Câu 1 [308581]: Bằng phương pháp hóa học, thuốc thử dùng để phân biệt ba dung dịch: methylamine, aniline, axit acetic là
A, phenolphthalein.
B, sodium hydroxide.
C, sodium chloride.
D, quỳ tím.
Hiện tượng:
- Methylamine làm quỳ tím hóa xanh
- Aniline không làm quỳ tím đổi màu
- Acetic acid làm quỳ tím hóa đỏ Đáp án: D
- Methylamine làm quỳ tím hóa xanh
- Aniline không làm quỳ tím đổi màu
- Acetic acid làm quỳ tím hóa đỏ Đáp án: D
Câu 2 [308579]: Cho các dung dịch (có cùng nồng độ 0,001M) chứa các chất X, Y, Z, T ngẫu nhiên như sau: CH3NH2, NH3, C6H5NH2 (aniline) và NaOH. Kết quả đo pH của các dung dịch được ghi ở bảng dưới đây:
Kết luận nào sau đây là đúng?

A, Y là NaOH.
B, X là CH3NH2
C, Z là NH3.
D, T là C6H5NH2.
- X là NaOH vì đây là một base mạnh, có pH lớn nhất.
- C6H5NH2 có vòng benzene đính vào nguyên tử N nên có tính base yếu nhất → T là C6H5NH2
- CH3NH2 là amine no, mạch hở nên có tính base mạnh hơn NH3 do gốc alkyl có tác dụng làm tăng cường tính base (gốc đâye electron) → Y là NH3, Z là CH3NH2 Đáp án: D
- C6H5NH2 có vòng benzene đính vào nguyên tử N nên có tính base yếu nhất → T là C6H5NH2
- CH3NH2 là amine no, mạch hở nên có tính base mạnh hơn NH3 do gốc alkyl có tác dụng làm tăng cường tính base (gốc đâye electron) → Y là NH3, Z là CH3NH2 Đáp án: D
Câu 3 [308591]: Cho vài giọt chất lỏng X tinh khiết vào ống nghiệm có sẵn 2 ml nước, lắc đều sau đó để yên một thời gian thấy xuất hiện chất lỏng phân thành hai lớp. Cho 1,0 ml dung dịch HCl vào và lắc mạnh thì thu được một dung dịch đồng nhất. Cho tiếp vài ml dung dịch NaOH vào lắc, sau đó để yên lại thấy xuất hiện chất lỏng phân thành hai lớp. X là
A, acetaldehyde.
B, aniline.
C, benzene.
D, phenol lỏng.
X là chất không tan trong nước, không phản ứng với NaOH và có phản ứng với HCl tạo muối tan
Acetaldehyde,Benzene và phenol lỏng đều không phản ứng với HCl → Loại
→ X là alinine
Phương trình phản ứng:
Acetaldehyde,Benzene và phenol lỏng đều không phản ứng với HCl → Loại
→ X là alinine
Phương trình phản ứng:
C6H5NH2 + HCl → C6H5NH3Cl
Đáp án: B
Câu 4 [1009888]: Mùi tanh của cá là hỗn hợp các amine và một số tạp chất khác. Để khử mùi tanh của cá trước khi chế biến thực phẩm, nên áp dụng cách nào sau đây?
A, Ngâm cá trong nước để amine tan vào nước.
B, Rửa cá bằng giấm ăn.
C, Rửa cá bằng dung dịch soda.
D, Rửa cá bằng dung dịch nước muối.
Phân tích các đáp án:
❌A. Ngâm cá trong nước để amine tan vào nước
→ Không hiệu quả vì amine tan ít trong nước, không khử mùi hiệu quả.
✔️B. Rửa cá bằng giấm ăn
→ ĐÚNG. Giấm ăn chứa acetic acid, sẽ phản ứng với amine tạo muối amonia, chất này không bay hơi, không có mùi → khử mùi hiệu quả.
❌C. Rửa cá bằng dung dịch soda (Na2CO3)
→ Sai. Soda là base yếu → làm cho amine không bị trung hòa mà có thể còn bị giải phóng thêm (vì tạo môi trường kiềm) → mùi tanh nặng hơn.
❌D. Rửa cá bằng dung dịch nước muối
→ Nước muối chỉ có tác dụng hạn chế vi khuẩn, không phản ứng với amine → không khử mùi hiệu quả.
⟹ Chọn đáp án B Đáp án: B
❌A. Ngâm cá trong nước để amine tan vào nước
→ Không hiệu quả vì amine tan ít trong nước, không khử mùi hiệu quả.
✔️B. Rửa cá bằng giấm ăn
→ ĐÚNG. Giấm ăn chứa acetic acid, sẽ phản ứng với amine tạo muối amonia, chất này không bay hơi, không có mùi → khử mùi hiệu quả.
❌C. Rửa cá bằng dung dịch soda (Na2CO3)
→ Sai. Soda là base yếu → làm cho amine không bị trung hòa mà có thể còn bị giải phóng thêm (vì tạo môi trường kiềm) → mùi tanh nặng hơn.
❌D. Rửa cá bằng dung dịch nước muối
→ Nước muối chỉ có tác dụng hạn chế vi khuẩn, không phản ứng với amine → không khử mùi hiệu quả.
⟹ Chọn đáp án B Đáp án: B
Câu 5 [308592]: Có 3 dung dịch glucose, fructose, aniline đựng riêng biệt trong 3 lọ mất nhãn. Thuốc thử có thể dùng để phân biệt 3 dung dịch trên là
A, dung dịch NaOH.
B, dung dịch phenolphthalein.
C, nước bromine.
D, dung dịch AgNO3 trong NH3.
Thuốc thử có thể dùng để phân biệt 3 dung dịch trên là nước bromine:
+ Làm mất màu nước bromine là glucose.
+ Có kết tủa trắng là aniline
+ Không hiện tượng gì là fructose Đáp án: C
+ Làm mất màu nước bromine là glucose.
+ Có kết tủa trắng là aniline
+ Không hiện tượng gì là fructose Đáp án: C
Câu 6 [1009889]: Thuốc thử dùng để phân biệt ba chất lỏng: C2H5OH, CH3COOH, CH3NH2 đựng trong ba lọ riêng biệt là
A, quỳ tím.
B, kim loại Na.
C, dung dịch Br2.
D, dung dịch NaOH.
C2H5OH – Alcohol, không làm đổi màu quỳ tím
CH3COOH – Carboxylic acid, có tính acid yếu, làm quỳ tím hóa đỏ.
CH3NH2 – Amine, có tính base, làm quỳ tím hóa xanh.
⟹ Chọn đáp án A Đáp án: A
CH3COOH – Carboxylic acid, có tính acid yếu, làm quỳ tím hóa đỏ.
CH3NH2 – Amine, có tính base, làm quỳ tím hóa xanh.
⟹ Chọn đáp án A Đáp án: A
Câu 7 [308593]: Khi cho vài giọt dung dịch methylamine vào dung dịch FeCl3, hiện tượng quan sát được là
A, dung dịch chuyển màu xanh.
B, có kết tủa nâu đỏ.
C, có kết tủa trắng.
D, dung dịch chuyển màu tím.
Vì trong nước, methylamine có tính base:

