2y = 6 ⇔ 2y = 2 ⇒ y=1
⟶ Phức chất có dạng [Co(OH2)4(ox)]p+.
⟶ Điện tích của phức là: p = +3 + (−2) = +1.
Vậy giá trị của p là 1.
⇒ Điền đáp án: 1
Fe3+(aq) + nH2O(l) → [Fe(OH2)6](aq)
[Fe(OH2)6](aq) + nH2O(l) → [Fe(OH)n(OH2)6-n]p+(aq) + nH3O+(aq)
Nếu điện tích của phức chất [Fe(OH)n(OH2)6-n]p+ là 1+ thì giá trị của n là bao nhiêu?
Điện tích của phức chất [Fe(OH)n(OH2)6-n]p+ là 1+
→ +3 + [n × (-1)] + 0 = +1 → n = 2
⇒ Điền đáp án: 2
Đọc đoạn thông tin sau và trả lời các câu hỏi từ 28 đến 30:
Trong dung dịch CuSO4, ion Cu2+ kết hợp với nước và tồn tại ở dạng phức chất aqua.
CuSO4(s) → Cu2+(aq) + SO42–(aq)
Cu2+(aq) + 6H2O(l) → [Cu(OH2)6]2+(aq)
Tiến hành các thí nghiệm liên quan đến dung dịch CuSO4:
- Thí nghiệm 1: Cho từ từ dung dịch sodium choride (NaCl) bão hoà đến dư vào dung dịch copper(II) sulfate (CuSO4) loãng, chỉ thấy dấu hiệu nhạt màu, không thấy dấu hiệu dung dịch chuyển sang màu khác.
- Thí nghiệm 2: Nếu tiến hành thí nghiệm thay bằng dung dịch hydrochloric acid (HCl) đặc và dung dịch copper(II) sulfate thì dung dịch chuyển sang màu vàng do xảy ra quá trình:
[Cu(OH2)6]2+(aq) + 4Cl–(aq) ⇌ [CuCl4]2–(aq) + 6H2O(l)
xanh lam vàng
Từ thí nghiệm 1 và 2 có thể kết luận khả năng tạo phức phụ thuộc nào yếu
tố Nồng độ phối tử.
Nồng độ phối tử: càng cao, khả năng tạo phức
càng lớn (theo nguyên tắc cân bằng hóa học).
Đáp án: D. Nồng độ phối tử.

Lí do nào sau giải thích đúng nhất cho sự xuất hiện của màu xanh lục trong quá trình biến đổi?
Trong quá trình thực
hiện thí nghiệm 2, một bạn học sinh nhận thấy màu sắc của dung dịch có sự thay
đổi: xanh lam → xanh lục → vàng.
Sự xuất hiện màu xanh
lục trong quá trình thí nghiệm là do sự pha trộn giữa dung dịch có
màu xanh lam và dung dịch có màu vàng. Khi hai màu này kết hợp, chúng tạo
thành màu xanh lục, là một màu trung gian trên thang màu sắc.
Đáp án: D. Do
dung dịch chứa đồng thời hai phức chất [Cu(OH2)6]2+
và [CuCl4]2–.