Câu 1 [863731]: Định nghĩa vectơ trong không gian
Vectơ trong không gian là một đoạn thẳng có hướng. Kí hiệu
chỉ vectơ có ……………. .
…………………
Vectơ còn đc kí hiệu là 

Chú ý: Các khái niệm có liên quan đến vectơ trong không gian như: giá của vectơ, độ dài của vectơ, vectơ cùng phương, vectơ cùng hướng, vectơ-không, hai vectơ bằng nhau, hai vectơ đối nhau, ... được định nghĩa tương tự như trong mặt phẳng.
Vectơ trong không gian là một đoạn thẳng có hướng. Kí hiệu
chỉ vectơ có ……………. .
…………………
Vectơ còn đc kí hiệu là 

Chú ý: Các khái niệm có liên quan đến vectơ trong không gian như: giá của vectơ, độ dài của vectơ, vectơ cùng phương, vectơ cùng hướng, vectơ-không, hai vectơ bằng nhau, hai vectơ đối nhau, ... được định nghĩa tương tự như trong mặt phẳng.
Định nghĩa vectơ trong không gian
Vectơ trong không gian là một đoạn thẳng có hướng. Kí hiệu
chỉ vectơ có điểm đầu
điểm cuối
Vectơ còn đc kí hiệu là 

Chú ý: Các khái niệm có liên quan đến vectơ trong không gian như: giá của vectơ, độ dài của vectơ, vectơ cùng phương, vectơ cùng hướng, vectơ-không, hai vectơ bằng nhau, hai vectơ đối nhau, ... được định nghĩa tương tự như trong mặt phẳng.
Vectơ trong không gian là một đoạn thẳng có hướng. Kí hiệu
chỉ vectơ có điểm đầu
điểm cuối
Vectơ còn đc kí hiệu là 

Chú ý: Các khái niệm có liên quan đến vectơ trong không gian như: giá của vectơ, độ dài của vectơ, vectơ cùng phương, vectơ cùng hướng, vectơ-không, hai vectơ bằng nhau, hai vectơ đối nhau, ... được định nghĩa tương tự như trong mặt phẳng.
Câu 2 [863732]: Tổng của hai vectơ
Trong không gian, cho hai vectơ
và
Lấy ba điểm
sao cho
Ta gọi
là tổng của hai vectơ
và
kí hiệu …………………..
Nhận xét: Phép cộng vectơ trong không gian cũng có các tính chất như phép cộng vectơ trong mặt phẳng.
▪ Tính chất giao hoán:
▪ Tính chất kết hợp:
▪ Với mọi vectơ
ta luôn có: 
▪ Quy tắc 3 điểm: Với
điểm
ta có: 
▪ Quy tắc hình bình hành: cho hình bình hành
ta có:
▪ Quy tắc hình hộp: Cho hình hộp
với
là ba cạnh có chung đỉnh
và
là đường chéo, ta có:
.
Trong không gian, cho hai vectơ
và
Lấy ba điểm
sao cho
Ta gọi
là tổng của hai vectơ
và
kí hiệu …………………..
Nhận xét: Phép cộng vectơ trong không gian cũng có các tính chất như phép cộng vectơ trong mặt phẳng.
▪ Tính chất giao hoán:

▪ Tính chất kết hợp:

▪ Với mọi vectơ
ta luôn có: 
▪ Quy tắc 3 điểm: Với
điểm
ta có: 
▪ Quy tắc hình bình hành: cho hình bình hành
ta có:
▪ Quy tắc hình hộp: Cho hình hộp
với
là ba cạnh có chung đỉnh
và
là đường chéo, ta có:
.
Tổng của hai vectơ
Trong không gian, cho hai vectơ
và
Lấy ba điểm
sao cho
Ta gọi
là tổng của hai vectơ
và
kí hiệu
Nhận xét: Phép cộng vectơ trong không gian cũng có các tính chất như phép cộng vectơ trong mặt phẳng.
▪ Tính chất giao hoán:
▪ Tính chất kết hợp:
▪ Với mọi vectơ
ta luôn có: 
▪ Quy tắc 3 điểm: Với
điểm
ta có: 
▪ Quy tắc hình bình hành: cho hình bình hành
ta có:
▪ Quy tắc hình hộp: Cho hình hộp
với
là ba cạnh có chung đỉnh
và
là đường chéo, ta có:
.
Trong không gian, cho hai vectơ
và
Lấy ba điểm
sao cho
Ta gọi
là tổng của hai vectơ
và
kí hiệu
Nhận xét: Phép cộng vectơ trong không gian cũng có các tính chất như phép cộng vectơ trong mặt phẳng.
▪ Tính chất giao hoán:

▪ Tính chất kết hợp:

▪ Với mọi vectơ
ta luôn có: 
▪ Quy tắc 3 điểm: Với
điểm
ta có: 
▪ Quy tắc hình bình hành: cho hình bình hành
ta có:
▪ Quy tắc hình hộp: Cho hình hộp
với
là ba cạnh có chung đỉnh
và
là đường chéo, ta có:
.
Câu 3 [863733]: Hiệu của hai vectơ
Trong không gian, cho hai vectơ
và
Ta gọi
là hiệu của hai vectơ
và
kí hiệu……………