do đó, FeCl3 + 3OH- → Fe(OH)3↓ + 3Cl- (kết tủa Fe(OH)3 có màu nâu đỏ)
⇒ Chọn đáp án B. Đáp án: B

do đó, FeCl3 + 3OH- → Fe(OH)3↓ + 3Cl- (kết tủa Fe(OH)3 có màu nâu đỏ)
⇒ Chọn đáp án B. Đáp án: B
Câu 8 [308598]: Khi một hợp chất hữu cơ được xử lý bằng sodium nitrite và hydrochloric acid trong đá lạnh, khí nitrogen thoát ra rất nhiều. Hợp chất hữu cơ đó là?
A, Hợp chất nitro.
B, Amine béo bậc một.
C, Amine béo bậc hai.
D, Amine thơm bậc một.
Môi trường xử lí chất hữu là sodium nitrite và hydrochloric acid trong đá lạnh, lúc này sinh ra nitrous acid
Phản ứng xảy ra:
Phản ứng xảy ra:
NaNO2 + HCl → NaCl + HNO2
Vậy chất hữu cơ phản ứng với nitrous acid mà thấy khí nitrogen thoát ra nhiều là amine béo bậc một.
Đáp án: B
Câu 9 [1009891]: Phản ứng nào dưới đây không thể hiện tính base của amine ?
A, 

B, 

C, 

D, 

Phân tích các đáp án:
✔️A. Amine nhận H+ từ ion amoni (từ chất khác) → tạo muối amonia → có tính base.
✔️B. Đây là phản ứng của amine với acid HCl, tạo muối amonia → cũng thể hiện tính base.
✔️C. Amine làm môi trường kiềm hơn, kết tủa Fe(OH)3 và tạo muối amonia → thể hiện tính base.
❌D. Là phản ứng đặc trưng của amin bậc I, không thể hiện tính base mà là phản ứng thế, phân hủy → không liên quan đến khả năng nhận H+.
⟹ Chọn đáp án D Đáp án: D
✔️A. Amine nhận H+ từ ion amoni (từ chất khác) → tạo muối amonia → có tính base.
✔️B. Đây là phản ứng của amine với acid HCl, tạo muối amonia → cũng thể hiện tính base.
✔️C. Amine làm môi trường kiềm hơn, kết tủa Fe(OH)3 và tạo muối amonia → thể hiện tính base.
❌D. Là phản ứng đặc trưng của amin bậc I, không thể hiện tính base mà là phản ứng thế, phân hủy → không liên quan đến khả năng nhận H+.
⟹ Chọn đáp án D Đáp án: D
Câu 10 [308607]: Ảnh hưởng của nhóm amine (NH2) đến gốc phenyl (C6H5) trong phân tử aniline thể hiện qua phản ứng giữa aniline với
A, hydrochloric acid.
B, nước.
C, nước bromine.
D, acetic acid.
Theo quy tắc thế vòng benzene, nhóm thế NH2 là nhóm đẩy electron, tăng cường khả năng thế ở vòng benzene và định hướng thế ở các vị trí ortho (o-) và para (p-).
→ Phản ứng của aniline với dung dịch nước bromine xảy ra dễ dàng ở điều kiện thường, thế cả 3 nguyên tử H ở vị trí ortho và para trong vòng benzene.
⟹ Chọn đáp án C Đáp án: C
→ Phản ứng của aniline với dung dịch nước bromine xảy ra dễ dàng ở điều kiện thường, thế cả 3 nguyên tử H ở vị trí ortho và para trong vòng benzene.
⟹ Chọn đáp án C Đáp án: C
Câu 11 [308609]: Ảnh hưởng của gốc C6H5 đến nhóm NH2 trong phân tử aniline thể hiện qua phản ứng giữa aniline với chất nào sau đây?
A, Quỳ tím (không đổi màu).
B, Dung dịch HCl.
C, Nước bromine.
D, Dung dịch H2SO4.
Gốc C6H5 hút electron làm cho mật độ electron trên nguyên tử N giảm → Tính base giảm nên quỳ tím không đổi màu
Đáp án: A
Câu 12 [308612]: Phản ứng nào sau đây không có kết tủa xuất hiện?
A, Cho ethylene vào dung dịch thuốc tím.
B, Cho bromine vào dung dịch aniline.
C, Cho phenol vào dung dịch NaOH.
D, Cho acethylene vào dung dịch AgNO3/NH3 dư.
Các phương trình phản ứng:
A. 3C2H4 + 2KMnO4 + 4H2O → 3C2H4(OH)2 + 2MnO2↓ + 2KOH
B. C6H5NH2 + 3Br2 → C6H3Br3NH2↓ + 3HBr
C. C6H5OH + NaOH → C6H5ONa + H2O
D. CH≡CH + 2AgNO3 + 2NH3 → Ag–C≡C-Ag ↓ + 2NH4NO3
⇒ Phản ứng giữa phenol với NaOH không tạo kết tủa. Đáp án: C
A. 3C2H4 + 2KMnO4 + 4H2O → 3C2H4(OH)2 + 2MnO2↓ + 2KOH
B. C6H5NH2 + 3Br2 → C6H3Br3NH2↓ + 3HBr
C. C6H5OH + NaOH → C6H5ONa + H2O
D. CH≡CH + 2AgNO3 + 2NH3 → Ag–C≡C-Ag ↓ + 2NH4NO3
⇒ Phản ứng giữa phenol với NaOH không tạo kết tủa. Đáp án: C
Câu 13 [308613]: Cặp chất nào sau đây không phản ứng được với nhau?
A, Aniline và nước Br2.
B, Glucose và dung dịch AgNO3 trong NH3, to.
C, Methyl acrylate và H2 (xúc tác Ni, to).
D, Amylose và Cu(OH)2.
Amylose là một polimer mạch dài, cấu trúc dạng xoắn, có nhiều nhóm -OH kề nhau. Các nhóm này bị che lấp do phân bố không gian của chuỗi, nên amylose không thể hiện tính chất của polyol là hoà tan Cu(OH)2 Đáp án: D
Câu 14 [308616]: Kết quả thí nghiệm các dung dịch X, Y, Z, T với thuốc thử được ghi ở bảng:

Các dung dịch X, Y, Z, T lần lượt là

Các dung dịch X, Y, Z, T lần lượt là
A, hồ tinh bột, aniline, methyl formate, acetic acid.
B, aniline, hồ tinh bột, acetic acid, methyl formate.
C, hồ tinh bột, aniline, acetic acid, methyl formate.
D, hồ tinh bột, methyl formate, acetic acid, aniline.

