Dạng 1. TRẮC NGHIỆM KHÁCH QUAN: mỗi câu hỏi chỉ có một đáp án đúng.
Câu 1 [1009549]: Lipid là hợp chất hữu cơ
A, có trong động vật và không có trong thực vật.
B, có trong thực vật và không có trong động vật.
C, không có trong động vật, thực vật.
D, có trong cả động vật và thực vật.
Lipid là hợp chất hữu cơ có mặt phổ biến trong cả động vật và thực vật. Chúng bao gồm các chất như chất béo (triglyceride), phospholipid, sterol... và đóng vai trò quan trọng trong cấu trúc màng tế bào, dự trữ năng lượng và nhiều chức năng sinh học khác.
Ví dụ: Ở động vật: lipid có nhiều trong mỡ, dầu cá, cholesterol,...
Ở thực vật: lipid có trong dầu thực vật như dầu lạc, dầu dừa, dầu oliu,...

⟹ Chọn đáp án D Đáp án: D
Ví dụ: Ở động vật: lipid có nhiều trong mỡ, dầu cá, cholesterol,...
Ở thực vật: lipid có trong dầu thực vật như dầu lạc, dầu dừa, dầu oliu,...

⟹ Chọn đáp án D Đáp án: D
Câu 2 [824842]: “Acid béo là …(1)… đơn chức, hầu hết chúng có mạch carbon dài, thường từ 12-24 nguyên tử carbon và …(2)…”. Nội dung phù hợp trong ô trống (1), (2) lần lượt là
A, chất béo, không phân nhánh.
B, carboxylic acid, không phân nhánh.
C, chất béo, phân nhánh.
D, phospholipd, không phân nhánh.
Chất béo là triester của của glycerol với acid béo.
⟹ Acid béo là carboxylic acid đơn chức, hầu hết chúng có mạch carbon dài, thường từ 12-24 nguyên tử carbon và không phân nhánh.
⟹ Chọn đáp án B
Đáp án: B
⟹ Acid béo là carboxylic acid đơn chức, hầu hết chúng có mạch carbon dài, thường từ 12-24 nguyên tử carbon và không phân nhánh.
⟹ Chọn đáp án B
Đáp án: B
Câu 3 [304959]: Công thức của oleic acid là
A, C2H5COOH.
B, C17H33COOH.
C, HCOOH.
D, CH3COOH.
Oleic acid là 1 trong 4 acid béo cần nhớ trong chương trình hóa THPT: C17H33COOH.
► Nếu tạm thời không nhớ, bạn đọc cũng có thể loại trừ để có đáp án:
❌ A. C2H5COOH là propionic acid.
❌ C. HCOOH là formic acid.
❌ D. CH3COOH là acetic acid.
⟹ Chọn đáp án B. Đáp án: B
► Nếu tạm thời không nhớ, bạn đọc cũng có thể loại trừ để có đáp án:
❌ A. C2H5COOH là propionic acid.
❌ C. HCOOH là formic acid.
❌ D. CH3COOH là acetic acid.
⟹ Chọn đáp án B. Đáp án: B
Câu 4 [304960]: Công thức của stearic acid là
A, C2H5COOH.
B, CH3COOH.
C, C17H35COOH.
D, HCOOH.
Stearic acid là 1 trong 4 acid béo cần nhớ trong chương trình hóa THPT: C17H33COOH.
► Nếu tạm thời không nhớ, bạn đọc cũng có thể loại trừ để có đáp án:
❌ A. C2H5COOH là propionic acid.
❌ B. CH3COOH là acetic acid.
❌ D. HCOOH là formic acid.
⟹Chọn đáp án C. Đáp án: C
► Nếu tạm thời không nhớ, bạn đọc cũng có thể loại trừ để có đáp án:
❌ A. C2H5COOH là propionic acid.
❌ B. CH3COOH là acetic acid.
❌ D. HCOOH là formic acid.
⟹Chọn đáp án C. Đáp án: C
Câu 5 [304963]: Palmitic acid trong phân tử có tỉ lệ số nguyên tử H : số nguyên tử C là
A, 31 : 15.
B, 33 : 17.
C, 31 : 17.
D, 2 : 1.
HD: Palmitic acid là 1 trong 4 acid béo cần nhớ trong chương trình hóa THPT: C15H31COOH.
► rất nhiều bạn đọc nhanh ẩu ⇒ số H : số C = 31 : 15 và chọn sai đáp án A.
Tuy nhiên, thật chú ý công thức phân tử của palmitic acid là C16H32O2 ⇒ số H : số C = 2 : 1
⟹ Chọn đáp án D. Đáp án: D
► rất nhiều bạn đọc nhanh ẩu ⇒ số H : số C = 31 : 15 và chọn sai đáp án A.
Tuy nhiên, thật chú ý công thức phân tử của palmitic acid là C16H32O2 ⇒ số H : số C = 2 : 1
⟹ Chọn đáp án D. Đáp án: D
Câu 6 [304967]: Chất nào sau đây không phải acid béo?
A, Oleic acid.
B, Stearic acid.
C, Acetic acid.
D, Palmitic acid.
4 acid béo cần nhớ trong chương trình hóa THPT để ⇒ các chất béo tương ứng gồm:

⇒ Quan sát 4 đáp án thì C. acetic acid không phải là acid béo
⟹Chọn đáp án C. Đáp án: C

