Dạng 1. TRẮC NGHIỆM KHÁCH QUAN: mỗi câu hỏi chỉ có một đáp án đúng.
Câu 1 [305039]: Chất béo là triester của acid béo với
A, Ethyl alcohol.
B, Glycerol.
C, Methyl alcohol.
D, Ethylene glycol.
HD: ► Chất béo là các triester (ester ba chức) của glycerol với các acid béo, gọi chung là các triglyceride.
⇝ Chọn đáp án B. ♦ Đáp án: B
⇝ Chọn đáp án B. ♦ Đáp án: B
Câu 2 [305040]: Số nhóm chức ester có trong mỗi phân tử chất béo là
A, 1.
B, 4.
C, 2.
D, 3.
HD: ► Chất béo là các triester (ester ba chức) của glycerol với các acid béo, gọi chung là các triglyceride.

Triester ⇄ Ester 3 chức (tri = 3)
⇒ Chọn đáp án D Đáp án: D

Triester ⇄ Ester 3 chức (tri = 3)
⇒ Chọn đáp án D Đáp án: D
Câu 3 [305041]: Số nguyên tử oxygen trong một phân tử chất béo là
A, 6.
B, 2.
C, 4.
D, 8.
HD: ► Chất béo là các triester (ester ba chức) của glycerol với các acid béo, gọi chung là các triglyceride.

Triester ⇄ Ester 3 chức ⇄ 3 nhóm COO ⇄ có 6 nguyên tử oxygen ⇝ Chọn đáp án A. ♥ Đáp án: A