⟹ Chọn đáp án C
Câu 15 [308617]: Tiến hành thí nghiệm với các dung dịch X, Y, Z, T. Kết quả được ghi ở bảng:

Các chất X, Y, Z, T lần lượt là

Các chất X, Y, Z, T lần lượt là
A, Saccharose, glucose, methyl formate, aniline.
B, Glucose, saccharose, methyl formate, aniline.
C, Glucose, methyl formate, saccharose, aniline.
D, Glucose, saccharose, aniline, methyl formate.
HD:
- X vừa có phản ứng tráng bạc, vừa tạo dung dịch màu xanh lam với Cu(OH)2 → X là Glucose
→ Loại A
- Z có phản ứng tráng bạc với AgNO3/NH3 → Z là Methyl forrmate
→ Loại C
- T có phản ứng với dung dịch nước bromine tạo kết tủa trắng → T là Aniline
→ Loại D
- Y cũng tạo dung dịch màu xanh lam với Cu(OH)2 → X là Saccharose
⇒ Chọn đáp án B Đáp án: B
- X vừa có phản ứng tráng bạc, vừa tạo dung dịch màu xanh lam với Cu(OH)2 → X là Glucose
→ Loại A
- Z có phản ứng tráng bạc với AgNO3/NH3 → Z là Methyl forrmate
→ Loại C
- T có phản ứng với dung dịch nước bromine tạo kết tủa trắng → T là Aniline
→ Loại D
- Y cũng tạo dung dịch màu xanh lam với Cu(OH)2 → X là Saccharose
⇒ Chọn đáp án B Đáp án: B
Câu 16 [704029]: Histidine là một trong 20 loại amino acid có trong protein. Phân tử histidine được proton hóa hoàn toàn được hiển thị ở đây, trong đó các con số biểu thị Ka của các nhóm tương ứng:

Biết rằng ion H+ đầu tiên sẽ tách ra khỏi nhóm acid mạnh nhất, sau đó là nhóm acid mạnh tiếp theo,… Sau khi tách ion H+ của nhóm nào thì tạo ra được phân tử trung hòa về điện?

Biết rằng ion H+ đầu tiên sẽ tách ra khỏi nhóm acid mạnh nhất, sau đó là nhóm acid mạnh tiếp theo,… Sau khi tách ion H+ của nhóm nào thì tạo ra được phân tử trung hòa về điện?
A, Nhóm ❶.
B, Nhóm ❷.
C, Nhóm ❸.
D, Không tách H+.
Ka càng lớn tính acid càng mạnh → thứ tự tách H+ là 3 > 2 > 1.
Quá trình proton hóa hoàn toàn phân tử histidine được diễn ra như sau:

Từ đó thấy được sau khi tách ion H+ của nhóm số 2 thì tạo ra được phân tử trung hòa về điện.
⇒ Chọn đáp án B Đáp án: B
Quá trình proton hóa hoàn toàn phân tử histidine được diễn ra như sau:

Từ đó thấy được sau khi tách ion H+ của nhóm số 2 thì tạo ra được phân tử trung hòa về điện.
⇒ Chọn đáp án B Đáp án: B
Câu 17 [308723]: Cho sơ đồ phản ứng: 
Trong sơ đồ trên, mỗi mũi tên là một phương trình phản ứng, Y là chất nào sau đây?

Trong sơ đồ trên, mỗi mũi tên là một phương trình phản ứng, Y là chất nào sau đây?
A, NaOOCCH2CH(NH3Cl)COONa.
B, NaOOCCH2CH2CH(NH2)COONa.
C, NaCOOCCH2CH2CH(NH3Cl)COONa.
D, NaOOCCH2CH(NH2)COONa.
Glutamic acid: HOOC[CH2]2CH(NH2)COOH
- Phản ứng Glutamic acid với HCl:
- Phản ứng Glutamic acid với HCl:
HOOCCH2CH2CH(NH2)COOH + HCl → HOOCCH2CH2CH(NH3Cl)COOH (X)
- Phản ứng muối ammonium với NaOH:
Đáp án: B HOOCCH2CH2CH(NH3Cl)COOH + 3NaOH → NaOOCCH2CH2CH(NH2)COONa + NaCl + H2O
→ Y là NaOOCCH2CH2CH(NH2)COONa
Câu 18 [308729]: Một hỗn hợp của ba chất sau đây được đưa vào môi trường điện di:

Kết quả điện di nào sau đây có thể biểu thị sự phân tách của ba hợp chất?

Kết quả điện di nào sau đây có thể biểu thị sự phân tách của ba hợp chất?
A, 

B, 

C, 

D, 

- Glycine có tổng điện tích bằng 0 do tồn tại ở dạng ion lưỡng cực nên gần như không bị ảnh hưởng bởi điện trường, hầu như không di chuyển.
- Glutamic acid tồn tại ở dạng anion do có tổng điện tích bằng -1 và bị hút về cực dương.
- Lysine tồn tại ở dạng cation do có tổng điện tích bằng +1 và bị hút về cực âm.
⇒ Chọn đáp án D Đáp án: D
- Glutamic acid tồn tại ở dạng anion do có tổng điện tích bằng -1 và bị hút về cực dương.
- Lysine tồn tại ở dạng cation do có tổng điện tích bằng +1 và bị hút về cực âm.
⇒ Chọn đáp án D Đáp án: D
Câu 19 [705575]: Kết quả phân tích nguyên tố của một α-amino acid X như sau: % C = 46,60%; % H = 8,74%; % N = 13,59% (về khối lượng); còn lại là oxygen. Bằng phổ khối lượng (MS), xác định được phân tử khối của X bằng 103. Tính chất điện di của amino acid X được nghiên cứu và amino acid X được đặt ở vị trí trung tâm của điện trường.

