PHẦN I. Câu trắc nghiệm nhiều phương án lựa chọn. Học sinh trả lời từ câu 1 đến câu 12. Mỗi câu hỏi học sinh chỉ chọn một phương án.
Câu 1 [866016]: Cho hai biến cố
có xác suất 
và
Xác suất
bằng
có xác suất 
và
Xác suất
bằng A, 

B, 

C, 

D, 

Áp dụng công thức Bayes:

Chọn đáp án C. Đáp án: C

Chọn đáp án C. Đáp án: C
Câu 2 [866020]: Cho
và
là hai biến cố độc lập. Khẳng định nào sau đây sai?
và
là hai biến cố độc lập. Khẳng định nào sau đây sai? A, 

B, 

C, 

D, 

Khẳng định sai là:
vì

Chọn đáp án D. Đáp án: D
vì

Chọn đáp án D. Đáp án: D
Câu 3 [866022]: Cho hai biến cố
và
có 
và
Giá trị của
là
và
có 
và
Giá trị của
là A, 

B, 

C, 

D, 

Áp dụng công thức Bayes:

Chọn đáp án D. Đáp án: D

Chọn đáp án D. Đáp án: D
Câu 4 [866023]: Gieo con xúc xắc một lần. Gọi
là biến cố xuất hiện mặt 2 chấm,
là biến cố xuất hiện mặt chẵn. Giá trị của
bằng
là biến cố xuất hiện mặt 2 chấm,
là biến cố xuất hiện mặt chẵn. Giá trị của
bằng A, 

B, 

C, 

D, 

Một xúc xắc 6 mặt có 3 mặt chẵn và 1 mặt hai chấm

Chọn đáp án D.
Đáp án: D

Chọn đáp án D.
Đáp án: D
Câu 5 [866025]: Trong hộp có 20 nắp khoen bia Tiger, trong đó có 2 nắp ghi “Chúc mừng bạn đã trúng thưởng xe Camry”. Bạn Duy Kiên được chọn lên rút thăm lần lượt hai nắp khoen, xác suất để cả hai nắp đều trúng thưởng là
Xác suất để cả hai nắp đều trúng thưởng là:
Chọn đáp án C. Đáp án: C
Chọn đáp án C. Đáp án: C
Câu 6 [866026]: Cho hai biến cố
và
có
và
Xác suất
bằng
và
có
và
Xác suất
bằng A, 

B, 

C, 

D, 



Chọn đáp án A. Đáp án: A
Câu 7 [866027]: Một lô sản phẩm có 30 sản phẩm, trong đó có 4 chất lượng thấp. Lấy liên tiếp hai sản phẩm trong lô sản phẩm trên, trong đó sản phẩm lấy ra ở lần thứ nhất không được bỏ lại vào lô sản phẩm. Tính xác suất để cả hai sản phẩm được lấy ra đều có chất lượng thấp.
A, 

B, 

C, 

D, 

Xác suất để cả hai sản phẩm được lấy ra đều có chất lượng thấp là:

Chọn đáp án D. Đáp án: D

Chọn đáp án D. Đáp án: D
Câu 8 [866031]: Một phụ nữ sinh hai người con. Xác suất để cả hai là con trai bằng bao nhiêu biết rằng người phụ nữ đó có ít nhất một người con trai?
A, 

B, 

C, 

D, 

Xác suất để người phụ nữ đó có ít nhất một người con trai là:
Xác suất để người phụ nữ đó có hai người con trai là:
Xác suất để người phụ nữ đó có hai người con trai biết người phụ nữ đó có ít nhất một người con trai là:
Chọn đáp án D.
Xác suất để người phụ nữ đó có hai người con trai là:
Xác suất để người phụ nữ đó có hai người con trai biết người phụ nữ đó có ít nhất một người con trai là:
Chọn đáp án D.
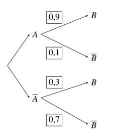
Câu 9 [866033]: Cho sơ đồ hình cây như hình vẽ bên. Biết
Khi đó
bằng
Khi đó
bằng
A, 