Triester ⇄ Ester 3 chức ⇄ 3 nhóm COO ⇄ có 6 nguyên tử oxygen ⇝ Chọn đáp án A. ♥ Đáp án: A
Câu 4 [305042]: Công thức nào sau đây có thể là công thức của chất béo?
A, C17H35COOC3H5.
B, (C17H33COO)2C2H4.
C, (C15H31COO)3C3H5.
D, CH3COOC6H5.
HD: Chất béo là các triester (ester ba chức) của glycerol với các acid béo, gọi chung là các triglyceride.
⇒ Phân tích các đáp án:
❌ A. C17H35COOC3H5: loại vì chỉ có 1 nhóm chức ester COO (ester đơn chức)
❌ B. (C17H33COO)2C2H4: loại vì chỉ có 2 nhóm chức ester COO (ester hai chức)
✔️ C. (C15H31COO)3C3H5: thỏa mãn vì có 3 nhóm chức ester COO (triester, ester ba chức); để ý thì gốc acid là palmitate là của một acid béo.
❌ D. CH3COOC6H5: loại vì đây là một ester đơn chức.
⟹ Chọn đáp án C Đáp án: C
⇒ Phân tích các đáp án:
❌ A. C17H35COOC3H5: loại vì chỉ có 1 nhóm chức ester COO (ester đơn chức)
❌ B. (C17H33COO)2C2H4: loại vì chỉ có 2 nhóm chức ester COO (ester hai chức)
✔️ C. (C15H31COO)3C3H5: thỏa mãn vì có 3 nhóm chức ester COO (triester, ester ba chức); để ý thì gốc acid là palmitate là của một acid béo.
❌ D. CH3COOC6H5: loại vì đây là một ester đơn chức.
⟹ Chọn đáp án C Đáp án: C
Câu 5 [305043]: Công thức nào sau đây không phải là chất béo?
A, (C15H31COO)3C3H5.
B, (CH3COO)3C3H5.
C, (C17H35COO)3C3H5.
D, (C17H33COO)3C3H5.
HD: Quan sát 4 đáp án chọn nhanh B bởi gốc acid CH3COO từ CH3COOH: acetic acid không phải là acid béo ⇝ Chọn đáp án B. ♦
☆ 3 đáp án còn lại là 3 chất béo quen thuộc (3/4 chất béo cần nhớ):
✔️ A. (C15H31COO)3C3H5: tripalmitin.
✔️ C. (C17H35COO)3C3H5: tristearin.
✔️ D. (C17H33COO)3C3H5: triolein. Đáp án: B
☆ 3 đáp án còn lại là 3 chất béo quen thuộc (3/4 chất béo cần nhớ):
✔️ A. (C15H31COO)3C3H5: tripalmitin.
✔️ C. (C17H35COO)3C3H5: tristearin.
✔️ D. (C17H33COO)3C3H5: triolein. Đáp án: B
Câu 6 [1009557]: Công thức nào sau đây không phải là của một chất béo?
A, (C15H31COO)2C2H4.
B, (C17H35COO)3C3H5.
C, (C17H33COO)3C3H5.
D, (C15H31COO)3C3H5.
Chất béo là triester của glycerol (C3H5(OH)3) với acid béo (acid có mạch dài, không phân nhánh), thường là các acid no hoặc không no như stearic acid (C17H35COOH), oleic acid
(C17H33COOH), palmitic acid (C15H31COOH)...
Công thức chung của chất béo: (RCOO)3C3H5
→ Gồm 3 gốc acid béo gắn vào phân tử glycerol.
Các đáp án khác:
✔️B. (C17H35COO)3C3H5. Tristearin
✔️C. (C17H33COO)3C3H5. Triolein
✔️D. (C15H31COO)3C3H5. Tripalmitin
⟹ Chọn đáp án A
Đáp án: A
(C17H33COOH), palmitic acid (C15H31COOH)...
Công thức chung của chất béo: (RCOO)3C3H5
→ Gồm 3 gốc acid béo gắn vào phân tử glycerol.
Các đáp án khác:
✔️B. (C17H35COO)3C3H5. Tristearin
✔️C. (C17H33COO)3C3H5. Triolein
✔️D. (C15H31COO)3C3H5. Tripalmitin
⟹ Chọn đáp án A
Đáp án: A
Câu 7 [305044]: Chất béo là một thành phần cơ bản trong thức ăn của người và động vật, có nhiều trong mô mỡ của động vật, trong một số loại hạt và quả. Công thức nào biểu diễn một chất béo?
A, C17H35COOH.
B, C3H5(OH)3.
C, (CH3COO)3C3H5.
D, (C17H35COO)3C3H5.
HD: Quan sát nhanh 4 đáp án thì rõ D. (C17H35COO)3C3H5: đây là một chất béo. nó là 1/4 chất béo cần nhớ, cần thuộc trong chương trình THPT, không xa lạ chính là tristearin.
⟹ Chọn đáp án D
Các chất còn lại:
❌ A. C17H35COOH: đây là một acid béo (strearic acid)
❌ B. C3H5(OH)3: alcohol đa chức: glycerol.
❌ C. (CH3COO)3C3H5: ester 3 chức nhưng gốc CH3COO không phải là gốc acid béo. Đáp án: D
⟹ Chọn đáp án D
Các chất còn lại:
❌ A. C17H35COOH: đây là một acid béo (strearic acid)
❌ B. C3H5(OH)3: alcohol đa chức: glycerol.
❌ C. (CH3COO)3C3H5: ester 3 chức nhưng gốc CH3COO không phải là gốc acid béo. Đáp án: D
Câu 8 [305046]: Số liên kết pi (π) trong một phân tử triolein là
A, 3.
B, 4.
C, 1.
D, 6.
HD: ► Cách 1: dựa vào gốc oleate có 1 nối đôi C=C ⇒ triolein (3 gốc oleate) ⇒ có tương ứng 3 nối đôi C=C. lại thật để ý trong nhóm COO có một nối đôi C=O ⇒ 3 nhóm COO là 3 nối đôi C=O ⇒ ∑ tổng có 6 nối đôi; mỗi nối đôi gồm 1π + 1σ ⇒ có 6 liên kết π trong triolein nhé.!
► Cách 2: triolein nằm trong 4 chất béo cần nhớ trong chương trình:

⇒ Từ C57H104O6 ⇒ độ bất bão hòa k = 6 cho biết trong triolein có 6π
⟹Chọn đáp án D. Đáp án: D
► Cách 2: triolein nằm trong 4 chất béo cần nhớ trong chương trình:

⇒ Từ C57H104O6 ⇒ độ bất bão hòa k = 6 cho biết trong triolein có 6π
⟹Chọn đáp án D. Đáp án: D
Câu 9 [305047]: Chất béo nào sau đây thuộc loại chất chất béo không bão hoà?
A, (CH3[CH2]2COO)3C3H5.
B, (CH3[CH2]4CH=CH[CH2]6COO)3C3H5.
C, (CH3[CH2]9COO)3C3H5.
D, (CH3[CH2]7COO)3C3H5.
HD: Bão hòa = no; không bão hòa = không no. Quan sát nhanh 4 đáp án, rõ ràng ở cấu tạo B. (CH3[CH2]4CH=CH[CH2]6COO)3C3H5 có nối đôi C=C không no ⇝ đây là một chất béo không bão hòa ⇝ Chọn đáp án B. ♦ Đáp án: B
Câu 10 [305048]: Tristearin là mỡ động vật có trong thịt bò. Công thức của tristearin là
A, (C2H5COO)3C3H5.
B, (C17H35COO)3C3H5.
C, (CH3COO)3C3H5.
D, (HCOO)3C3H5.
► Tristearin là chất béo cần nhớ trong chương trình: (C17H35COO)3C3H5 ⟹ Chọn đáp án B.
Nếu tạm thời chưa nhớ, chúng ta cũng có thể loại trừ nhanh bởi:
❌ A. (C2H5COO)3C3H5: gốc acid là C2H5COO ⇝ propionate không phải là gốc acid béo.
❌ C. (CH3COO)3C3H5: gốc acid là CH3COO ⇝ acetate không phải là gốc acid béo.
❌ D. (HCOO)3C3H5: gốc acid là CH3COO ⇝ formate không phải là gốc acid béo. Đáp án: B
Nếu tạm thời chưa nhớ, chúng ta cũng có thể loại trừ nhanh bởi:
❌ A. (C2H5COO)3C3H5: gốc acid là C2H5COO ⇝ propionate không phải là gốc acid béo.
❌ C. (CH3COO)3C3H5: gốc acid là CH3COO ⇝ acetate không phải là gốc acid béo.
❌ D. (HCOO)3C3H5: gốc acid là CH3COO ⇝ formate không phải là gốc acid béo. Đáp án: B
Câu 11 [305050]: Công thức của triolein là
A, (HCOO)3C3H5.
B, (C17H33COO)3C3H5.
C, (C2H5COO)3C3H5.
D, (CH3COO)3C3H5.
► Triolein là chất béo cần nhớ trong chương trình: (C17H33COO)3C3H5 ⟹ Chọn đáp án B. ♦
Nếu tạm thời chưa nhớ, chúng ta cũng có thể loại trừ nhanh bởi:
❌ A. (HCOO)3C3H5: gốc acid là CH3COO ⇝ formate không phải là gốc acid béo.
❌ C. (C2H5COO)3C3H5: gốc acid là C2H5COO ⇝ propionate không phải là gốc acid béo.
❌ D. (CH3COO)3C3H5: gốc acid là CH3COO ⇝ acetate không phải là gốc acid béo. Đáp án: B
Nếu tạm thời chưa nhớ, chúng ta cũng có thể loại trừ nhanh bởi:
❌ A. (HCOO)3C3H5: gốc acid là CH3COO ⇝ formate không phải là gốc acid béo.
❌ C. (C2H5COO)3C3H5: gốc acid là C2H5COO ⇝ propionate không phải là gốc acid béo.
❌ D. (CH3COO)3C3H5: gốc acid là CH3COO ⇝ acetate không phải là gốc acid béo. Đáp án: B
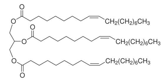
Câu 12 [305045]: Trong thành phần dầu Ô-liu chứa một chất béo có cấu tạo như sau:

Thành phần các gốc acid béo có trong cấu tạo trên là

Thành phần các gốc acid béo có trong cấu tạo trên là
A, 2 gốc oleate và 1 gốc palmitate.
B, 2 gốc linoleate và 1 gốc stearate.
C, 1 gốc stearate và 2 gốc palmitate.
D, 1 gốc linoleate và 2 gốc oleate.
HD: Trước hết, các bạn cần nắm được 4 acid béo cần nhớ trong chương trình:
⇒ Phân tích có 2 gốc 18 carbon và đúng 1 nối đôi C=C đó là oleate; còn lại 1 gốc 18 carbon và có đúng 2 nối đôi C=C ⇒ đó là gốc linoleate (oleate và linoleate là 2 gốc không no; còn 2 gốc còn lại đều no)
⇒ Thành phần các gốc acid béo có trong cấu tạo trên là 1 gốc linoleate và 2 gốc oleate ⇝ Chọn đáp án D. ♠ Đáp án: D
⇒ Phân tích có 2 gốc 18 carbon và đúng 1 nối đôi C=C đó là oleate; còn lại 1 gốc 18 carbon và có đúng 2 nối đôi C=C ⇒ đó là gốc linoleate (oleate và linoleate là 2 gốc không no; còn 2 gốc còn lại đều no)
⇒ Thành phần các gốc acid béo có trong cấu tạo trên là 1 gốc linoleate và 2 gốc oleate ⇝ Chọn đáp án D. ♠ Đáp án: D
Câu 13 [305051]: Phân tử chất béo E được cấu tạo từ một gốc palmitate và hai gốc stearate liên kết với gốc hydrocarbon của glycerol. Số đồng phân cấu tạo của E thỏa mãn là
A, 1.
B, 2.
C, 3.
D, 4.
HD: Bộ khung gốc hydrocarbon của glycerol:
Quan sát ⇝ đính một gốc palmitate và hai gốc stearate ta có 2 đồng phân sau:
Đáp án: B
Quan sát ⇝ đính một gốc palmitate và hai gốc stearate ta có 2 đồng phân sau:
Đáp án: B Dạng 2: TRẮC NGHIỆM ĐÚNG SAI – mỗi ý a), b), c), d) chọn đúng hoặc sai.
Câu 14 [1009558]: Chất béo là thành phần dinh dưỡng cơ bản của con người, đồng thời là dạng tích trữ năng lượng quan trọng và giúp duy trì nhiệt độ cho cơ thể.
Phân tích các đáp án:
❌A. Sai. Chất béo là triester của glycerol với acid béo (acid có mạch dài, không phân nhánh), thường là các acid no hoặc không no như stearic, acid oleic acid, palmitic acid ...Acid béo là cacboxylic acid đơn chức có mạch cacbon dài, không phân nhánh, thường gồm:
- Một nhóm –COOH (acid)
- Một chuỗi hydrocacbon mạch dài (thường từ 12 đến 24 nguyên tử C)
❌B. Sai. Chất béo là các ester của glycerol với acid béo, có cấu trúc phân tử lớn và ít phân cực nên không tan trong nước, vốn là dung môi phân cực mạnh. Theo nguyên tắc "chất phân cực tan trong dung môi phân cực, chất không phân cực tan trong dung môi không phân cực", chất béo chỉ tan trong các dung môi hữu cơ như xăng, ether, chloroform…
✔️C. Đúng. Bơ thực vật được làm từ dầu thực vật nhờ quá trình hydrogen hóa, trong đó khí hydrogen được cộng vào các liên kết đôi của acid béo không no dưới tác dụng của xúc tác nickel. Quá trình này làm giảm độ không no, biến dầu lỏng thành chất béo rắn hoặc bán rắn, giúp bơ thực vật dễ bảo quản hơn và có cấu trúc giống bơ động vật.
❌D. Sai. Triolein là loại chất béo có nhiều trong dầu thực vật và có 6 liên kết π trong phân tử.
Triolein có 3 gốc oleat (C17H33COO) kết hợp với gốc hiđrocacbon của glixerol (C3H5). mỗi gốc oleat gồm 1π C=O + 1π C=C nên tổng triolein có 6π.
❌A. Sai. Chất béo là triester của glycerol với acid béo (acid có mạch dài, không phân nhánh), thường là các acid no hoặc không no như stearic, acid oleic acid, palmitic acid ...Acid béo là cacboxylic acid đơn chức có mạch cacbon dài, không phân nhánh, thường gồm:
- Một nhóm –COOH (acid)
- Một chuỗi hydrocacbon mạch dài (thường từ 12 đến 24 nguyên tử C)
❌B. Sai. Chất béo là các ester của glycerol với acid béo, có cấu trúc phân tử lớn và ít phân cực nên không tan trong nước, vốn là dung môi phân cực mạnh. Theo nguyên tắc "chất phân cực tan trong dung môi phân cực, chất không phân cực tan trong dung môi không phân cực", chất béo chỉ tan trong các dung môi hữu cơ như xăng, ether, chloroform…
✔️C. Đúng. Bơ thực vật được làm từ dầu thực vật nhờ quá trình hydrogen hóa, trong đó khí hydrogen được cộng vào các liên kết đôi của acid béo không no dưới tác dụng của xúc tác nickel. Quá trình này làm giảm độ không no, biến dầu lỏng thành chất béo rắn hoặc bán rắn, giúp bơ thực vật dễ bảo quản hơn và có cấu trúc giống bơ động vật.
❌D. Sai. Triolein là loại chất béo có nhiều trong dầu thực vật và có 6 liên kết π trong phân tử.
Triolein có 3 gốc oleat (C17H33COO) kết hợp với gốc hiđrocacbon của glixerol (C3H5). mỗi gốc oleat gồm 1π C=O + 1π C=C nên tổng triolein có 6π.
Câu 15 [1009559]: Cho chất X là thành phần chính trong một loại dầu thực vật và có cấu tạo:
Phân tích các đáp án:
❌(a) – Sai. X thuộc loại chất béo không no, trong phân tử có 6 liên kết π.
✔️(b) – Đúng. Khi sử dụng làm thực phẩm, X sẽ cung cấp omega-6 cho cơ thể.

