Dạng 1. TRẮC NGHIỆM KHÁCH QUAN: mỗi câu hỏi chỉ có một đáp án đúng.
Câu 1 [308360]: Khi đun nóng dung dịch đường saccharose có xúc tác acid vô cơ ta được dung dịch chứa
A, glucose và maltose.
B, glucose và glycogen.
C, fructose và maltose.
D, glucose và fructose.
Saccharose cấu tạo từ glucose và fructose nên thủy phân ta thu được tương ứng sản phẩm là glucose và fructose.

⟹Chọn đáp án D. Đáp án: D

⟹Chọn đáp án D. Đáp án: D
Câu 2 [308361]: Các chất có thể tham gia phản ứng thủy phân là
A, glucose, saccharose.
B, chất béo, acetic acid.
C, saccharose, ethanol.
D, saccharose, chất béo.
Phân tích các đáp án:
❌ A. glucose là monosaccharide nên không tham gia thủy phân.
❌ B. Acetic acid: CH3COOH không bị thủy phân.
❌ C. Ethanol: C2H5OH cũng không bị thủy phân.
⇒ chỉ có đáp án D. saccharose, chất béo gồm 2 chất đều có khả năng thủy phân:
• saccharose + H2O ––H+→ glucose + fructose.
• chất béo + H2O ––H+→ acid béo + glycerol.
⟹ Chọn đáp án D Đáp án: D
❌ A. glucose là monosaccharide nên không tham gia thủy phân.
❌ B. Acetic acid: CH3COOH không bị thủy phân.
❌ C. Ethanol: C2H5OH cũng không bị thủy phân.
⇒ chỉ có đáp án D. saccharose, chất béo gồm 2 chất đều có khả năng thủy phân:
• saccharose + H2O ––H+→ glucose + fructose.
• chất béo + H2O ––H+→ acid béo + glycerol.
⟹ Chọn đáp án D Đáp án: D
Câu 3 [1009764]: Trong dung dịch, saccharose phản ứng với Cu(OH)2 cho dung dịch màu
A, Vàng.
B, Xanh lam.
C, Tím.
D, Nâu đỏ.
Dung dịch màu xanh lam được tạo thành khi cho dung dịch saccharose tác dụng với copper(II) hydroxide trong môi trường kiềm.
2C12H22O11 + Cu(OH)2 ⟶Cu(C12H21O11)2 + 2H2O.
⟹ Chọn đáp án B
Đáp án: B
2C12H22O11 + Cu(OH)2 ⟶Cu(C12H21O11)2 + 2H2O.
⟹ Chọn đáp án B
Đáp án: B
Câu 4 [308362]: Dung dịch saccharose phản ứng chất X tạo ra dung dịch màu xanh lam đặc trưng. Chất X là
A, H2/Ni, tº.
B, AgNO3/NH3.
C, H2O/H+, to.
D, Cu(OH)2/OH–.
HD: Phân tích các đáp án:
❌ A. saccharose + H2/Ni, to: không xảy ra phản ứng, không có hiện tượng gì.
❌ B. saccharose + AgNO3/NH3: saccharose không tráng bạc, nên cũng không có hiện tượng.
❌ C. saccharose + H2O/H+, to: xảy ra phản ứng thủy phân thu được glucose + fructose cùng trạng thái và màu sắc nên cũng không có hiện tượng quan sát được.
✔️ D. saccharose + Cu(OH)2/OH–: xảy ra phản ứng do tính chất của polyalcohol có OH liền kề của saccharose tương tự như glucose và fructose:
2C12H22O11 (saccharose) + Cu(OH)2 → Cu(C12H21O11)2 (phức chất màu xanh lam) + 2H2O.
⇒ Hiện tượng quan sát được đúng theo yêu cầu ⇝ Chọn đáp án D. ♠ Đáp án: D
❌ A. saccharose + H2/Ni, to: không xảy ra phản ứng, không có hiện tượng gì.
❌ B. saccharose + AgNO3/NH3: saccharose không tráng bạc, nên cũng không có hiện tượng.
❌ C. saccharose + H2O/H+, to: xảy ra phản ứng thủy phân thu được glucose + fructose cùng trạng thái và màu sắc nên cũng không có hiện tượng quan sát được.