Phép lấy hiệu của hai vectơ được gọi là phép trừ hai vectơ.
Quy tắc hiệu: Với
điểm
ta có:
Trong không gian, cho hai vectơ
và
Ta gọi
là hiệu của hai vectơ
và
kí hiệu……………
Phép lấy hiệu của hai vectơ được gọi là phép trừ hai vectơ.
Quy tắc hiệu: Với
điểm
ta có:
Hiệu của hai vectơ
Trong không gian, cho hai vectơ
và
Ta gọi
là hiệu của hai vectơ
và
kí hiệu 

Phép lấy hiệu của hai vectơ được gọi là phép trừ hai vectơ.
Quy tắc hiệu: Với
điểm
ta có:
Trong không gian, cho hai vectơ
và
Ta gọi
là hiệu của hai vectơ
và
kí hiệu 

Phép lấy hiệu của hai vectơ được gọi là phép trừ hai vectơ.
Quy tắc hiệu: Với
điểm
ta có:
Câu 4 [863738]: Quy tắc trung điểm, quy tắc trọng tâm
Quy tắc trung điểm: Nếu
là trung điểm của AB thì 
Quy tắc trung tuyến:
là trung tuyến của tam giác
thì: 
Quy tắc trọng tâm: Nếu
là trọng tâm tam giác
thì:
và với mọi điểm M ta có
.
Quy tắc trung điểm: Nếu
là trung điểm của AB thì 
Quy tắc trung tuyến:
là trung tuyến của tam giác
thì: 
Quy tắc trọng tâm: Nếu
là trọng tâm tam giác
thì:
và với mọi điểm M ta có
.
Quy tắc trung điểm, quy tắc trọng tâm
Quy tắc trung điểm: Nếu
là trung điểm của AB thì 
Quy tắc trung tuyến:
là trung tuyến của tam giác
thì: 
Quy tắc trọng tâm: Nếu
là trọng tâm tam giác
thì:
và với mọi điểm M ta có
.
Quy tắc trung điểm: Nếu
là trung điểm của AB thì 
Quy tắc trung tuyến:
là trung tuyến của tam giác
thì: 
Quy tắc trọng tâm: Nếu
là trọng tâm tam giác
thì:
và với mọi điểm M ta có
.
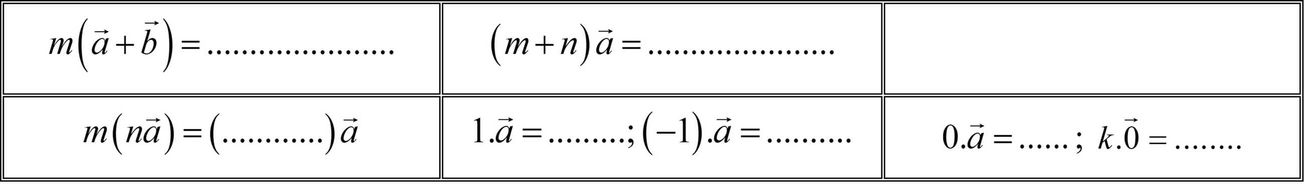
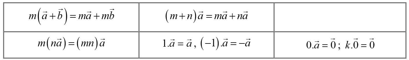
Câu 5 [863739]: Tích của một số với một vectơ
Định nghĩa: Cho
và vectơ
. Tích
là một vectơ:
▪ Cùng hướng với
nếu
▪ Ngược hướng với
nếu 
▪ Có độ dài bằng
Tính chất: Với
bất kì;
ta có:

Điều kiện để hai vectơ cùng phương.
Cho hai vectơ
và 
cùng phương
Hệ quả: điều kiện để ba điểm
thẳng hàng là
Định nghĩa: Cho
và vectơ
. Tích
là một vectơ:▪ Cùng hướng với
nếu
▪ Ngược hướng với
nếu 
▪ Có độ dài bằng

Tính chất: Với
bất kì;
ta có:
Điều kiện để hai vectơ cùng phương.
Cho hai vectơ
và 
cùng phương
Hệ quả: điều kiện để ba điểm
thẳng hàng là
Tích của một số với một vectơ
Định nghĩa: Cho
và vectơ
. Tích
là một vectơ:
▪ Cùng hướng với
nếu
▪ Ngược hướng với
nếu 
▪ Có độ dài bằng
Tính chất: Với
bất kì;
ta có:

Điều kiện để hai vectơ cùng phương.
Cho hai vectơ
và 

:
cùng phương
Hệ quả: điều kiện để ba điểm
thẳng hàng là
Định nghĩa: Cho
và vectơ
. Tích
là một vectơ:▪ Cùng hướng với
nếu
▪ Ngược hướng với
nếu 
▪ Có độ dài bằng

Tính chất: Với
bất kì;
ta có:
Điều kiện để hai vectơ cùng phương.
Cho hai vectơ
và 

:
cùng phương
Hệ quả: điều kiện để ba điểm
thẳng hàng là