Cho các phát biểu sau:
(a) Công thức phân tử của X là C4H9O2N.
(b) Có 2 đồng phân cấu tạo ứng với công thức phân tử của X là α-amino acid.
(c) Amino acid X thể hiện tính base trong môi trường dung dịch CH3COOH.
(d) pH được điều chỉnh để X tồn tại dạng ion lưỡng cực, vị trí (3) phù hợp với sự di chuyển của X trong điện trường.
Các phát biểu đúng là

Cho các phát biểu sau:
(a) Công thức phân tử của X là C4H9O2N.
(b) Có 2 đồng phân cấu tạo ứng với công thức phân tử của X là α-amino acid.
(c) Amino acid X thể hiện tính base trong môi trường dung dịch CH3COOH.
(d) pH được điều chỉnh để X tồn tại dạng ion lưỡng cực, vị trí (3) phù hợp với sự di chuyển của X trong điện trường.
Các phát biểu đúng là
A, (a), (b).
B, (a), (c).
C, (a), (b), (c).
D, (a), (c), (d).
Gọi công thức phân tử của X là CxHyOzNt
Ta có :
Công thức của X là C4H9O2N.
Phân tích các đáp án:
✔️(a). Đúng. Công thức của X là C4H9O2N.
✔️(b). Đúng. X có 2 đồng phân cấu tạo α-amino acid

✔️(c). Đúng. Amino acid có tính lưỡng tính, khi trong môi trường có CH3COOH ( acid ) thì X đóng vai trò base.
❌(d). pH được điều chỉnh để X tồn tại dạng ion lưỡng cực nên không có sự di chuyển.
Các đáp án đúng: a,b,c
Chọn đáp án C Đáp án: C
Ta có :

Công thức của X là C4H9O2N.
Phân tích các đáp án:
✔️(a). Đúng. Công thức của X là C4H9O2N.
✔️(b). Đúng. X có 2 đồng phân cấu tạo α-amino acid

✔️(c). Đúng. Amino acid có tính lưỡng tính, khi trong môi trường có CH3COOH ( acid ) thì X đóng vai trò base.
❌(d). pH được điều chỉnh để X tồn tại dạng ion lưỡng cực nên không có sự di chuyển.
Các đáp án đúng: a,b,c
Chọn đáp án C Đáp án: C
Câu 20 [704301]: Dung dịch X gồm ba amino acid có cấu tạo như dưới đây:

Dung dịch X được thiết lập ở pH = 5,91 và thấm lên một tờ giấy, rồi nối tờ giấy với hai điện cực của nguồn điện một chiều thu được kết quả như sau.

Cho các nhận định sau:
(a) Ở pH = 5,91, T gần như không di chuyển trong điện trường.
(b) Tại môi trường có pH = 5,91, tổng điện tích của U là –1.
(c) Do có phân tử khối lớn nên tại pH = 5,91, chất ở vị trí B gần như không di chuyểntrong điện trường.
(d) Các chất ở các vị trí A, B, C, lần lượt là V, T, U.
Số nhận định đúng là

Dung dịch X được thiết lập ở pH = 5,91 và thấm lên một tờ giấy, rồi nối tờ giấy với hai điện cực của nguồn điện một chiều thu được kết quả như sau.

Cho các nhận định sau:
(a) Ở pH = 5,91, T gần như không di chuyển trong điện trường.
(b) Tại môi trường có pH = 5,91, tổng điện tích của U là –1.
(c) Do có phân tử khối lớn nên tại pH = 5,91, chất ở vị trí B gần như không di chuyểntrong điện trường.
(d) Các chất ở các vị trí A, B, C, lần lượt là V, T, U.
Số nhận định đúng là
A, 1.
B, 2.
C, 3.
D, 4.
Tại pH = 5,91 dạng tồn tại của amino acid trong dung dịch như sau::

Sử dụng phương pháp điện di trong dung dịch tại pH = 5,91
- Tại vị trí B là T không mang điện nên T gần như không di chuyển trong điện trường.
- A là U có dạng anion nên sẽ di chuyển về phía cực dương.
- C là V có dạng cation nên sẽ di chuyển về phía cực âm.
✔️ (a) Đúng. Ở pH = 5,91, T gần như không di chuyển trong điện trường.
✔️(b) Đúng. Tại pH = 5,91 tổng điện tích của U là -1
❌ (c) Sai. Tại vị trí B là T không mang điện nên T gần như không di chuyển trong điện trường.
❌ (d) Sai. Các chất ở các vị trí A, B, C, lần lượt là U, T, V.
⇒ Chọn đáp án B. 2. Đáp án: B

Sử dụng phương pháp điện di trong dung dịch tại pH = 5,91
- Tại vị trí B là T không mang điện nên T gần như không di chuyển trong điện trường.
- A là U có dạng anion nên sẽ di chuyển về phía cực dương.
- C là V có dạng cation nên sẽ di chuyển về phía cực âm.
✔️ (a) Đúng. Ở pH = 5,91, T gần như không di chuyển trong điện trường.
✔️(b) Đúng. Tại pH = 5,91 tổng điện tích của U là -1
❌ (c) Sai. Tại vị trí B là T không mang điện nên T gần như không di chuyển trong điện trường.
❌ (d) Sai. Các chất ở các vị trí A, B, C, lần lượt là U, T, V.
⇒ Chọn đáp án B. 2. Đáp án: B
Câu 21 [703969]: Điểm đẳng điện pI là giá trị pH mà tại đó tổng điện tích của một phân tử amino acid bằng 0. Điểm đẳng điện pI được xác định bởi công thức:

Cho công thức cấu tạo của amino acid phenylalanine và các giá trị pKa1, pKa2 như sau:

Phát biểu nào sau đây là không đúng khi nói về amino acid phenylalanine?

Cho công thức cấu tạo của amino acid phenylalanine và các giá trị pKa1, pKa2 như sau:

Phát biểu nào sau đây là không đúng khi nói về amino acid phenylalanine?
A, Phenylalanie là một α-amino acid.
B, Tại pH = 5,91, phenylalanine tồn tại chủ yếu ở dạng trung hòa điện.
C, Ở pH = 10,5, nhóm NH2 của phenylalanine bị chuyển hóa thành nhóm NH3+.
D, Do có nhóm carboxylic nên phenylalanine có thể tác dụng với NaOH.
Phenylalanie có giá trị điểm đẳng điện là:

Phân tích các phát biểu:
✔️ A. Đúng. Phenylalanie là một α-amino acid do nhóm amino được gắn ở carbon số 2.
✔️ B. Đúng. Tại pH = 5,91 = pI thì phenylalanine tồn tại chủ yếu ở dạng trung hòa điện do tổng điện tích bằng 0.
❌ C. Sai. Ở pH = 10,5 > pI = 5,91 thì phenylalanine tồn tại chủ yếu ở dạng anion do nhóm COOH chuyển thành COO-.
✔️ D. Đúng. Amino acid có nhóm NH2 và nhóm COOH là chất lưỡng tính nên tác dụng được với dung dịch acid và base nên tác dụng được với NaOH.
⇒ Chọn đáp án C Đáp án: C