✔️ D. saccharose + Cu(OH)2/OH–: xảy ra phản ứng do tính chất của polyalcohol có OH liền kề của saccharose tương tự như glucose và fructose:
2C12H22O11 (saccharose) + Cu(OH)2 → Cu(C12H21O11)2 (phức chất màu xanh lam) + 2H2O.
⇒ Hiện tượng quan sát được đúng theo yêu cầu ⇝ Chọn đáp án D. ♠ Đáp án: D
Câu 5 [1009765]: Saccharose và glucose đều có phản ứng
A, cộng H2 (Ni, to).
B, tráng bạc.
C, với Cu(OH)2.
D, thủy phân.
✨Glucose thể hiện tính chất hoá học của alcohol đa chức và của hợp chất carbonyl.
+ Phản ứng với copper(II) hydroxide tạo thành phức chất màu xanh lam, tan trong nước.
+ Phản ứng với thuốc thử Tollens tạo thành kết tủa bạc kim loại (phản ứng tráng bạc)
+ Phản ứngvới nước bromine làm nước bromine bị mất màu.
+ Phản ứng với alcohol.
✨Saccharose có những tính chất của một alcohol đa chức. Ngoài ra, saccharose thuộc loại disaccharide nên có thể tham gia phản ứng thuỷ phân để tạo thành monosaccharide.
+ Phản ứng với copper(II) hydroxide tạo thành dung dịch màu xanh lam.
+ Phản ứng thuỷ phân.
Kết luận: Glucose và saccharose đều có phản ứng với Cu(OH)2.
⟹ Chọn đáp án C Đáp án: C
+ Phản ứng với copper(II) hydroxide tạo thành phức chất màu xanh lam, tan trong nước.
+ Phản ứng với thuốc thử Tollens tạo thành kết tủa bạc kim loại (phản ứng tráng bạc)
+ Phản ứngvới nước bromine làm nước bromine bị mất màu.
+ Phản ứng với alcohol.
✨Saccharose có những tính chất của một alcohol đa chức. Ngoài ra, saccharose thuộc loại disaccharide nên có thể tham gia phản ứng thuỷ phân để tạo thành monosaccharide.
+ Phản ứng với copper(II) hydroxide tạo thành dung dịch màu xanh lam.
+ Phản ứng thuỷ phân.
Kết luận: Glucose và saccharose đều có phản ứng với Cu(OH)2.
⟹ Chọn đáp án C Đáp án: C
Câu 6 [1009766]: Phản ứng nào sau đây không xảy ra?
A, Glucose + AgNO3/NH3.
B, Fructose + Cu(OH)2/OH-.
C, Saccharose + Br2/H2O.
D, Saccharose + H2O (H+, to).
Phân tích các đáp án:
✔️A. Đúng. Glucose phản ứng với AgNO3/NH3 tạo thành kết tủa bạc kim loại (phản ứng tráng bạc)
HOCH2[CHOH]4CHO + 2AgNO3 + 3NH3 + H2O
HOCH2[CHOH]4COONH4 + 2Ag↓ + 2NH4NO3.
✔️B. Đúng. Fructose phản ứng với Cu(OH)2/OH- tạo thành phức chất màu xanh lam, tan trong nước.
2C6H12O6 + Cu(OH)2 ⟶ Cu(C6H11O6)2 + 2H2O.
❌C. Sai. Saccharose không phản ứng với nước bromine trong H2O.
✔️D. Đúng. Saccharose bị thuỷ phân tạo thành glucose và fructose. Phản ứng xảy ra khi có xác tác acid hoặc có mặt enzyme. C12H22O11 + H2O
C6H12O6 + C6H12O6.
⟹ Chọn đáp án C Đáp án: C
✔️A. Đúng. Glucose phản ứng với AgNO3/NH3 tạo thành kết tủa bạc kim loại (phản ứng tráng bạc)
HOCH2[CHOH]4CHO + 2AgNO3 + 3NH3 + H2O
HOCH2[CHOH]4COONH4 + 2Ag↓ + 2NH4NO3.
✔️B. Đúng. Fructose phản ứng với Cu(OH)2/OH- tạo thành phức chất màu xanh lam, tan trong nước.
2C6H12O6 + Cu(OH)2 ⟶ Cu(C6H11O6)2 + 2H2O.