⇒ Quan sát 4 đáp án thì C. acetic acid không phải là acid béo
⟹Chọn đáp án C. Đáp án: C
Câu 7 [305029]: Acid béo nào sau đây là acid béo bão hòa?
A, CH3(CH2)14COOH.
B, CH3(CH2)4CH=CHCH2CH=CH(CH2)7COOH.
C, CH3(C14H26)COOH.
D, CH3(C10H18)COOH.
HD: Chú ý: Acid béo có thể bão hòa (không chứa liên kết đôi giữa các nguyên tử carbon) hoặc không bão hòa (có chứa một hoặc nhiều liên kết đôi giữa các nguyên tử carbon) ⇒ acid béo bão hòa có công thức phân tử dạng CnH2nO2.
⇒ Đơn giản, ta chuyển các công thức cấu tạo ở các đáp án về công thức phân tử và kiểm tra thôi:
✔️ A. CH3(CH2)14COOH ⇝ C16H32O2 ⇝ thỏa mãn.
❌ B. CH3(CH2)4CH=CHCH2CH=CH(CH2)7COOH. ⇝ C18H32O2 ⇝ không thỏa mãn.
❌ C. CH3(C14H26)COOH. ⇝ C16H30O2 ⇝ không thỏa mãn.
❌ D. CH3(C10H18)COOH. ⇝ C12H22O2 ⇝ không thỏa mãn.
⟹ Chọn đáp án A Đáp án: A
⇒ Đơn giản, ta chuyển các công thức cấu tạo ở các đáp án về công thức phân tử và kiểm tra thôi:
✔️ A. CH3(CH2)14COOH ⇝ C16H32O2 ⇝ thỏa mãn.
❌ B. CH3(CH2)4CH=CHCH2CH=CH(CH2)7COOH. ⇝ C18H32O2 ⇝ không thỏa mãn.
❌ C. CH3(C14H26)COOH. ⇝ C16H30O2 ⇝ không thỏa mãn.
❌ D. CH3(C10H18)COOH. ⇝ C12H22O2 ⇝ không thỏa mãn.
⟹ Chọn đáp án A Đáp án: A
Câu 8 [305031]: Acid béo nào sau đây là acid béo không bão hòa?
A, CH3(CH2)3CH=CHCH2CH=CHCH2COOH.
B, CH3(C12H24)COOH.
C, CH3(C8H16)COOH.
D, CH3(CH2)11COOH.
HD: Chú ý: Acid béo có thể bão hòa (không chứa liên kết đôi giữa các nguyên tử carbon) hoặc không bão hòa (có chứa một hoặc nhiều liên kết đôi giữa các nguyên tử carbon) ⇒ acid béo bão hòa có công thức phân tử dạng CnH2nO2.
⇒ Đơn giản, ta chuyển các công thức cấu tạo ở các đáp án về công thức phân tử và kiểm tra thôi:
✔️ A. Nhìn nhanh ở cấu tạo có ít nhất hai nối đôi C=C ⇒ rõ ràng là không no ⇝ chưa bão hòa ⇝ thỏa mãn.
❌ B. CH3(C12H24)COOH. ⇝ C14H28O2 ⇝ bão hòa.
❌ C. CH3(C8H16)COOH. ⇝ C10H20O2 ⇝ bão hòa.
❌ D. CH3(CH2)11COOH. ⇝ C13H26O2 ⇝ bão hòa (lại thêm số carbon lẻ nên đây còn không phải là acid béo).
⟹ Chọn đáp án A Đáp án: A
⇒ Đơn giản, ta chuyển các công thức cấu tạo ở các đáp án về công thức phân tử và kiểm tra thôi:
✔️ A. Nhìn nhanh ở cấu tạo có ít nhất hai nối đôi C=C ⇒ rõ ràng là không no ⇝ chưa bão hòa ⇝ thỏa mãn.
❌ B. CH3(C12H24)COOH. ⇝ C14H28O2 ⇝ bão hòa.
❌ C. CH3(C8H16)COOH. ⇝ C10H20O2 ⇝ bão hòa.
❌ D. CH3(CH2)11COOH. ⇝ C13H26O2 ⇝ bão hòa (lại thêm số carbon lẻ nên đây còn không phải là acid béo).
⟹ Chọn đáp án A Đáp án: A
Câu 9 [305032]: Acid béo nào sau đây là acid béo không bão hòa?
A, CH3(CH2)14COOH.
B, CH3(CH2)12COOH.
C, CH3(C14H24)COOH.
D, CH3(C10H20)COOH.
HD: Học cách quan sát nhanh hơn để tìm ra đáp án: tất cả đều có đầu CH3 và đuôi chức carboxylic acid: COOH.
► Nếu mạch no, bão hòa thì sẽ là bội của nhóm CH2 ⇒ tổng quát là (CH2)n. Quan sát 4 đáp án:
❌ A. n = 14 ⇒ CH3(CH2)14COOH ⇝ là một acid béo bão hòa.
❌ B. n = 12 ⇒ CH3(CH2)12COOH. ⇝ là một acid béo bão hòa.
❌ D. n = 10 ⇝ (CH2)10 = C10H20 ⇒ CH3(C10H20)COOH. ⇝ là một acid bão hòa.
⇒ Chọn đáp án C.
Bởi đáng nhẽ C14 thì cần H228 để bão hòa, nhưng đây: CH3(C14H24)COOH chỉ có 24H ⇒ mất 4H ⇄ tương ứng có 2 nối đôi C=C ⇝ là một acid béo không bão hòa. Đáp án: C
► Nếu mạch no, bão hòa thì sẽ là bội của nhóm CH2 ⇒ tổng quát là (CH2)n. Quan sát 4 đáp án:
❌ A. n = 14 ⇒ CH3(CH2)14COOH ⇝ là một acid béo bão hòa.
❌ B. n = 12 ⇒ CH3(CH2)12COOH. ⇝ là một acid béo bão hòa.
❌ D. n = 10 ⇝ (CH2)10 = C10H20 ⇒ CH3(C10H20)COOH. ⇝ là một acid bão hòa.
⇒ Chọn đáp án C.
Bởi đáng nhẽ C14 thì cần H228 để bão hòa, nhưng đây: CH3(C14H24)COOH chỉ có 24H ⇒ mất 4H ⇄ tương ứng có 2 nối đôi C=C ⇝ là một acid béo không bão hòa. Đáp án: C
Câu 10 [305037]: Acid béo nào sau đây tồn tại ở thể lỏng?
A, CH3(C6H12)COOH.
B, CH3(C10H20)COOH.
C, CH3(CH2)3CH=CHCH2CH=CHCH2COOH.
D, CH3(CH2)8COOH.
HD: ☆ Acid béo bão hòa là chất rắn ở nhiệt độ phòng vì tính chất “đều đặn” của chuỗi hydrocarbon cho phép các phân tử tập hợp lại với nhau, dẫn đến tương tác Van der Walls tăng. Chiều dài chuỗi carbon của acid béo càng dài thì tương tác Van der Walls càng lớn, càng cần nhiều năng lượng để tách các phân tử ra khỏi nhau và làm tan chảy chúng ⇒ Nhiệt độ nóng chảy tăng.
Ngược lại: các acid béo không bão hòa phổ biến đều là dạng lỏng ở nhiệt độ phòng vì liên kết đôi làm gián đoạn quá trình các phân tử tập hợp lại với nhau, dẫn đến tương tác Van der Walls giảm, cần ít năng lượng hơn để tách các phân tử ra khỏi nhau.
Quan sát 4 đáp án, các acid béo ứng với cấu tạo ở đáp án: A, B, D là các acid béo no (bão hòa) ⇒ ở trạng thái rắn ở điều kiện thường. Chỉ có đáp án C (cấu tạo có 2 nối đôi C=C) ⇒ là acid béo không bão hòa (chưa no) ⇝ là chất lỏng ở điều kiện thường
⟹ Chọn đáp án C. Đáp án: C
Ngược lại: các acid béo không bão hòa phổ biến đều là dạng lỏng ở nhiệt độ phòng vì liên kết đôi làm gián đoạn quá trình các phân tử tập hợp lại với nhau, dẫn đến tương tác Van der Walls giảm, cần ít năng lượng hơn để tách các phân tử ra khỏi nhau.
Quan sát 4 đáp án, các acid béo ứng với cấu tạo ở đáp án: A, B, D là các acid béo no (bão hòa) ⇒ ở trạng thái rắn ở điều kiện thường. Chỉ có đáp án C (cấu tạo có 2 nối đôi C=C) ⇒ là acid béo không bão hòa (chưa no) ⇝ là chất lỏng ở điều kiện thường
⟹ Chọn đáp án C. Đáp án: C
Câu 11 [305038]: Acid béo nào sau đây tồn tại ở thể rắn trong ở nhiệt độ phòng?
A, CH3(CH2)3CH=CHCH2CH=CH(CH2)6COOH.
B, CH3(CH2)2CH=CHCH2CH=CH(CH2)5COOH.
C, CH3(CH2)8COOH.
D, CH3(CH2)CH=CH(CH2)4COOH.
HD: ☆ Acid béo bão hòa là chất rắn ở nhiệt độ phòng vì tính chất “đều đặn” của chuỗi hydrocarbon cho phép các phân tử tập hợp lại với nhau, dẫn đến tương tác Van der Walls tăng. Chiều dài chuỗi carbon của acid béo càng dài thì tương tác Van der Walls càng lớn, càng cần nhiều năng lượng để tách các phân tử ra khỏi nhau và làm tan chảy chúng ⇒ Nhiệt độ nóng chảy tăng. NGược lại: các acid béo không bão hòa phổ biến đều là dạng lỏng ở nhiệt độ phòng vì liên kết đôi làm gián đoạn quá trình các phân tử tập hợp lại với nhau, dẫn đến tương tác Van der Walls giảm, cần ít năng lượng hơn để tách các phân tử ra khỏi nhau.
Quan sát 4 đáp án, các acid béo ứng với cấu tạo ở đáp án: A, B, D là các acid béo không no (chữa bão hòa) vì đơn giản trong cấu tạo biểu diễn đều có chứa nối đôi C=C; chỉ có đáp án C. CH3(CH2)8COOH là một acid béo no (bão hòa) ⇒ là chất rắn ở điều kiện thường
⟹ Chọn đáp án C. Đáp án: C
Quan sát 4 đáp án, các acid béo ứng với cấu tạo ở đáp án: A, B, D là các acid béo không no (chữa bão hòa) vì đơn giản trong cấu tạo biểu diễn đều có chứa nối đôi C=C; chỉ có đáp án C. CH3(CH2)8COOH là một acid béo no (bão hòa) ⇒ là chất rắn ở điều kiện thường
⟹ Chọn đáp án C. Đáp án: C
Câu 12 [304968]: Linoleic acid là thành phần chủ yếu có trong dầu ngô. Công thức của acid này là C18H32O2. Biết phân tử acid chứa hai nối đôi C=C giữa nguyên tử carbon số 9-10 và 12-13. Công thức nào sau đây là công thức cấu tạo của linoleic acid?
A, 
B, 
C, 
D, 
HD: Phân tích các đáp án: đánh số nguyên tử carbon, với acid thì đánh số C trong nhóm chức COOH là carbon số 1.