Phân tích các phát biểu:
✔️ A. Đúng. Phenylalanie là một α-amino acid do nhóm amino được gắn ở carbon số 2.
✔️ B. Đúng. Tại pH = 5,91 = pI thì phenylalanine tồn tại chủ yếu ở dạng trung hòa điện do tổng điện tích bằng 0.
❌ C. Sai. Ở pH = 10,5 > pI = 5,91 thì phenylalanine tồn tại chủ yếu ở dạng anion do nhóm COOH chuyển thành COO-.
✔️ D. Đúng. Amino acid có nhóm NH2 và nhóm COOH là chất lưỡng tính nên tác dụng được với dung dịch acid và base nên tác dụng được với NaOH.
⇒ Chọn đáp án C Đáp án: C
Câu 22 [1009904]: Amino acid X có một nhóm amino và một nhóm carboxyl trong phân tử. Chất Y là ester của amino acid X với alcohol đơn chức Z. Biết phân tử khối của Y là 89. Công thức cấu tạo của X và Y lần lượt là
A, H2N[CH2]2COOH, H2N[CH2]2COOCH3.
B, H2N[CH2]2COOH, H2N[CH2]2COOC2H5.
C, H2NCH2COOH, H2NCH2COOC2H5.
D, H2NCH2COOH, H2NCH2COOCH3.
Amino acid X có một nhóm amino và một nhóm carboxyl trong phân tử
→ Công thức tổng quát của X là H2N-R-COOH.
Chất Y là ester của amino acid X với alcohol đơn chức Z. Biết phân tử khối của Y là 89.
Mà amino acid nhỏ nhất có phân tử khối là 75 amu, nên amino acid X là glycine và alcohol đơn chức Z là methyl alcohol
=> Công thức cấu tạo của X và Y lần lượt là: (X) H2NCH2COOH; (Y) H2NCH2COOCH3.
⟹ Chọn đáp án D Đáp án: D
→ Công thức tổng quát của X là H2N-R-COOH.
Chất Y là ester của amino acid X với alcohol đơn chức Z. Biết phân tử khối của Y là 89.
Mà amino acid nhỏ nhất có phân tử khối là 75 amu, nên amino acid X là glycine và alcohol đơn chức Z là methyl alcohol
=> Công thức cấu tạo của X và Y lần lượt là: (X) H2NCH2COOH; (Y) H2NCH2COOCH3.
⟹ Chọn đáp án D Đáp án: D
Câu 23 [308786]: Kết quả thí nghiệm của các chất X, Y, Z với các thuốc thử được ghi ở bảng sau:

Các chất X, Y, Z lần lượt là:

Các chất X, Y, Z lần lượt là:
A, Gly-Ala-Gly, ethyl formate, aniline.
B, Gly-Ala-Gly, aniline, ethyl formate.
C, Ethyl formate, Gly-Ala-Gly, aniline.
D, Aniline, ethyl formate, Gly-Ala-Gly.
X + Cu(OH)2 → Tạo hợp chất màu tím
➡ Hiện tượng này đặc trưng cho liên kết peptide (–CO–NH–) trong protein hoặc dipeptide, tripeptide....
Vậy X là Gly–Ala–Gly (tripeptide)
Y + [Ag(NH3)2]+ → Tạo kết tủa bạc (Ag)
➡ Phản ứng tráng bạc → nhận biết nhóm –CHO (aldehyde) hoặc ester HCOOR
Vậy Y là ethyl formate (HCOOC2H5) – ester có gốc HCOO– cho phản ứng tráng bạc
Z + Nước bromine → Tạo kết tủa trắng
➡ Phản ứng nhận biết vòng benzene có nhóm –NH2 (aniline), tạo kết tủa trắng 2,4,6-tribromaniline
Vậy Z là aniline.
⟹ Chọn đáp án A Đáp án: A
➡ Hiện tượng này đặc trưng cho liên kết peptide (–CO–NH–) trong protein hoặc dipeptide, tripeptide....
Vậy X là Gly–Ala–Gly (tripeptide)
Y + [Ag(NH3)2]+ → Tạo kết tủa bạc (Ag)
➡ Phản ứng tráng bạc → nhận biết nhóm –CHO (aldehyde) hoặc ester HCOOR
Vậy Y là ethyl formate (HCOOC2H5) – ester có gốc HCOO– cho phản ứng tráng bạc
Z + Nước bromine → Tạo kết tủa trắng
➡ Phản ứng nhận biết vòng benzene có nhóm –NH2 (aniline), tạo kết tủa trắng 2,4,6-tribromaniline
Vậy Z là aniline.
⟹ Chọn đáp án A Đáp án: A
Câu 24 [308793]: Thủy phân peptide:

Chất nào dưới đây có thể được tạo thành trong hỗn hợp sản phẩm sau phản ứng?

Chất nào dưới đây có thể được tạo thành trong hỗn hợp sản phẩm sau phản ứng?
A, Ala-Glu.
B, Glu-Ala.
C, Ala-Gly.
D, Glu-Gly.