❌(c) – Sai. Ở điều kiện thường, chất béo có thể tồn tại ở thể rắn hoặc lỏng tùy thuộc vào thành phần axit béo cấu tạo nên chúng. Tuy nhiên, hầu hết các chất béo đều có khối lượng riêng nhỏ hơn 1 g/mL, nên không tan và nhẹ hơn nước.
✔️(d) – Đúng. Dùng nước xà phòng có thể rửa sạch chất béo bám trên vật dụng vì phân tử xà phòng vừa có phần ưa nước vừa có phần ưa chất béo. Nhờ đó, xà phòng bao lấy các giọt chất béo, tạo thành micelle giúp chất béo phân tán trong nước và bị cuốn trôi dễ dàng.
❌(a) – Sai. X thuộc loại chất béo không no, trong phân tử có 6 liên kết π.
✔️(b) – Đúng. Khi sử dụng làm thực phẩm, X sẽ cung cấp omega-6 cho cơ thể.

❌(c) – Sai. Ở điều kiện thường, chất béo có thể tồn tại ở thể rắn hoặc lỏng tùy thuộc vào thành phần axit béo cấu tạo nên chúng. Tuy nhiên, hầu hết các chất béo đều có khối lượng riêng nhỏ hơn 1 g/mL, nên không tan và nhẹ hơn nước.
✔️(d) – Đúng. Dùng nước xà phòng có thể rửa sạch chất béo bám trên vật dụng vì phân tử xà phòng vừa có phần ưa nước vừa có phần ưa chất béo. Nhờ đó, xà phòng bao lấy các giọt chất béo, tạo thành micelle giúp chất béo phân tán trong nước và bị cuốn trôi dễ dàng.
Dạng 3: Tự luận
Câu 16 [1010343]: Hạt Macca (hay Macadamia) là một trong những nguồn lipid lành mạnh nhất. Một trong những acid béo có trong hạt Macca là palmitoleic acid. Triglyceride tạo bởi ba gốc của palmitoleic acid và glycerol là glyceryl tripalmitoleate (tripalmitolein) có công thức phân tử là C51H92O6. Viết công thức của chất béo và xác định công thức phân tử của của palmitoleic acid.
Triglyceride tạo bởi ba gốc của palmitoleic acid và glycerol là glyceryl tripalmitoleate (tripalmitolein)
Công thức của chất béo là (C15H29COO)3C3H5
Công thức của palmitoleic acid là C15H29COOH.
Công thức của chất béo là (C15H29COO)3C3H5
Công thức của palmitoleic acid là C15H29COOH.
Câu 17 [1010344]: Cho công thức khung phân tử của một số acid béo như sau:

Xác định công thức cấu tạo (dạng (CxHyCOO)3C3H5) của các triglyceride: trilaurin, trimyristin, triarachidin, trilinolein và triolein.

Xác định công thức cấu tạo (dạng (CxHyCOO)3C3H5) của các triglyceride: trilaurin, trimyristin, triarachidin, trilinolein và triolein.
Xác định công thức cấu tạo (dạng (CxHyCOO)3C3H5) của các triglyceride:
Trilaurin: (C11H23COO)3C3H5
Trimyristin (C13H27COO)3C3H5
Triarachidin (C19H39COO)3C3H5
Trilinolein (C17H31COO)3C3H5
Triolein (C17H33COO)3C3H5
Trilaurin: (C11H23COO)3C3H5
Trimyristin (C13H27COO)3C3H5
Triarachidin (C19H39COO)3C3H5
Trilinolein (C17H31COO)3C3H5
Triolein (C17H33COO)3C3H5