❌C. Sai. Saccharose không phản ứng với nước bromine trong H2O.
✔️D. Đúng. Saccharose bị thuỷ phân tạo thành glucose và fructose. Phản ứng xảy ra khi có xác tác acid hoặc có mặt enzyme. C12H22O11 + H2O
C6H12O6 + C6H12O6.⟹ Chọn đáp án C Đáp án: C
Câu 7 [1009767]: Maltose thường được tạo ra trong quá trình
A, Lên men rượu.
B, Thủy phân tinh bột từng phần.
C, Quá trình quang hợp ở cây xanh.
D, Phân hủy protein.
Phân tích các đáp án
❌A. Sai. Lên men rượu tạo thành ethanol.Maltose không phải sản phẩm chính của quá trình này.
✔️B. Đúng. Maltose có nhiều trong mạch nha (sản phẩm thuỷ phân không hoàn toàn tinh bột).
❌C. Sai. Quá trình quang hợp tạo ra glucose. Maltose không phải sản phẩm của quá trình quang hợp.
❌D. Sai. Protein là polymer của các amino acid. Quá trình phân hủy protein sẽ tạo ra các peptide và amino acid, không tạo ra maltose.
⟹ Chọn đáp án B Đáp án: B
❌A. Sai. Lên men rượu tạo thành ethanol.Maltose không phải sản phẩm chính của quá trình này.
✔️B. Đúng. Maltose có nhiều trong mạch nha (sản phẩm thuỷ phân không hoàn toàn tinh bột).
❌C. Sai. Quá trình quang hợp tạo ra glucose. Maltose không phải sản phẩm của quá trình quang hợp.
❌D. Sai. Protein là polymer của các amino acid. Quá trình phân hủy protein sẽ tạo ra các peptide và amino acid, không tạo ra maltose.
⟹ Chọn đáp án B Đáp án: B
Câu 8 [308363]: Cho các carbohydrate sau: glucose, fructose, saccharose và maltose. Số carbohydrate có khả năng mở vòng trong dung dịch nước là
A, 1.
B, 2.
C, 3.
D, 4.
4 chất trong dãy: glucose, fructose, saccharose và maltose thì saccharose không có khả năng mở vòng; còn lại 3 chất thỏa mãn. Điều này thể hiện ở việc saccharose không có tính khử.
⟹ Chọn đáp án C. Đáp án: C
⟹ Chọn đáp án C. Đáp án: C
Câu 9 [705421]: Cho dung dịch các saccharide sau: fructose, glucose, saccharose. Để phân biệt các saccharide này không thể chỉ dùng các thuốc thử nào sau đây?
A, Nước bromine và dung dịch acid.
B, Thuốc thử Tollens và nước bromine.
C, Nước bromine và hồ tinh bột.
D, Nước bromine và Cu(OH)2/NaOH (t°).
Phân tích các thuốc thử:
✔️ A. Có thể phân biệt được các mẫu:
+) Cho nước bromine vào 3 dung dịch sẽ nhận biết được glucose (có nhóm chức aldehyde CHO)
+) Khi cho dung dịch acid vào 2 mẫu dung dịch còn lại, đun nóng thì saccharose sẽ bị thủy phân thành glucose và fructose. Khi này dùng nhỏ nước bromine vào 2 mẫu thì ở mẫu chứa saccharose sẽ có phản ứng (của glucose với nước bromine) nên nhận biết được saccharose
+) Mẫu còn lại không có phản ứng nào là fructose.
✔️ B. Có thể phân biệt được các mẫu:
+) Cho thuốc thử Tollens vào 3 mẫu thì chỉ có saccharose là không có phản ứng tráng bạc nên nhận biết được saccharose.
+) Khi cho nước bromine vào 2 mẫu còn lại là glu và fruc thì chỉ có glu có phản ứng nên phân biệt được 2 mẫu.
C. Không thể phân biệt được các mẫu:
+) Nước bromine nhận biết được glucose.
+) Hồ tinh bột dùng để nhận biết iodine nên không phân biệt được fructose và saccharose.
✔️ D. Có thể phân biệt được các mẫu:
+) Nước bromine nhận biết được glucose.