Peptide có tên: Gly-Ala-Glu khi thủy phân có thể thu được Gly, Ala, Glu, Gly-Ala, Ala-Glu.
⟹ Chọn đáp án A Đáp án: A
Câu 25 [308797]: Thủy phân hoàn toàn 1 mol pentapeptide X, thu được 2 mol glycine (Gly), 1 mol alanine (Ala), 1 mol valine (Val) và 1 mol phenylalanine (Phe). Thủy phân không hoàn toàn X thu được dipeptide Val- Phe và tripeptide Gly-Ala-Val nhưng không thu được dipeptide Gly-Gly. Chất X có công thức là
A, Gly-Phe-Gly-Ala-Val.
B, Gly-Ala-Val-Val-Phe.
C, Gly-Ala-Val-Phe-Gly.
D, Val-Phe-Gly-Ala-Gly.
Vì X chỉ chứa 1 Val nên Val trong các peptide tạo thành phải trùng nhau ⟹ X chứa Gly-Ala-Val-Phe.
X không chứa Gly-Gly nên X là Gly-Ala-Val-Phe-Gly. Đáp án: C
X không chứa Gly-Gly nên X là Gly-Ala-Val-Phe-Gly. Đáp án: C
Câu 26 [308798]: Phát biểu nào sau đây là sai?
A, Tripeptide Gly-Ala-Gly có phản ứng màu biuret với Cu(OH)2.
B, Trong phân tử dipeptide mạch hở có hai liên kết peptide.
C, Protein đơn giản được tạo thành từ các gốc α-amino acid.
D, Tất cả các peptide đều có khả năng tham gia phản ứng thủy phân.
Trong phân tử dipeptide mạch hở có 1 liên kết peptide. Đáp án: B
Câu 27 [308799]: Phát biểu nào sau đây là sai?
A, Lòng trắng trứng có phản ứng màu biuret với Cu(OH)2.
B, Liên kết của nhóm CO với nhóm NH giữa hai đơn vị α-amino acid được gọi là liên kết peptide.
C, Thủy phân hoàn toàn protein đơn giản thu được các α-amino acid.
D, Pentapeptide: Tyr-Ala-Gly-Val-Lys (mạch hở) có 5 liên kết peptide.
Pentapeptide: Tyr-Ala-Gly-Val-Lys (mạch hở) có 4 liên kết peptide. Đáp án: D
Câu 28 [308800]: Phát biểu nào sau đây sai?
A, Thủy phân hoàn toàn protein đơn giản thu được các α-amino acid.
B, Dung dịch protein bị đông tụ khi đun nóng.
C, Các peptide đều có phản ứng màu biuret trong môi trường kiềm.
D, Các peptide không bền trong môi trường acid hoặc base.
Phân tích các phát biểu:
✔️ A. Đúng.Các protein đơn giản được tạo thành từ các α-amino axit.
✔️ B. Đúng. Dung dịch protein bị đông tụ khi đun nóng như gạch cua, lòng trắng trứng.
❌ C. Sai. Dipeptide không có phản ứng màu biure.
✔️ D. Đúng. Liên kết peptide CO–NH kém bền trong cả môi trường acid, base. Đáp án: C
✔️ A. Đúng.Các protein đơn giản được tạo thành từ các α-amino axit.
✔️ B. Đúng. Dung dịch protein bị đông tụ khi đun nóng như gạch cua, lòng trắng trứng.
❌ C. Sai. Dipeptide không có phản ứng màu biure.
✔️ D. Đúng. Liên kết peptide CO–NH kém bền trong cả môi trường acid, base. Đáp án: C
Câu 29 [308802]: Phát biểu nào sau đây không đúng?
A, Peptide mạch hở phân tử chứa hai liên kết peptide CO–NH được gọi là dipeptide.
B, Các peptide thường là chất rắn, nhiệt độ nóng chảy cao và dễ tan trong nước.
C, Peptide mạch hở phân tử chứa hai gốc α-amino acid được gọi là dipeptide.
D, Các peptide mà phân tử chứa từ 11 đến 50 gốc α-amino acid được gọi là polypeptide.
Peptide có hai liên kết peptide – CO– NH– có 3 mắt xích → Gọi là tripeptide Đáp án: A
Câu 30 [308791]: Thủy phân hoàn toàn a mol Gly-Ala-Val-Glu trong dung dịch NaOH dư, có b mol NaOH phản ứng. Tỉ lệ a : b tương ứng là
A, 1 : 3.
B, 1 : 5.
C, 1 : 4.
D, 1 : 2.
Gly−Ala−Val−Glu + 5 NaOH → Gly−Na + Ala−Na + Val−Na + Glu−(Na)2 + 2H2O
⇒ tỉ lệ a : b = 1 : 5
(Gốc glutamic acid còn chứa thêm một nhóm carboxyl tự do nên tỉ lệ mol khi tác dụng với NaOH tăng 1 đơn vị)
⟹ Chọn đáp án B Đáp án: B
⇒ tỉ lệ a : b = 1 : 5
(Gốc glutamic acid còn chứa thêm một nhóm carboxyl tự do nên tỉ lệ mol khi tác dụng với NaOH tăng 1 đơn vị)
⟹ Chọn đáp án B Đáp án: B
Câu 31 [309417]: Kết quả thí nghiệm của các dung dịch X, Y, Z, T với thuốc thử được ghi ở bảng sau:

Các dung dịch X, Y, Z, T lần lượt là

Các dung dịch X, Y, Z, T lần lượt là
A, Ethylamine, hồ tinh bột, lòng trắng trứng, aniline.
B, Aniline, ethylamine, lòng trắng trứng, hồ tinh bột.
C, Ethylamine, hồ tinh bột, aniline, lòng trắng trứng.
D, Ethylamine, lòng trắng trứng, hồ tinh bột, aniline.
HD:
X làm quỳ tím chuyển màu xanh → Loại B do aniline không làm chuyển màu quỳ tím.
Y có phản ứng với thuốc thử I2 cho ra dung dịch màu xanh tím → Loại D.
Z có phản ứng với thuốc thử Cu(OH)2 cho ra dung dịch màu tím → Loại C
⇒ A thoả mãn Đáp án: A
X làm quỳ tím chuyển màu xanh → Loại B do aniline không làm chuyển màu quỳ tím.
Y có phản ứng với thuốc thử I2 cho ra dung dịch màu xanh tím → Loại D.
Z có phản ứng với thuốc thử Cu(OH)2 cho ra dung dịch màu tím → Loại C
⇒ A thoả mãn Đáp án: A
Câu 32 [706069]: Sự kết hợp giữa aspartic acid và phenylalanine tạo thành peptide, peptide này có thể được chuyển đổi thành một methyl ester gọi là aspartame.

Aspartame có vị ngọt và được sử dụng trong nước giải khát và thực phẩm không đường dành cho người bị tiểu đường. Thủy phân aspartame ban đầu tạo thành methanol. Sau một thời gian dài hơn, liên kết peptide bị phá vỡ để tạo thành các amino acid tự do. Không có amino acid nào trong số này có vị ngọt.
Cho các nhận định sau:
(a) Tổng số nguyên tử trong phân tử aspartame là 34.
(b) Tên thay thế của aspartic acid là 2-aminobutane-1,4-dioic.
(c) Thuỷ phân hoàn toàn aspartame trong môi trường acid, đun nóng thu được hỗn hợp 3 sản phẩm.
(d) Có thể sử dụng chất tạo ngọt aspartame để thay thế đường saccharose trong làm bánh.
(e) Số liên kết sigma trong phân tử aspartame là 43.
(f) Ở pH = 7, có thể tách riêng aspartic acid và phenylalanine bằng phương pháp điện di trong dòng điện một chiều.
Số phát biểu đúng là

Aspartame có vị ngọt và được sử dụng trong nước giải khát và thực phẩm không đường dành cho người bị tiểu đường. Thủy phân aspartame ban đầu tạo thành methanol. Sau một thời gian dài hơn, liên kết peptide bị phá vỡ để tạo thành các amino acid tự do. Không có amino acid nào trong số này có vị ngọt.
Cho các nhận định sau:
(a) Tổng số nguyên tử trong phân tử aspartame là 34.
(b) Tên thay thế của aspartic acid là 2-aminobutane-1,4-dioic.
(c) Thuỷ phân hoàn toàn aspartame trong môi trường acid, đun nóng thu được hỗn hợp 3 sản phẩm.
(d) Có thể sử dụng chất tạo ngọt aspartame để thay thế đường saccharose trong làm bánh.
(e) Số liên kết sigma trong phân tử aspartame là 43.
(f) Ở pH = 7, có thể tách riêng aspartic acid và phenylalanine bằng phương pháp điện di trong dòng điện một chiều.
Số phát biểu đúng là
A, 4.
B, 3.
C, 5.
D, 6.
Phân tích các phát biểu :
❌(a). Sai. Tổng số nguyên tử trong phân tử aspartame là :
12 C + 18 H + 5 O + 2 N = 39
✔️(b). Đúng. Aspartic acid có 4 nguyên tử carbon, 2 nhóm carboxyl (-COOH) và 1 nhóm amino (-NH2) ở vị trí carbon thứ 2.
✔️(c). Đúng. Thủy phân hoàn toàn aspartame trong môi trường acid, đun nóng thu được hỗn hợp 3 sản phẩm như sau:

❌(d). Sai. Aspartame không bền ở nhiệt độ cao. Khi đun nóng, nó bị phân hủy và mất vị ngọt. Do đó, không nên dùng aspartame để thay thế đường saccharose trong làm bánh.
❌(e). Sai. Số liên kết sigma trong phân tử aspartame là 39.
✔️(f) Đúng. Aspartic acid có 2 nhóm carboxyl, có tính acid mạnh hơn phenylalanine. Ở pH = 7, aspartic acid sẽ mang điện tích âm nhiều hơn phenylalanine. Do đó, khi điện di, aspartic acid sẽ di chuyển về cực dương nhanh hơn phenylalanine.
Có 3 phát biểu đúng là (b), (c), (f)
⟹ Chọn đáp án B Đáp án: B
❌(a). Sai. Tổng số nguyên tử trong phân tử aspartame là :
12 C + 18 H + 5 O + 2 N = 39
✔️(b). Đúng. Aspartic acid có 4 nguyên tử carbon, 2 nhóm carboxyl (-COOH) và 1 nhóm amino (-NH2) ở vị trí carbon thứ 2.
✔️(c). Đúng. Thủy phân hoàn toàn aspartame trong môi trường acid, đun nóng thu được hỗn hợp 3 sản phẩm như sau:

❌(d). Sai. Aspartame không bền ở nhiệt độ cao. Khi đun nóng, nó bị phân hủy và mất vị ngọt. Do đó, không nên dùng aspartame để thay thế đường saccharose trong làm bánh.
❌(e). Sai. Số liên kết sigma trong phân tử aspartame là 39.
✔️(f) Đúng. Aspartic acid có 2 nhóm carboxyl, có tính acid mạnh hơn phenylalanine. Ở pH = 7, aspartic acid sẽ mang điện tích âm nhiều hơn phenylalanine. Do đó, khi điện di, aspartic acid sẽ di chuyển về cực dương nhanh hơn phenylalanine.
Có 3 phát biểu đúng là (b), (c), (f)
⟹ Chọn đáp án B Đáp án: B
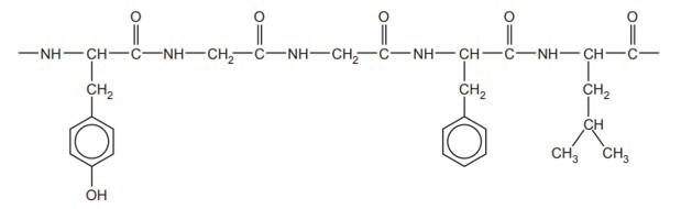
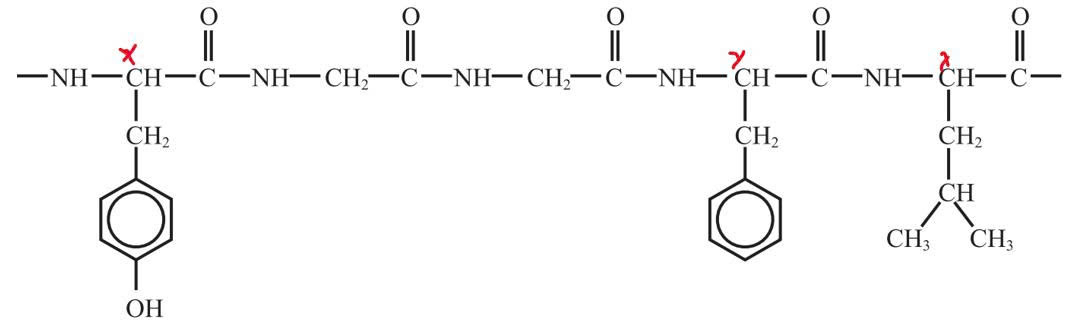
Câu 33 [1072799]: Cho 1 đoạn mạch của polypeptide X có cấu tạo như hình dưới:

Cho các nhận định sau:
(1) thuỷ phân X thu được 4 sản phẩm hữu cơ.
(2) đoạn mạch trên có chứa 2 phân tử glycine.
(3) X được tạo thành từ quá trình trùng ngưng.
(4) đoạn mạch trên có chứa 3 nguyên tử C bất đối.
Số phát biểu đúng là bao nhiêu?

Cho các nhận định sau:
(1) thuỷ phân X thu được 4 sản phẩm hữu cơ.
(2) đoạn mạch trên có chứa 2 phân tử glycine.
(3) X được tạo thành từ quá trình trùng ngưng.
(4) đoạn mạch trên có chứa 3 nguyên tử C bất đối.
Số phát biểu đúng là bao nhiêu?
A, 1.
B, 2.
C, 3.
D, 4.

Nhận định (2) – Đúng. Đoạn mạch trên có chứa 2 phân tử glycine.
Nhận định (3) – Đúng. Polypeptide (protein) được tạo thành từ các 𝛼-amino acid thông qua phản ứng trùng ngưng (phản ứng tạo liên kết peptide).
Nhận định (4) – Đúng. Đoạn mạch trên có chứa 3 nguyên tử C bất đối. (Carbon bất đối xứng là nguyên tử carbon liên kết với bốn nhóm hay nguyên tử khác nhau)

Đáp án đúng là D Đáp án: D
Câu 34 [308627]: Một amine khi xử lý bằng HNO2, sản phẩm thu được thấy xuất hiện khí N2. Khi methyl hóa hoàn toàn amine bằng CH3I tạo thành muối bậc bốn chứa 59,07% iodine. Amine X có số nguyên tử C là
Amine phản ứng với HNO2 thấy xuất hiện khí N2 ⇒ Amine bậc 1
CTPT của muối bậc 4 là R(CH3)3NI
Ta có: %I = (MI.100%) ÷ MR(CH3)3NI
⇔ 59,07% = (127.100%) ÷ MR(CH3)3NI
⇔ MR(CH3)3NI = 215
MR(CH3)3NI = MR + 14 + 15.3 + 127 = 215
→ MR = 29 → Amine có công thức: C2H5NH2 → Có 2 nguyên tử C
⇒ Điền đáp án: 2
CTPT của muối bậc 4 là R(CH3)3NI
Ta có: %I = (MI.100%) ÷ MR(CH3)3NI
⇔ 59,07% = (127.100%) ÷ MR(CH3)3NI
⇔ MR(CH3)3NI = 215
MR(CH3)3NI = MR + 14 + 15.3 + 127 = 215
→ MR = 29 → Amine có công thức: C2H5NH2 → Có 2 nguyên tử C
⇒ Điền đáp án: 2
Câu 35 [1009898]: Người ta điều chế aniline theo sơ đồ sau:
C6H6
C6H5NO2
C6H5NH2.
Biết hiệu suất giai đoạn tạo thành nitrobenzene đạt 60% và hiệu suất giai đoạn tạo thành aniline đạt 50%. Để điều chế được 18,6 kg aniline thì cần dùng tối thiểu bao nhiêu kg benzene?
C6H6
Biết hiệu suất giai đoạn tạo thành nitrobenzene đạt 60% và hiệu suất giai đoạn tạo thành aniline đạt 50%. Để điều chế được 18,6 kg aniline thì cần dùng tối thiểu bao nhiêu kg benzene?
Hiệu suất chung của cả quá trình là H = 60%.50% = 30%