B, 

C, 

D, 


Chọn đáp án D. Đáp án: D
Câu 10 [866034]: Một lớp có 70% học sinh là nữ. Tỉ lệ học sinh đạt học sinh giỏi trong số học sinh nữ là 35%, tỉ lệ học sinh đạt danh hiệu học sinh giỏi trong số học sinh nam là 60%. Chọn ngẫu nhiên một học sinh của lớp đó. Gọi
là biến cố “Học sinh được chọn là nữ” và
là biến cố “Học sinh được chọn đạt danh hiệu học sinh giỏi”. Xác xuất của biến cố
với điều kiện
là
là biến cố “Học sinh được chọn là nữ” và
là biến cố “Học sinh được chọn đạt danh hiệu học sinh giỏi”. Xác xuất của biến cố
với điều kiện
là A, 

B, 

C, 

D, 

Dựa vào đề bài, ta có: 




Ta có sơ đồ:
Áp dụng công thức Bayes:

Chọn đáp án A. Đáp án: A





Ta có sơ đồ:
Áp dụng công thức Bayes:

Chọn đáp án A. Đáp án: A
Câu 11 [866035]: Một hộp có 60 viên bi màu xanh và 40 viên bi màu đỏ, các viên bi có kích thước và khối lượng như nhau. Sau khi thống kê, số lượng viên bi có dán nhãn được cho trong bảng sau:

Lấy ngẫu nhiên một viên bi trong hộp. Gọi
là biến cố “Viên bi được chọn có dán nhãn” và
là biến cố “Viên bi được chọn có màu đỏ”. Tính

Lấy ngẫu nhiên một viên bi trong hộp. Gọi
là biến cố “Viên bi được chọn có dán nhãn” và
là biến cố “Viên bi được chọn có màu đỏ”. Tính
A, 

B, 

C, 

D, 

Áp dụng công thức xác suất toàn phần:

Chọn đáp án C. Đáp án: C

Chọn đáp án C. Đáp án: C
Câu 12 [866037]: Cho hai biến cố
và
thoả mãn
và
Khi đó
bằng
và
thoả mãn
và
Khi đó
bằng A, 

B, 

C, 

D, 


Chọn đáp án A. Đáp án: A
PHẦN II. Câu trắc nghiệm đúng sai. Học sinh trả lời từ câu 13 đến câu 16. Trong mỗi ý a),b),c),d) ở mỗi câu học sinh chọn đúng hoặc sai.
Câu 13 [866040]: Trong một hộp có 8 quả bóng màu xanh và 12 quả bóng màu đỏ, các quả bóng có khối lượng và kích thước như nhau. Bạn Hải lấy ngẫu nhiên lần lượt 2 quả bóng, mỗi lần lấy 1 quả và không hoàn lại.
Gọi
là biến cố “lần một bạn Hải lấy được bóng màu xanh”,
là biến cố “lần hai bạn Hải lấy được bóng màu xanh”
a) Xác suất để lần thứ nhất bạn Hải lấy được quả bóng màu xanh là:
Suy ra mệnh đề a) đúng.
b)
Biết lần đầu, bạn Hải lấy được bóng màu xanh, xác suất để lần hai bạn Hải lấy ra bóng màu xanh là:
Biết lần đầu, bạn Hải lấy được bóng màu đỏ, xác suất để lần hai bạn Hải lấy ra bóng màu đỏ là:
Ta có sơ đồ:
Xác suất để cả hai lần bạn Hải đều lấy được quả bóng màu xanh là:

Suy ra mệnh đề b) đúng.
c)
Suy ra mệnh đề c) đúng.
d) Xác suất để bạn Hải lấy được quả bóng màu xanh ít nhất một lần bằng:
Suy ra mệnh đề d) sai.
là biến cố “lần một bạn Hải lấy được bóng màu xanh”,
là biến cố “lần hai bạn Hải lấy được bóng màu xanh”
a) Xác suất để lần thứ nhất bạn Hải lấy được quả bóng màu xanh là:
Suy ra mệnh đề a) đúng.
b)
Biết lần đầu, bạn Hải lấy được bóng màu xanh, xác suất để lần hai bạn Hải lấy ra bóng màu xanh là:
Biết lần đầu, bạn Hải lấy được bóng màu đỏ, xác suất để lần hai bạn Hải lấy ra bóng màu đỏ là:
Ta có sơ đồ:
Xác suất để cả hai lần bạn Hải đều lấy được quả bóng màu xanh là:

Suy ra mệnh đề b) đúng.
c)
Suy ra mệnh đề c) đúng.
d) Xác suất để bạn Hải lấy được quả bóng màu xanh ít nhất một lần bằng:
Suy ra mệnh đề d) sai.
Câu 14 [866045]: Một nhà máy có hai phân xưởng cùng sản xuất một loại sản phẩm. Phân xưởng thứ nhất sản xuất 60% và phân xưởng thứ hai sản xuất 40% tổng số sản phẩm của cả nhà máy. Tỉ lệ phế phẩm của từng phân xưởng lần lượt là 16% và 20%. Lấy ngẫu nhiên một sản phẩm trong kho hàng của nhà máy.
Gọi
là biến cố “Sản phẩm do phân xưởng thứ nhất sản xuất”,
là biến cố “Lấy được sản phẩm phế phẩm”.
Dựa vào đề bài, ta có:


Ta có sơ đồ:
a)
Suy ra mệnh đề a) đúng.
b)
Suy ra mệnh đề b) đúng.
c)
Suy ra mệnh đề c) đúng.
d)
Vậy khả năng sản phẩm đó do phân xưởng thứ hai sản xuất là thấp hơn khả năng sản phẩm đó do phân xưởng thứ nhất sản xuất.
Suy ra mệnh đề d) sai.
là biến cố “Sản phẩm do phân xưởng thứ nhất sản xuất”,
là biến cố “Lấy được sản phẩm phế phẩm”.
Dựa vào đề bài, ta có:



Ta có sơ đồ:

Suy ra mệnh đề a) đúng.
b)
Suy ra mệnh đề b) đúng.
c)
Suy ra mệnh đề c) đúng.
d)
Vậy khả năng sản phẩm đó do phân xưởng thứ hai sản xuất là thấp hơn khả năng sản phẩm đó do phân xưởng thứ nhất sản xuất.
Suy ra mệnh đề d) sai.
Câu 15 [866046]: Một hệ thống AI được sử dụng để kiểm tra đạo văn trong các bài viết học sinh nộp. Theo thống kê: có 1% bài viết là đạo văn, 99% bài viết là chính chủ (không đạo văn). Phần mềm kiểm tra có độ chính xác như sau: nếu bài viết là đạo văn, phần mềm phát hiện đúng với xác suất 98%; nếu bài viết là chính chủ, phần mềm cảnh báo nhầm là đạo văn với xác suất 3%.
Kiểm tra ngẫu nhiên một bài viết của học sinh nộp.
Gọi
là biến cố: “Bài viết thực sự là đạo văn”.
Gọi
là biến cố: “Phần mềm cảnh báo bài viết là đạo văn”.
Kiểm tra ngẫu nhiên một bài viết của học sinh nộp.
Gọi
là biến cố: “Bài viết thực sự là đạo văn”.Gọi
là biến cố: “Phần mềm cảnh báo bài viết là đạo văn”.
Từ dữ kiện đề bài, ta có: 


Ta có sơ đồ:
a)
Suy ra mệnh đề a) đúng.
b)
Suy ra mệnh đề b) đúng.
c)
Suy ra mệnh đề c) sai.
d)
Suy ra mệnh đề d) đúng.