⇒ ✔️ A. Thỏa mãn: có 18C và 2 nối đôi ở C số 9-10 và 12-13.

❌ B. Không thỏa mãn vì chất này có 3 nối đôi.

❌ C. Không thỏa mãn vì chất này có 20 carbon.

❌ D. Không thỏa mãn vì chất này có 20 carbon và 3 nối đôi. Đáp án: A

⇒ ✔️ A. Thỏa mãn: có 18C và 2 nối đôi ở C số 9-10 và 12-13.

❌ B. Không thỏa mãn vì chất này có 3 nối đôi.

❌ C. Không thỏa mãn vì chất này có 20 carbon.

❌ D. Không thỏa mãn vì chất này có 20 carbon và 3 nối đôi. Đáp án: A
Câu 13 [304969]: Oleic acid là thành phần chính của mỡ động vật chứa 18 nguyên tử cacbon và có công thức C18H34O2. Một liên kết đôi nằm giữa carbon số 9 và 10. Công thức cấu tạo của oleic acid là
A, 
B, 
C, 
D, 
HD: Phân tích các đáp án: đánh số nguyên tử carbon, với acid thì đánh số C trong nhóm chức COOH là carbon số 1.
⇒ ❌ A. sai vì có 20 carbon > 18 carbon.
⇒ ✔️ B. thỏa mãn vì có đúng 18 carbon và 1 nối đôi ở carbon số 9-10.
⇒ ❌ C. sai vì có 2 nối đôi, trong khi oleic acid chỉ có 1.
⇒ ❌ D. sai vì có 2 nối đôi, trong khi oleic acid chỉ có 1. Đáp án: B
⇒ ❌ A. sai vì có 20 carbon > 18 carbon.
⇒ ✔️ B. thỏa mãn vì có đúng 18 carbon và 1 nối đôi ở carbon số 9-10.
⇒ ❌ C. sai vì có 2 nối đôi, trong khi oleic acid chỉ có 1.
⇒ ❌ D. sai vì có 2 nối đôi, trong khi oleic acid chỉ có 1. Đáp án: B
Câu 14 [1009550]: Acid béo omega-3 và omega-6 đều có vai trò quan trọng đối với cơ thể, giúp phòng ngừa nhiều loại bệnh. Chất nào sau đây thuộc loại acid béo omega-3?
A, 

B, 

C, 

D, 

Để xác định omega-n của một acid béo, cần dựa vào cấu trúc phân tử của nó, cụ thể là vị trí liên kết đôi đầu tiên tính từ đầu methyl (CH3) hay chính là carbon cuối mạch – gọi là đầu omega (ω).
Các đáp án A,C,D có liên kết đôi cách xa, đều là omega - 6 ⟶ loại. Đáp án: B
Các đáp án A,C,D có liên kết đôi cách xa, đều là omega - 6 ⟶ loại. Đáp án: B
Dạng 2: TRẮC NGHIỆM ĐÚNG SAI – mỗi ý a), b), c), d) chọn đúng hoặc sai.
Câu 15 [1009551]: Linoleic acid (có cấu tạo như hình bên dưới) là một trong những acid béo có lợi cho sức khỏe tim mạch, ngăn ngừa các bệnh về tim, động mạch vành.
Phân tích các đáp án:
✔️A. Đúng. Trong phân tử linoleic acid có 3 liên kết π.

