Câu 1 [860849]: Tiệm cận ngang
Cho hàm số
xác định trên một khoảng vô hạn (là khoảng dạng
hoặc
Đường thẳng
là đường tiệm cận ngang (hay tiệm cận ngang) của đồ thị hàm số
nếu
hoặc 
✍️ Đường thẳng
là tiệm cận ngang của đồ thị hàm số
được mình hoạ như hình:
Cho hàm số
xác định trên một khoảng vô hạn (là khoảng dạng
hoặc
Đường thẳng
là đường tiệm cận ngang (hay tiệm cận ngang) của đồ thị hàm số
nếu
hoặc 
✍️ Đường thẳng
là tiệm cận ngang của đồ thị hàm số
được mình hoạ như hình:
Cho hàm số
xác định trên một khoảng vô hạn (là khoảng dạng
hoặc
Đường thẳng
là đường tiệm cận ngang (hay tiệm cận ngang) của đồ thị hàm số
nếu
hoặc
✍️ Đường thẳng
là tiệm cận ngang của đồ thị hàm số
được mình hoạ như hình:
xác định trên một khoảng vô hạn (là khoảng dạng
hoặc
Đường thẳng
là đường tiệm cận ngang (hay tiệm cận ngang) của đồ thị hàm số
nếu
hoặc
✍️ Đường thẳng
là tiệm cận ngang của đồ thị hàm số
được mình hoạ như hình:
Câu 2 [860852]: Cho hàm số
có bảng biến thiên như hình vẽ

Tìm tiệm cận ngang của đồ thị hàm số
có bảng biến thiên như hình vẽ
Tìm tiệm cận ngang của đồ thị hàm số
1. Phương pháp: Dựa vào bảng biến thiên ta tính giới hạn 
để xác định tiệm cận ngang của hàm số.
2. Cách giải:
Ta có:
+)
Hàm số có một tiệm cận ngang 
+)
Hàm số có một tiệm cận ngang 
3. Kết luận:
Vậy hàm số có hai tiệm cận ngang

để xác định tiệm cận ngang của hàm số.2. Cách giải:
Ta có:
+)

Hàm số có một tiệm cận ngang 
+)

Hàm số có một tiệm cận ngang 
3. Kết luận:
Vậy hàm số có hai tiệm cận ngang
Câu 3 [860853]: Tìm tiệm cận ngang của đồ thị các hàm số sau
a)
b)
a)
b)
a) Tập xác định
Ta có:
Vậy đường thẳng
là tiệm cận ngang của đồ thị hàm số đã cho.
b) Đường thẳng
là tiệm cận ngang của đồ thị hàm số đã cho.
Ta có:
Vậy đường thẳng
là tiệm cận ngang của đồ thị hàm số đã cho.
b) Đường thẳng
là tiệm cận ngang của đồ thị hàm số đã cho.
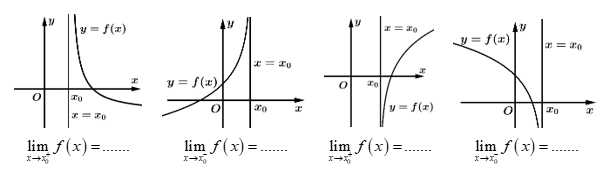
Câu 4 [860854]: Tiệm cận đứng:
Đường thẳng
là đường tiệm cận đứng (hay tiệm cận đứng) của đồ thị hàm số
nếu ít nhất một trong các điều kiện sau được thỏa mãn:

✍️ Đường thẳng
là tiệm cận đứng của đồ thị hàm số
được minh hoạ như hình vẽ:
Đường thẳng
là đường tiệm cận đứng (hay tiệm cận đứng) của đồ thị hàm số
nếu ít nhất một trong các điều kiện sau được thỏa mãn:

✍️ Đường thẳng
là tiệm cận đứng của đồ thị hàm số
được minh hoạ như hình vẽ:
Đường thẳng
là đường tiệm cận đứng (hay tiệm cận đứng) của đồ thị hàm số
nếu ít nhất một trong các điều kiện sau được thỏa mãn:



✍️ Đường thẳng
là tiệm cận đứng của đồ thị hàm số
được minh hoạ như hình vẽ:
là đường tiệm cận đứng (hay tiệm cận đứng) của đồ thị hàm số
nếu ít nhất một trong các điều kiện sau được thỏa mãn:



✍️ Đường thẳng
là tiệm cận đứng của đồ thị hàm số
được minh hoạ như hình vẽ:
Câu 5 [860855]: Cho hàm số
có bảng biến thiên như hình vẽ

Tìm tiệm cận đứng và tiệm cận ngang của đồ thị hàm số
có bảng biến thiên như hình vẽ
Tìm tiệm cận đứng và tiệm cận ngang của đồ thị hàm số
1. Phương pháp: Dựa vào bảng biến thiên ta tính giới hạn 


để xác định tiệm cận đứng và ngang của hàm số.
2. Cách giải:
Ta có:
+)
Hàm số có một tiệm cận đứng 
+)
+)
Hàm số có một tiệm cận ngang 
+)
3. Kết luận:
Vậy hàm số có một tiệm cận đứng
và một tiệm cận ngang



để xác định tiệm cận đứng và ngang của hàm số.2. Cách giải:
Ta có:
+)

Hàm số có một tiệm cận đứng 
+)

+)

Hàm số có một tiệm cận ngang 
+)

3. Kết luận:
Vậy hàm số có một tiệm cận đứng
và một tiệm cận ngang
Câu 6 [860858]: Tìm tiệm cận đứng của mỗi đồ thị hàm số sau
a)
b)
a)
b)
1. Phương pháp: Dựa vào bảng biến thiên ta tính giới hạn 
để xác định tiệm cận đứng của hàm số.
2. Cách giải:
a)
ĐKXĐ:
Vì
nên
là một đường tiệm cận đứng của đồ thị hàm số đã cho.
b)
ĐKXĐ:
Vì
nên
là một đường tiệm cận đứng của đồ thị hàm số đã cho.
Vì
nên
là một đường tiệm cận đứng của đồ thị hàm số đã cho.
3. Kết luận:
Vậy a) Hàm số có một tiệm cận đứng
b) Hàm số có hai tiệm cận đứng là
và

để xác định tiệm cận đứng của hàm số.2. Cách giải:
a)

ĐKXĐ:

Vì
nên
là một đường tiệm cận đứng của đồ thị hàm số đã cho.b)

ĐKXĐ:

Vì
nên
là một đường tiệm cận đứng của đồ thị hàm số đã cho.Vì
nên
là một đường tiệm cận đứng của đồ thị hàm số đã cho.3. Kết luận:
Vậy a) Hàm số có một tiệm cận đứng

b) Hàm số có hai tiệm cận đứng là
và