Ta có sơ đồ:
a)
Suy ra mệnh đề a) đúng.
b)
Suy ra mệnh đề b) đúng.
c)
Suy ra mệnh đề c) sai.
d)
Suy ra mệnh đề d) đúng.
Câu 16 [866048]: Giả sử có một đồng xu cân bằng (fair coin) và một đồng xu thiên lệch (biased coin) mà mặt ngửa (heads) xuất hiện với xác suất
Một người chơi chọn ngẫu nhiên một trong hai đồng xu và tung nó ba lần.
Gọi
là biến cố: “Người chơi chọn đồng xu cân bằng”.
Gọi
là biến cố: “Ba lần tung đồng xu đều xuất hiện mặt ngửa”.
Một người chơi chọn ngẫu nhiên một trong hai đồng xu và tung nó ba lần.Gọi
là biến cố: “Người chơi chọn đồng xu cân bằng”.Gọi
là biến cố: “Ba lần tung đồng xu đều xuất hiện mặt ngửa”.
a) Vì chỉ có 2 đồng xu:
Suy ra mệnh đề a) đúng.
b) Xác suất để tung ra mặt ngửa khi sử dụng đồng fair coin là: 0,5.
Suy ra mệnh đề b) sai.
c)
Suy ra mệnh đề c) sai.
d) TH1: Người đó sử dụng đồng xu fair coin
Xác suất người đó tung 4 lần liên tiếp được mặt ngửa là:
TH2: Người đó sử dụng đồng xu biased coin
Xác suất người đó tung 4 lần liên tiếp được mặt ngửa là:
Xác suất người chơi đó tung lần thứ tư tiếp tục xuất hiện mặt ngửa, biết đồng xu được chọn tung ba lần đều xuất hiện mặt ngửa là:
Suy ra mệnh đề d) đúng.
Suy ra mệnh đề a) đúng.
b) Xác suất để tung ra mặt ngửa khi sử dụng đồng fair coin là: 0,5.
Suy ra mệnh đề b) sai.
c)
Suy ra mệnh đề c) sai.
d) TH1: Người đó sử dụng đồng xu fair coin
Xác suất người đó tung 4 lần liên tiếp được mặt ngửa là:
TH2: Người đó sử dụng đồng xu biased coin
Xác suất người đó tung 4 lần liên tiếp được mặt ngửa là:
Xác suất người chơi đó tung lần thứ tư tiếp tục xuất hiện mặt ngửa, biết đồng xu được chọn tung ba lần đều xuất hiện mặt ngửa là:
Suy ra mệnh đề d) đúng.
PHẦN III. Câu trắc nghiệm trả lời ngắn. Học sinh trả lời từ câu 17 đến câu 22.
Câu 17 [866051]: Một hộp chứa 8 bi trắng, 2 bi đỏ. Lần lượt lấy từng viên bi và không hoàn lại. Giả sử lần đầu tiên bốc được bi trắng. Xác suất lần thứ hai bốc được bi đỏ bằng bao nhiêu? (làm tròn kết quả đến hàng phần trăm).
Xác suất lần thứ hai bốc được bi đỏ là: 
Điền đáp án: 0,22.

Điền đáp án: 0,22.
Câu 18 [866053]: Một công ty đấu thầu hai dự án. Khả năng thắng thầu của các dự án 1 là 0;4 và dự án 2 là 0;5. Khả năng thắng thầu của cả hai dự án là 0;3. Tính xác xuất để công ty thắng dự án 2 biết công ty không thắng thầu dự án 1 (làm tròn kết quả đến hàng phần trăm).
Gọi
là biến cố “Thắng dự án 1”,
là biến cố “Thắng dự án 2”.
Từ dữ kiện đề bài, ta có:

Điền đáp án: 0,33.
là biến cố “Thắng dự án 1”,
là biến cố “Thắng dự án 2”.
Từ dữ kiện đề bài, ta có:

Điền đáp án: 0,33.
Câu 19 [866064]: Trong một đợt kiểm tra sức khỏe tại trường, có 200 học sinh được xét nghiệm một loại virus. Trong đó, biết rằng có 80 bạn thật sự bị nhiễm virus. Nếu một bạn bị nhiễm, thì xét nghiệm cho kết quả dương tính (tức là phát hiện đúng bệnh) với xác suất 90%. Nếu một bạn không bị nhiễm, thì xét nghiệm vẫn có thể báo nhầm là dương tính (gọi là dương tính giả), với xác suất 5%. Giả sử một bạn có kết quả xét nghiệm dương tính. Hỏi xác suất để bạn đó thật sự bị nhiễm virus là bao nhiêu (làm tròn kết quả đến hàng phần trăm)?
Gọi
là biến cố “Nhiễm virus”,
là biến cố “Cho kết quả dương tính”.
Từ dữ kiện đề bài, ta có:
Ta có sơ đồ:
Áp dụng công thức Bayes: 
Điền đáp án: 0,92.
là biến cố “Nhiễm virus”,
là biến cố “Cho kết quả dương tính”.
Từ dữ kiện đề bài, ta có:

Ta có sơ đồ:


Điền đáp án: 0,92.
Câu 20 [866066]: Xác suất bé An được mẹ dẫn theo khi đi mua sắm là
Khi bé An được đi theo mẹ thì 70% bé sẽ được mua đồ chơi. Khi bé không đi theo mẹ, có thể mẹ vẫn mua đồ chơi cho bé. Xác suất bé được đi theo mẹ biết rằng bé được mẹ mua cho đồ chơi là
Khi bé không đi theo mẹ, xác suất bé được mẹ mua cho đồ chơi là bao nhiêu?
Khi bé An được đi theo mẹ thì 70% bé sẽ được mua đồ chơi. Khi bé không đi theo mẹ, có thể mẹ vẫn mua đồ chơi cho bé. Xác suất bé được đi theo mẹ biết rằng bé được mẹ mua cho đồ chơi là
Khi bé không đi theo mẹ, xác suất bé được mẹ mua cho đồ chơi là bao nhiêu?
Gọi
là biến cố “Bé An được mẹ dẫn theo”,
là biến cố “Bé An được mua đồ chơi”.
Từ dữ kiện đề bài, ta có:

Ta gọi:
Ta có sơ đồ:
Áp dụng công thức Bayes, ta có
Vậy xác suất bé được mẹ mua cho đồ chơi, biết bé không đi theo mẹ là:
Điền đáp án: 0,3.
là biến cố “Bé An được mẹ dẫn theo”,
là biến cố “Bé An được mua đồ chơi”.
Từ dữ kiện đề bài, ta có:


Ta gọi:
Ta có sơ đồ:
Áp dụng công thức Bayes, ta có
Vậy xác suất bé được mẹ mua cho đồ chơi, biết bé không đi theo mẹ là:
Điền đáp án: 0,3.
Câu 21 [866067]: Một người tham gia trò chơi với 3 hộp quà đặc biệt: hộp màu vàng có 2 điện thoại iPhone và 3 tai nghe; hộp màu bạc có 4 điện thoại iPhone và 1 tai nghe; hộp màu đồng có 3 điện thoại iPhone và 2 tai nghe. Luật chơi được thực hiện qua hai bước sau:
Bước 1. Người chơi chọn ngẫu nhiên 1 hộp.
Bước 2. Từ hộp đã chọn, người chơi lấy ngẫu nhiên 1 món quà:
- Nếu quà là điện thoại iPhone, người chơi được giữ nó và lấy thêm 1 quà nữa từ cùng hộp.
- Nếu quà là tai nghe, trò chơi kết thúc.
Biết rằng người chơi lấy được 2 điện thoại iPhone, tính xác suất để người đó lấy từ hộp màu bạc (làm tròn kết quả đến hàng phần mười).
Bước 1. Người chơi chọn ngẫu nhiên 1 hộp.
Bước 2. Từ hộp đã chọn, người chơi lấy ngẫu nhiên 1 món quà:
- Nếu quà là điện thoại iPhone, người chơi được giữ nó và lấy thêm 1 quà nữa từ cùng hộp.
- Nếu quà là tai nghe, trò chơi kết thúc.
Biết rằng người chơi lấy được 2 điện thoại iPhone, tính xác suất để người đó lấy từ hộp màu bạc (làm tròn kết quả đến hàng phần mười).
Gọi
lần lượt là chọn hộp vàng, bạc, đồng.
: sự kiện "người chơi lấy được 2 iPhone".
Cần tính:
Với hộp có
iPhone và tổng 5 món quà:
hộp
Hộp vàng (2 iPhone):
Hộp bạc (4 iPhone):
Hộp đồng (3 iPhone):
Xác suất rút được 2 iPhone (công thức xác suất toàn phần)
Vậy điền đáp án: 0,6.
lần lượt là chọn hộp vàng, bạc, đồng.
: sự kiện "người chơi lấy được 2 iPhone".
Cần tính:
Với hộp có
iPhone và tổng 5 món quà:
hộp
Hộp vàng (2 iPhone):
Hộp bạc (4 iPhone):
Hộp đồng (3 iPhone):
Xác suất rút được 2 iPhone (công thức xác suất toàn phần)
Vậy điền đáp án: 0,6.
Câu 22 [866069]: Một cặp sinh đôi có thể sinh đôi cùng trứng hoặc sinh đôi khác trứng. Các cặp sinh đôi cùng trứng luôn cùng giới tính. Đối với cặp sinh đôi khác trứng, thì giới tính của mỗi đứa trẻ là độc lập và có xác suất 0,5 là con trai. Một thống kê cho thấy, có khoảng 34% cặp sinh đôi đều là trai, 30% cặp sinh đôi đều là gái, 36% cặp sinh đôi là một trai và một gái. Chọn ngẫu nhiên một cặp sinh đôi. Tính xác suất để cặp sinh đôi đó là sinh đôi cùng trứng, biết cặp sinh đôi đó cùng giới tính (làm tròn kết quả đến hàng phần trăm).
Gọi
là biến cố “Cặp sinh đôi cùng trứng”,
là biến cố “Cặp sinh đôi cùng giới tính”.
Từ dữ kiện đề bài, ta có
(vì cặp sinh đôi cùng trứng luôn cùng giới tính) 
Đặt
Biết là cặp sinh đôi khác trứng, xác suất để cặp sinh đôi là cùng giới tính nữ là:
Biết là cặp sinh đôi khác trứng, xác suất để cặp sinh đôi là cùng giới tính nam là:
Biết là cặp sinh đôi khác trứng, xác suất để cặp sinh đôi là khác giới là:
Ta có sơ đồ:
Áp dụng công thức tính xác suất có điều kiện:
Xác suất để cặp sinh đôi đó là sinh đôi cùng trứng, biết cặp sinh đôi đó cùng giới tính là
Điền đáp án: 0,44.
là biến cố “Cặp sinh đôi cùng trứng”,
là biến cố “Cặp sinh đôi cùng giới tính”.
Từ dữ kiện đề bài, ta có
(vì cặp sinh đôi cùng trứng luôn cùng giới tính) 
Đặt
Biết là cặp sinh đôi khác trứng, xác suất để cặp sinh đôi là cùng giới tính nữ là:
Biết là cặp sinh đôi khác trứng, xác suất để cặp sinh đôi là cùng giới tính nam là:
Biết là cặp sinh đôi khác trứng, xác suất để cặp sinh đôi là khác giới là:
Ta có sơ đồ:
Áp dụng công thức tính xác suất có điều kiện:
Xác suất để cặp sinh đôi đó là sinh đôi cùng trứng, biết cặp sinh đôi đó cùng giới tính là
Điền đáp án: 0,44.