❌B. Sai. Ở điều kiện thích hợp, 1 mol trilinolein tác dụng với tối đa 6 mol H2, trong mạch carbon của linoleic acid có 2 liên kết C=C.

✔️C. Đúng. Công thức của chất béo trilinolein là (C17H31COO)3C3H5.
✔️D. Đúng. Linoleic acid thuộc loại omega-6.
✔️A. Đúng. Trong phân tử linoleic acid có 3 liên kết π.

❌B. Sai. Ở điều kiện thích hợp, 1 mol trilinolein tác dụng với tối đa 6 mol H2, trong mạch carbon của linoleic acid có 2 liên kết C=C.

✔️C. Đúng. Công thức của chất béo trilinolein là (C17H31COO)3C3H5.
✔️D. Đúng. Linoleic acid thuộc loại omega-6.
Câu 16 [1009552]: Arachidonic acid (ARA) là một acid béo thiết yếu có vai trò quan trọng trong việc kích hoạt các dây thần kinh trong não và hỗ trợ cho nhiều chức năng khác như hệ miễn dịch, tạo mạch máu, phát triển xương và hoạt động của tim. ARA có công thức cấu tạo như sau:
Phân tích các đáp án:
✔️(a) – Đúng. Trong hóa học chất béo, "omega" (ω) xác định vị trí của liên kết đôi đầu tiên trong chuỗi carbon của acid béo, tính từ phía cuối cùng của chuỗi (nhóm methyl) →ARA thuộc loại acid béo omega-6.

❌(b) – Sai. Trong một phân tử ARA có 10 nhóm methylene (–CH2–).
❌(c) – Sai. Công thức phân của ARA là C19H31COOH
Công thức cấu tạo triester của ARA với glycerol là (C19H31COO)3C3H5.
→Triester của glycerol với ARA có công thức phân tử C63H98O6.
✔️(d) – Đúng. ARA có 4C = C nên a mol ARA tác dụng tối đa với 4a mol H2.
✔️(a) – Đúng. Trong hóa học chất béo, "omega" (ω) xác định vị trí của liên kết đôi đầu tiên trong chuỗi carbon của acid béo, tính từ phía cuối cùng của chuỗi (nhóm methyl) →ARA thuộc loại acid béo omega-6.

❌(b) – Sai. Trong một phân tử ARA có 10 nhóm methylene (–CH2–).
❌(c) – Sai. Công thức phân của ARA là C19H31COOH
Công thức cấu tạo triester của ARA với glycerol là (C19H31COO)3C3H5.
→Triester của glycerol với ARA có công thức phân tử C63H98O6.
✔️(d) – Đúng. ARA có 4C = C nên a mol ARA tác dụng tối đa với 4a mol H2.
Câu 17 [1009553]: Sáp Carnauba là một loại sáp thực vật thu được từ lá cây cọ Carnauba ở Brazil. Sáp Carnauba có thành phần chính là myricyl cerotate, một ester tạo bởi myricyl alcohol có công thức là CH3[CH2]29OH và cerotic acid là một acid béo có công thức CH3[CH2]24COOH. Sáp Carnauba được sử dụng rộng rãi để đánh bóng sàn nhà, ô tô, đồ nội thất,...
Phân tích các đáp án:
❌A. Sai. Chất béo là triester hay ester 3 chức (3 nhóm COO). Myricyl cerotate là một loại ester đơn chức (1 nhóm COO) có mùi thơm nhẹ, ít tan trong nước do cấu trúc phân tử dài và không phân cực. Đây là ester tạo thành từ rượu myricyl và acid cerotic, thường có mặt trong sáp ong và tan tốt trong dung môi hữu cơ.
❌B. Sai. Myricyl cerotate có công thức phân tử là C56H112O2. Tổng số nguyên tử có trong một phân tử myricyl cerotate là 170.
❌C. Sai. Cerotic acid có thể khử nhóm –COOH thành nhóm –CH2OH bằng các chất khử mạnh như LiAlH4 tạo hydrocarbon mạch dài.
❌D. Sai. Cerotic acid không có khả năng làm mất màu dung dịch bromine hoặc thuốc tím vì nó là acid béo no, tức không chứa liên kết đôi C=C trong mạch hydrocarbon. Chỉ những hợp chất có liên kết đôi hoặc nhóm khử (như alkene, phenol, aldehyde) mới phản ứng làm mất màu các dung dịch này.
❌A. Sai. Chất béo là triester hay ester 3 chức (3 nhóm COO). Myricyl cerotate là một loại ester đơn chức (1 nhóm COO) có mùi thơm nhẹ, ít tan trong nước do cấu trúc phân tử dài và không phân cực. Đây là ester tạo thành từ rượu myricyl và acid cerotic, thường có mặt trong sáp ong và tan tốt trong dung môi hữu cơ.
❌B. Sai. Myricyl cerotate có công thức phân tử là C56H112O2. Tổng số nguyên tử có trong một phân tử myricyl cerotate là 170.
❌C. Sai. Cerotic acid có thể khử nhóm –COOH thành nhóm –CH2OH bằng các chất khử mạnh như LiAlH4 tạo hydrocarbon mạch dài.
❌D. Sai. Cerotic acid không có khả năng làm mất màu dung dịch bromine hoặc thuốc tím vì nó là acid béo no, tức không chứa liên kết đôi C=C trong mạch hydrocarbon. Chỉ những hợp chất có liên kết đôi hoặc nhóm khử (như alkene, phenol, aldehyde) mới phản ứng làm mất màu các dung dịch này.
Dạng 3: TRẮC NGHIỆM YÊU CẦU TRẢ LỜI NGẮN
Câu 18 [305373]: Arachidonic acid thuộc loại acid béo không bão hòa có công thức cấu tạo sau:

Số lượng liên kết đôi C=C trong arachidonic acid là

Số lượng liên kết đôi C=C trong arachidonic acid là
HD: Phân tích cấu tạo hình vẽ:

⇒ Đếm rõ: có 5 liên kết đôi C=C trong arachidonic acid ⇝ điền đáp án. 5.

⇒ Đếm rõ: có 5 liên kết đôi C=C trong arachidonic acid ⇝ điền đáp án. 5.
Câu 19 [1009554]: Docosahexaenoic acid (DHA) thuộc loại acid béo omega-n, là thành phần quan trọng của não người, vỏ não, da và võng mạc. Docosahexaenoic acid có công thức cấu tạo:

Giá trị của n là bao nhiêu?