➔ Điền đáp án: 52
➔ Điền đáp án: 52
Câu 36 [308816]: Tetrapeptide X có công thức Gly-Ala-Gly-Val. Thủy phân không hoàn toàn X, thu được hỗn hợp sản phẩm trong đó có chứa tổng số dipeptide và tripeptide là k. Giá trị lớn nhất của k là
Thủy phân không hoàn toàn Gly-Ala-Gly-Val, thu được hỗn hợp sản phẩm trong đó có chứa tổng số dipeptide và tripeptide như sau:
+) Dipeptide: Gly-Ala, Ala-Gly, Gly-Val.
+) Tripeptide: Gly-Ala-Gly, Ala-Gly-Val.
→ Tổng số 5 dipeptide và tripeptide có thể thu được.
⇒ Điền đáp án: 5
+) Dipeptide: Gly-Ala, Ala-Gly, Gly-Val.
+) Tripeptide: Gly-Ala-Gly, Ala-Gly-Val.
→ Tổng số 5 dipeptide và tripeptide có thể thu được.
⇒ Điền đáp án: 5
Câu 37 [308752]: Ester X được điều chế từ α-amino acid và ethyl alcohol. Tỉ khối hơi của X so với hydrogen là 51,5. Đun nóng 10,3 gam X trong 200ml dung dịch KOH 1,4M, sau đó cô cạn dung dịch thu được chất rắn Y. Cho Y vào dung dịch HCl dư, sau đó cô cạn thu được chất rắn G (quá trình cô cạn không xảy ra phản ứng). Vậy khối lượng chất rắn G là
(làm tròn đến số nguyên)
(làm tròn đến số nguyên)
MX = 103 ⇒ X là NH2CH2COOC2H5
nX = 0,1 (mol); nKOH = 0,28 (mol)
Ta coi toàn bộ quá trình gồm hai phản ứng: X bị thủy phân trong HCl và KOH tác dụng với HCl.
⇒ Chất rắn G gồm: ClH3NCH2COOH (0,1 mol) và KCl (0,28 mol)
⇒ mG = 0,1 . 111,5 + 0,28 . 74,5 = 32,01 (gam)
⇒ Điền đáp án: 32
nX = 0,1 (mol); nKOH = 0,28 (mol)
Ta coi toàn bộ quá trình gồm hai phản ứng: X bị thủy phân trong HCl và KOH tác dụng với HCl.
⇒ Chất rắn G gồm: ClH3NCH2COOH (0,1 mol) và KCl (0,28 mol)
⇒ mG = 0,1 . 111,5 + 0,28 . 74,5 = 32,01 (gam)
⇒ Điền đáp án: 32
Đọc đoạn thông tin sau và trả lời các câu hỏi từ 38 đến 40:
Glycine là một loại amino acid chứa 1 nhóm COOH thể hiện tính acid và 1 nhóm NH2 thể hiện tính base.

Khi pH thay đổi từ thấp đến cao sẽ làm cho amino acid tích điện khác nhau.


Khi pH thay đổi từ thấp đến cao sẽ làm cho amino acid tích điện khác nhau.

Câu 38 [1072800]: Ở môi trường pH trung tính, glycine có tổng điện tích bằng bao nhiêu?
A, –1.
B, –2.
C, 0.
D, +1.
Ở môi trường pH trung tính, glycine tồng tại dạng ion lưỡng cực có tổng
điện tích bằng 0
Đáp án: C. 0.
Câu 39 [1072801]: Khi giá trị pH của môi trường giảm dần, các dạng tồn tại có xu hướng
A, nhận thêm H+.
B, cho đi OH–.
C, nhận thêm NH3+.
D, cho đi COOH.
Khi giá trị pH của môi trường giảm dần,các dạng tồn tại có xu hướng nhận thêm ion H+ tạo trạng thái cation.
⟹ Chọn đáp án A. nhận thêm H+
Câu 40 [1072802]: Hình dưới đây cho thấy tỉ lệ phần trăm các dạng tích điện của glycine ở các giá trị pH khác nhau:

Cho các phát biểu sau:
(a) Tại điểm A trên đồ thị, glycine chủ yếu ở dạng acid HOOCCH2NH3+.
(b) Dạng tồn tại chủ yếu của glycine tại điểm B có tổng điện tích là 0.
(c) Từ đồ thị điểm đẳng điện gần đúng của glycine là trong khoảng pH = 6 đến 8.
(d) Khi pH tăng, điện tích của dạng tồn tại sẽ có điện tích chuyển từ dương sang âm.
Số phát biểu đúng là

Cho các phát biểu sau:
(a) Tại điểm A trên đồ thị, glycine chủ yếu ở dạng acid HOOCCH2NH3+.
(b) Dạng tồn tại chủ yếu của glycine tại điểm B có tổng điện tích là 0.
(c) Từ đồ thị điểm đẳng điện gần đúng của glycine là trong khoảng pH = 6 đến 8.
(d) Khi pH tăng, điện tích của dạng tồn tại sẽ có điện tích chuyển từ dương sang âm.
Số phát biểu đúng là
A, 1.
B, 2.
C, 3.
D, 4.
Nhận định (a) – Đúng. Tại điểm A trên đồ thị môi trường acid, glycine chủyếu ở dạng acid HOOCCH2NH3+.
Nhận định (b) – Sai. Tại điểm B trên đồ thị môi trường base, glycine chủyếu ở dạng anion -OOCCH2NH2.
Nhận định (c) – Đúng. Từ đồ thị điểm đẳng điện gần đúng của glycine làtrong khoảng pH = 6 đến 8, glycine tồn tại chủ yếu dạng ion lưỡng cực.
Nhận định (d) – Đúng. Khi pH tăng, điện tích của dạng tồn tại sẽ có điện tích chuyển từ dương sang âm.
⟹ Chọn đáp án C.3