Giá trị của n là bao nhiêu?
Để xác định omega-n của một acid béo, cần dựa vào cấu trúc phân tử của nó, cụ thể là vị trí liên kết đôi đầu tiên tính từ đầu methyl (CH3) – gọi là đầu omega (ω).

⟹ Điền đáp án: 3

⟹ Điền đáp án: 3
Câu 20 [1009555]: Acid béo omega-3 và omega-6 là các acid béo không no với liên kết đôi đầu tiên ở vị trí số 3 và 6 khi đánh số từ nhóm methyl. Acid béo omega-3 và omega-6 đều có vai trò quan trọng đối với cơ thể, giúp phòng ngừa nhiều loại bệnh. Linoleic acid thuộc loại acid béo có công thức cấu tạo:

Tính phân tử khối của linoleic acid.

Tính phân tử khối của linoleic acid.
Công thức phân tử linoleic acid là: C17H31COOH
Phân tử khối của linoleic acid là 12.17 + 31 + 45 = 280 amu.
⟹ Điền đáp án: 280
Phân tử khối của linoleic acid là 12.17 + 31 + 45 = 280 amu.
⟹ Điền đáp án: 280
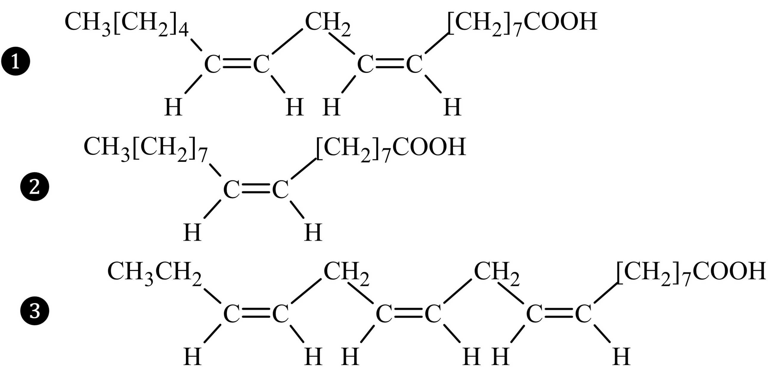
Câu 21 [1009556]: Acid béo là các acid đơn chức có số carbon chẵn, mạch dài, thường không phân nhánh. Cho các acid béo có công thức cấu tạo như sau:

Sắp xếp nhiệt độ nóng chảy của các acid béo trên theo thứ tự tăng dần (VD: 123; 321;…)

Sắp xếp nhiệt độ nóng chảy của các acid béo trên theo thứ tự tăng dần (VD: 123; 321;…)
(1) Công thức: CH3[CH2]4CH=CHCH2CH=CH[CH2]7COOH
Tổng số nguyên tử carbon: 18C
Số lượng liên kết đôi: 2 liên kết đôi.
(2) Công thức: CH3[CH2]7CH=CH[CH2]7COOH
Tổng số nguyên tử carbon: 18C
Số lượng liên kết đôi: 1 liên kết đôi.
(3) Công thức: CH3CH2CH=CHCH2CH=CHCH2CH=CH[CH2]7COOH
Tổng số nguyên tử carbon: 18C
Số lượng liên kết đôi: 3 liên kết đôi.
- Nhiệt độ nóng chảy của các acid béo tăng dần theo độ no và độ dài mạch carbon. Acid béo không no có nhiệt độ nóng chảy thấp hơn acid béo no cùng số carbon, và acid béo có mạch carbon dài hơn thì nóng chảy cao hơn.
- Càng nhiều liên kết đôi, nhiệt độ nóng chảy càng thấp.
Thứ tự tăng dần nhiệt độ nóng chảy: 3 < 1 < 2
⟹ Điền đáp án: 312
Tổng số nguyên tử carbon: 18C
Số lượng liên kết đôi: 2 liên kết đôi.
(2) Công thức: CH3[CH2]7CH=CH[CH2]7COOH
Tổng số nguyên tử carbon: 18C
Số lượng liên kết đôi: 1 liên kết đôi.
(3) Công thức: CH3CH2CH=CHCH2CH=CHCH2CH=CH[CH2]7COOH
Tổng số nguyên tử carbon: 18C
Số lượng liên kết đôi: 3 liên kết đôi.
- Nhiệt độ nóng chảy của các acid béo tăng dần theo độ no và độ dài mạch carbon. Acid béo không no có nhiệt độ nóng chảy thấp hơn acid béo no cùng số carbon, và acid béo có mạch carbon dài hơn thì nóng chảy cao hơn.
- Càng nhiều liên kết đôi, nhiệt độ nóng chảy càng thấp.
Thứ tự tăng dần nhiệt độ nóng chảy: 3 < 1 < 2
⟹ Điền đáp án: 312
Dạng 4: BÀI TẬP ĐỌC HIỂU – đọc thông tin và trả lời các câu hỏi sau đó
ACID BÉO OMEGA-3 VÀ ACID BÉO OMEGA-6
Linolenic acid là một acid béo omega-3, nối đôi C=C đầu tiên ở vị trí carbon số 3 như hình:
Linoleic acid là một acid béo omega-6, nối đôi C=C đầu tiên ở vị trí carbon số 6 như hình:

Acid béo omega-3 là chủ đề được y học quan tâm từ năm 1985. Trong năm đó, các nhà nghiên cứu đã báo cáo kết quả của một nghiên cứu liên quan đến người bản địa ở Greenland. Những người này có tỷ lệ tử vong do bệnh tim rất thấp, mặc dù chế độ ăn của họ rất giàu chất béo.
Các nghiên cứu đã khiến các nhà nghiên cứu kết luận rằng sự đa dạng của cá trong chế độ ăn của người bản địa Greenland có liên quan đến vấn đề này. Các nghiên cứu tiếp tục cho thấy có thể có sự tham gia của acid béo omega-3 trong dầu cá, có thể làm giảm mức cholesterol và chất béo trung tính trong huyết thanh.

Hình I.7. Thực phẩm cá hồi giàu acid béo omega-3
Một nghiên cứu kéo dài 5 năm gần đây về lợi ích của acid béo omega-3 có sự tham gia của 18.000 bệnh nhân có mức cholesterol không tốt cho sức khỏe. Vào cuối cuộc nghiên cứu, những bệnh nhân dùng acid béo omega-3 có chức năng tim mạch tốt hơn và các biến cố mạch vành gây tử vong đã giảm đáng kể.
Câu 22 [305382]: Phát biểu nào sau đây về acid béo omega-3 và acid omega-6 là đúng?
A, Acid béo omega-3 có nối đôi C=C ở vị trí carbon số 3 theo danh pháp IUPAC.
B, Acid béo omega-6 có nối đôi C=C đầu tiên ở vị trí carbon số 6 (tính từ nhóm –CH3).
C, Acid béo omega-3 có nối đôi C=C ở vị trí carbon số 3 (tính từ nhóm –CH3).
D, Acid béo omega-6 có nối đôi C=C đầu tiên ở vị trí carbon số 6 theo danh pháp IUPAC.
HD: Quan sát lại 2 ví dụ về 2 acid béo để phân tích các định nghĩa:


❌ A. Quan sát: Acid béo omega-3: Đánh số trong ảnh là ngược so với danh pháp IUPAC (đánh từ đầu nhóm chức COOH) ⇒ rõ ràng phát biểu này sai.
❌ D. Quan sát: Acid béo omega-6: Đánh số trong ảnh là ngược so với danh pháp IUPAC (đánh từ đầu nhóm chức COOH) ⇒ rõ ràng phát biểu này sai.
Hai phát biểu B và C khác nhau ở chữ "đầu tiên" và nó cũng là yếu tố giúp ta loại bỏ đáp án C, bởi nếu nối đôi đầu tiên ở vị trí số 2, sau đó số 3 tiếp tục nối đôi thì rõ đây không còn là một acid béo omega-3 nữa.
⇝ Chọn đáp án B. ♣ Đáp án: B
❌ A. Quan sát: Acid béo omega-3: Đánh số trong ảnh là ngược so với danh pháp IUPAC (đánh từ đầu nhóm chức COOH) ⇒ rõ ràng phát biểu này sai.
❌ D. Quan sát: Acid béo omega-6: Đánh số trong ảnh là ngược so với danh pháp IUPAC (đánh từ đầu nhóm chức COOH) ⇒ rõ ràng phát biểu này sai.
Hai phát biểu B và C khác nhau ở chữ "đầu tiên" và nó cũng là yếu tố giúp ta loại bỏ đáp án C, bởi nếu nối đôi đầu tiên ở vị trí số 2, sau đó số 3 tiếp tục nối đôi thì rõ đây không còn là một acid béo omega-3 nữa.
⇝ Chọn đáp án B. ♣ Đáp án: B
Câu 23 [305391]: Acid nào sau đây là acid béo omega-3?
A, 
B, 
C, 
D, 
HD: Đánh số từ đầu nhóm CH3 và quan sát:
⇒ ❌ A. loại vì đây là một acid omega-6.
⇒ ✔️ B. thỏa mãn là một acid omega-3.
⇒ ❌ C. loại vì đây là một acid omega-6.
⇒ ❌ D. loại vì đây không phải là acid omega-3 cũng như acid omega-6. Đáp án: B
⇒ ❌ A. loại vì đây là một acid omega-6.
⇒ ✔️ B. thỏa mãn là một acid omega-3.
⇒ ❌ C. loại vì đây là một acid omega-6.
⇒ ❌ D. loại vì đây không phải là acid omega-3 cũng như acid omega-6. Đáp án: B
Câu 24 [305395]: Acid nào sau đây không phải là acid omega-6?
A, 
B, 
C, 
D, 
HD: Đánh số từ phía nhóm CH3 là 1, acid omega-6 sẽ có nối đôi bắt đầu từ carbon được đánh số 6:
⇒ ✔️ A. Thỏa mãn là một acid omega-6.
⇒ ✔️ B. Thỏa mãn là một acid omega-6.
⇒ ✔️ C. Thỏa mãn là một acid omega-6.
⇒ ❌ D. Không thỏa mãn là một acid omega-6. Đáp án: D
⇒ ✔️ A. Thỏa mãn là một acid omega-6.
⇒ ✔️ B. Thỏa mãn là một acid omega-6.
⇒ ✔️ C. Thỏa mãn là một acid omega-6.
⇒ ❌ D. Không thỏa mãn là một acid omega-6. Đáp án: D
ACID BÉO OMEGA-3
Ngày nay, thế giới có một sự quan tâm đáng kể đến việc kết hợp acid béo omega-3 vào trong chế độ ăn uống hằng ngày. Mặc dù những lợi ích sức khỏe tiềm ẩn chưa được chứng minh đầy đủ nhưng những người ủng hộ cho biết có một số bằng chứng cho thấy chúng làm giảm huyết áp, giảm nguy cơ đau tim và đột quỵ. Acid béo omega-3 có trong cá và dầu thực vật.Các hợp chất này là carboxylic acid chuỗi dài, không bão hòa và có một số hợp chất xuất hiện trong tự nhiên. Từ “omega” trong tên dùng để chỉ nguyên tử carbon cuối cùng trong chuỗi carbon của acid béo vì omega cũng là chữ cái cuối cùng trong bảng chữ cái. Số 3 chỉ ra rằng có một liên kết đôi giữa các nguyên tử carbon 3 và 4 khi tính từ nhóm CH3 ở cuối.
Một ví dụ về acid béo omega-3 là 7,10,13-hexadecatrienoic acid, có cấu tạo như sau:

Hình I.8. Phân tích cấu tạo và tên gọi của 7,10,13-hexadecatrienoic acid
Việc đặt tên cho các phân tử lớn phức tạp là một thách thức, nhưng có thể giải mã cấu tạo từ tên gọi của nó. Hexadeca xác định đây là hợp chất chứa 16 nguyên tử carbon (ghép hexa-6 và deca-10; tương tự octadeca là 18;…), trien cho chúng ta biết có 3 liên kết đôi; cùng các số 7, 10 và 13 cho biết tương ứng vị trí của 3 nối đôi này trên mạch chính carbon; cuối cùng, phần đuôi oic acid cho biết đó là carboxylic acid.
Câu 25 [305405]: Trong hình vẽ cấu tạo phân tử 7,10,13-hexadecatrienoic acid, có bao nhiêu nhóm methylene (–CH2–)?
A, 9.
B, 11.
C, 8.
D, 5.
HD: Triển khai cấu tạo rõ ràng của 7,10,13-hexadecatrienoic acid:
⇒ có 8 nhóm methylene CH2 như làm rõ trên hình ⇝ Chọn đáp án C. ♣ Đáp án: C
⇒ có 8 nhóm methylene CH2 như làm rõ trên hình ⇝ Chọn đáp án C. ♣ Đáp án: C
Câu 26 [305410]: Một acid béo omega-3 có tên là: 9,12,15-octadecatrienoic acid. Giải mã cấu tạo từ tên gọi cho biết thông tin nào sau đây về cấu tạo của acid béo trên là không đúng?
A, Có 18 nguyên tử carbon.
B, Có 3 liên kết π.
C, Có chứa nhóm COOH.
D, Có duy nhất một nhóm methyl (–CH3).
HD: Giải mã tên gọi: 9,12,15-octadecatrienoic acid:
• Khung carbon: octadeca = octa (8) + deca (1) = 18 nguyên tử carbon ⇝ A đúng.
• Chức: đuôi oic acid cho biết nhóm chức chính là carboxylic acid COOH ⇝ C đúng.
• Chỉ số: 9,12,15-...trien: tri = 3, en = nối đôi ⇒ có 3 nối đôi C=C ở các vị trí carbon số 9, 12, 15.
Phân tích: 9,12,15-octadecatrienoic aicd có 3πC=C + 1πC=O (trong nhóm chức acid COOH) ⇒ ∑π = 4 ⇝ B sai.
• Không cần vẽ cấu tạo, bạn đọc cũng có thể khẳng định D đúng, mạch acid béo không phân nhánh, 1 đầu là nhóm chức COOH rồi, đầu còn lại sẽ là nhóm CH3 và cũng là duy nhất. Đáp án: B
• Khung carbon: octadeca = octa (8) + deca (1) = 18 nguyên tử carbon ⇝ A đúng.
• Chức: đuôi oic acid cho biết nhóm chức chính là carboxylic acid COOH ⇝ C đúng.
• Chỉ số: 9,12,15-...trien: tri = 3, en = nối đôi ⇒ có 3 nối đôi C=C ở các vị trí carbon số 9, 12, 15.
Phân tích: 9,12,15-octadecatrienoic aicd có 3πC=C + 1πC=O (trong nhóm chức acid COOH) ⇒ ∑π = 4 ⇝ B sai.
• Không cần vẽ cấu tạo, bạn đọc cũng có thể khẳng định D đúng, mạch acid béo không phân nhánh, 1 đầu là nhóm chức COOH rồi, đầu còn lại sẽ là nhóm CH3 và cũng là duy nhất. Đáp án: B
Câu 27 [305411]: Một acid béo omega-3 có công thức cấu tạo biểu diễn như sau:
Tên gọi của acid béo omega-3 này là
Tên gọi của acid béo omega-3 này là
A, 3,6,9,12,15-octadecapentaenoic acid.
B, 6,9,12,15-octadecatetraenoic acid.
C, 9,12,15-octadecatrienoic acid.
D, 12,15-octadecadienoic acid.
HD: Trong cấu tạo của acid béo, đánh số carbon từ C trong nhóm chức COOH là 1, mọi vấn đề sẽ được giải quyết nhanh chóng:
• có 18 nguyên tử carbon ⇒ octadeca.
• nhóm chức carboxylic acid ⇒ đuôi oic acid.
• có 5 nối đôi ⇒ pentaen; các vị trí nối đôi: 3,6,9,12,15
⇒ Ghép lại: 3,6,9,12,15-octadecapentaenoic acid ⇝ Chọn đáp án A. ♥ Đáp án: A
• có 18 nguyên tử carbon ⇒ octadeca.
• nhóm chức carboxylic acid ⇒ đuôi oic acid.
• có 5 nối đôi ⇒ pentaen; các vị trí nối đôi: 3,6,9,12,15
⇒ Ghép lại: 3,6,9,12,15-octadecapentaenoic acid ⇝ Chọn đáp án A. ♥ Đáp án: A
MỘT VÀI THỨ XUNG QUANH DẦU OLIVE
Khi mọi người quyết định thực hiện chế độ ăn kiêng giảm cân, họ thường tập trung chủ yếu vào hàm lượng calorie trong thực phẩm. Khi điều này được thực hiện, chất béo, acid béo và dầu có hàm lượng calorie cao thường là những thực phẩm đầu tiên bị loại khỏi chế độ ăn.Mặc dù điều này có ý nghĩa từ góc độ tính toán lượng calorie, nhưng nó có thể không hợp lý khi xem xét các yếu tố khác, chẳng hạn như sự có lợi của một số chất béo đến sức khỏe đã bị bỏ qua.

Dầu olive (dầu ô-liu) là một ví dụ điển hình về loại acid béo mang lại nhiều lợi ích cho sức khỏe khi được đưa vào chế độ ăn uống. Loại acid béo chính được tìm thấy trong tất cả các loại dầu ô-liu là acid béo không bão hòa, trong đó oleic acid chiếm thành phần chủ yếu. Acid béo không bão hòa được coi là acid béo lành mạnh. Có bằng chứng cho thấy bổ sung acid béo không bão hòa trong chế độ ăn uống giúp giảm mức cholesterol toàn phần trong cơ thể, và đặc biệt là mức lipoprotein mật độ thấp (LDL) không mong muốn. Một số kết quả nghiên cứu cho thấy acid béo không bão hòa có thể giúp duy trì quá trình đông máu và huyết áp bình thường, đồng thời có thể hỗ trợ kiểm soát lượng đường trong máu.
Dầu ô-liu còn được biết đến như một nguồn cung cấp chất chống oxy hóa mạnh gọi là polyphenol, được cho là giúp làm chậm sự phát triển của chứng xơ vữa động mạch hoặc thu hẹp động mạch. Thậm chí còn có một số bằng chứng cho thấy rằng dầu ô-liu trong chế độ ăn uống có thể giúp bảo vệ chống lại chứng mất trí nhớ do tuổi tác, bệnh Alzheimer và một số loại ung thư, chẳng hạn như ung thư vú.
Bất chấp tất cả những tin tốt trên, không nên bỏ qua vấn đề hàm lượng calorie cao trong dầu ô-liu. Do đó, cần phải chú ý đến khẩu phần ăn và nhớ tiêu thụ dầu ô-liu thay thế cho các loại thực phẩm có hàm lượng calo cao khác.
Câu 28 [305413]: Theo như bài đọc, nhận định nào sau đây là sai?
A, Chất béo, acid béo và dầu có hàm lượng calorie cao.
B, Loại acid béo chính được tìm thấy trong dầu ô liu là acid béo không bão hòa.
C, Acid béo không bão hòa được coi là acid béo không lành mạnh.
D, Bổ sung dầu olive giúp giảm mức cholesterol toàn phần trong cơ thể.
HD: Đọc kỹ và phân tích các đáp án:
✔️ A. đúng. Thông tin có ngay ở đoạn 1 bài đọc: "Khi điều này được thực hiện, chất béo, acid béo và dầu có hàm lượng calorie cao thường là những thực phẩm đầu tiên bị loại khỏi chế độ ăn."
✔️ B. đúng. Thông tin có ở đoạn 3 bài đọc: "Loại acid béo chính được tìm thấy trong tất cả các loại dầu ô-liu là acid béo không bão hòa, trong đó oleic acid chiếm thành phần chủ yếu."
❌ C. sai. Thông tin ở tiếp ngay câu trích phương án B. "Acid béo không bão hòa được coi là acid béo lành mạnh."
✔️ D. đúng. Thông tin có ở đoạn 3 bài đọc: "Có bằng chứng cho thấy bổ sung acid béo không bão hòa trong chế độ ăn uống giúp giảm mức cholesterol toàn phần trong cơ thể, và đặc biệt là mức lipoprotein mật độ thấp (LDL) không mong muốn." Đáp án: C
✔️ A. đúng. Thông tin có ngay ở đoạn 1 bài đọc: "Khi điều này được thực hiện, chất béo, acid béo và dầu có hàm lượng calorie cao thường là những thực phẩm đầu tiên bị loại khỏi chế độ ăn."
✔️ B. đúng. Thông tin có ở đoạn 3 bài đọc: "Loại acid béo chính được tìm thấy trong tất cả các loại dầu ô-liu là acid béo không bão hòa, trong đó oleic acid chiếm thành phần chủ yếu."
❌ C. sai. Thông tin ở tiếp ngay câu trích phương án B. "Acid béo không bão hòa được coi là acid béo lành mạnh."
✔️ D. đúng. Thông tin có ở đoạn 3 bài đọc: "Có bằng chứng cho thấy bổ sung acid béo không bão hòa trong chế độ ăn uống giúp giảm mức cholesterol toàn phần trong cơ thể, và đặc biệt là mức lipoprotein mật độ thấp (LDL) không mong muốn." Đáp án: C
Câu 29 [305414]: Acid béo không bão hòa chiếm thành phần chủ yếu trong dầu olive là
A, Palmitic acid.
B, Oleic acid.
C, Stearic acid.
D, Linoleic acid.
HD: Dựa vào thông tin đoạn 3 của bài đọc "Loại acid béo chính được tìm thấy trong tất cả các loại dầu ô-liu là acid béo không bão hòa, trong đó oleic acid chiếm thành phần chủ yếu."
⇒ Trả lời: Acid béo không bão hòa chiếm thành phần chủ yếu trong dầu olive là oleic acid ⇝ Chọn đáp án B. ♦ Đáp án: B
⇒ Trả lời: Acid béo không bão hòa chiếm thành phần chủ yếu trong dầu olive là oleic acid ⇝ Chọn đáp án B. ♦ Đáp án: B
Câu 30 [305421]: Acid béo nào sau đây thuộc loại acid béo không bão hoà?
A, 
B, 
C, 

D, 
HD: Các cấu tạo trong 4 phương án cần thỏa mãn 2 điều kiện:
• một, nó phải là acid béo đã ⇝ loại C và D bởi C. có mạch phân nhánh, D mạch ngắn, chỉ có 3 carbon.
• hai, không bão hòa (không no) ⇝ loại A bởi cấu tạo này không có nối đôi C=C trong mạch ⇝ Chọn đáp án B. ♦
Cấu tạo đáp án B thỏa mãn là một acid béo và có nối đôi C=C ⇒ không bão hòa.! Đáp án: B
• một, nó phải là acid béo đã ⇝ loại C và D bởi C. có mạch phân nhánh, D mạch ngắn, chỉ có 3 carbon.
• hai, không bão hòa (không no) ⇝ loại A bởi cấu tạo này không có nối đôi C=C trong mạch ⇝ Chọn đáp án B. ♦
Cấu tạo đáp án B thỏa mãn là một acid béo và có nối đôi C=C ⇒ không bão hòa.! Đáp án: B
Dạng 5. Tự luận
Câu 31 [1010341]: a) Xác định cụm từ thích hợp và điền vào chỗ trống: “Carbon omega là nguyên tử carbon của nhóm methyl nằm ở cuối mạch carbon trong acid béo. Một acid béo được gọi là omega-n (n là số thứ tự vị trí của liên kết đôi đầu tiên tính từ carbon omega). Một acid béo không no được gọi là acid béo omega-3 nếu có _____________ trên nguyên carbon __________ tính từ carbon omega. Tương tự, nếu một acid béo không no có liên kết đôi carbon-carbon ở vị trí carbon thứ sáu tính từ carbon omega, thì nó được gọi là ______________.”
b) Xác định tên gọi theo omega-n của các acid béo có cấu trúc như sau:
b) Xác định tên gọi theo omega-n của các acid béo có cấu trúc như sau:
a, Carbon omega là nguyên tử carbon của nhóm methyl nằm ở cuối mạch carbon trong acid béo. Một acid béo được gọi là omega-n (n là số thứ tự vị trí của liên kết đôi đầu tiên tính từ carbon omega). Một acid béo không no được gọi là acid béo omega-3 nếu có “liên kết đôi” trên nguyên “carbon thứ 3” tính từ carbon omega. Tương tự, nếu một acid béo không no có liên kết đôi carbon-carbon ở vị trí carbon thứ sáu tính từ carbon omega, thì nó được gọi là “omega-6”.
b,

b,

Câu 32 [1010342]: Caprylic acid là một acid béo no chứa 8 nguyên tử carbon có trong dầu dừa (10%) và dầu hạt cọ (4%). Chất béo tạo bởi glycerol và caprylic acid được sử dụng trong mĩ phẩm với công dụng làm mịn da, chống oxi hoá giúp bảo quản mĩ phẩm được lâu hơn.
a) Viết công thức khung phân tử của caprylic acid.
b) Viết công thức cấu tạo triglyceride tạo bởi glycerol và caprylic acid. Gọi tên.
a) Viết công thức khung phân tử của caprylic acid.
b) Viết công thức cấu tạo triglyceride tạo bởi glycerol và caprylic acid. Gọi tên.
a, Caprylic acid là acid béo no, có 8 nguyên tử C.
Dạng tổng quát: CH3–(CH2)6–COOH.
Công thức khung:

b, Glycerol có công thức: CH2OH–CHOH–CH2OH
Mỗi nhóm OH của glycerol tạo ester với 1 phân tử acid caprylic → tạo triester.

Tên của triglyceride này là glyceryl caprylate.
Dạng tổng quát: CH3–(CH2)6–COOH.
Công thức khung:

b, Glycerol có công thức: CH2OH–CHOH–CH2OH
Mỗi nhóm OH của glycerol tạo ester với 1 phân tử acid caprylic → tạo triester.

Tên của triglyceride này là glyceryl caprylate.