+) Cu(OH)2/NaOH khi được cho vào 2 mẫu fruc và saccha, đun nóng thì fructose trong môi trường kiềm bị chuyển hóa thành glucose sẽ xuất hiện kết tủa đỏ gạch Cu2O còn saccha thì không.
⇒ Chọn đáp án C Đáp án: C
✔️ A. Có thể phân biệt được các mẫu:
+) Cho nước bromine vào 3 dung dịch sẽ nhận biết được glucose (có nhóm chức aldehyde CHO)
+) Khi cho dung dịch acid vào 2 mẫu dung dịch còn lại, đun nóng thì saccharose sẽ bị thủy phân thành glucose và fructose. Khi này dùng nhỏ nước bromine vào 2 mẫu thì ở mẫu chứa saccharose sẽ có phản ứng (của glucose với nước bromine) nên nhận biết được saccharose
+) Mẫu còn lại không có phản ứng nào là fructose.
✔️ B. Có thể phân biệt được các mẫu:
+) Cho thuốc thử Tollens vào 3 mẫu thì chỉ có saccharose là không có phản ứng tráng bạc nên nhận biết được saccharose.
+) Khi cho nước bromine vào 2 mẫu còn lại là glu và fruc thì chỉ có glu có phản ứng nên phân biệt được 2 mẫu.
C. Không thể phân biệt được các mẫu:
+) Nước bromine nhận biết được glucose.
+) Hồ tinh bột dùng để nhận biết iodine nên không phân biệt được fructose và saccharose.
✔️ D. Có thể phân biệt được các mẫu:
+) Nước bromine nhận biết được glucose.
+) Cu(OH)2/NaOH khi được cho vào 2 mẫu fruc và saccha, đun nóng thì fructose trong môi trường kiềm bị chuyển hóa thành glucose sẽ xuất hiện kết tủa đỏ gạch Cu2O còn saccha thì không.
⇒ Chọn đáp án C Đáp án: C
Câu 10 [1009768]: Một disaccharide X không tác dụng với dung dịch AgNO3/NH3. Thuỷ phân X (xúc tác acid) thu được dung dịch Y chứa các monosaccharide. Dung dịch Y vừa làm mất màu dung dịch bromine, vừa tạo kết tủa Ag với thuốc thử Tollens. Phát biểu nào sau đây về X và Y là không đúng?
A, Y có chứa hợp chất 2,3,4,5,6-pentahydroxyhexanal.
B, Giữa 2 đơn vị monosaccharide có liên kết 1,1-glycoside.
C, Trong dung dịch Y có chứa fructose.
D, Chất X không phải là maltose.
Một disaccharide X không tác dụng với dung dịch AgNO3/NH3.
⟶ Dung dịch AgNO3/NH3 dùng để nhận biết nhóm CHO của đường khử. X không tác dụng với dung dịch AgNO3/NH3 chứng tỏ X không phải là đường khử.
- X là một dissacharide có saccharose và maltose. Saccharose không khử (không có nhóm CHO). Maltose là đường khử.
⟶ X là saccharose.
Thuỷ phân X (xúc tác acid) thu được dung dịch Y chứa các monosaccharide
- Saccharose khi thuỷ phân trong môi trường xúc tác acid tạo ra dung dịch Y chứa các monosaccharise. Monosaccharise gồm glucose và fructose .
⟶ Y gồm glucose và fructose.
Phân tích các đáp án:
✔️A. Đúng. Y thuộc loại hợp chất 2,3,4,5,6-pentahydroxyhexanal là tên gọi của glucose.
❌B. Sai. Giữa 2 đơn vị monosaccharide có liên kết 1,2-glycoside.
✔️C. Đúng. Trong dung dịch Y có chứa fructose.
✔️D. Đúng. Chất X không phải là maltose. Chất X là saccharose.
⟹ Chọn đáp án B
Đáp án: B
⟶ Dung dịch AgNO3/NH3 dùng để nhận biết nhóm CHO của đường khử. X không tác dụng với dung dịch AgNO3/NH3 chứng tỏ X không phải là đường khử.
- X là một dissacharide có saccharose và maltose. Saccharose không khử (không có nhóm CHO). Maltose là đường khử.
⟶ X là saccharose.
Thuỷ phân X (xúc tác acid) thu được dung dịch Y chứa các monosaccharide
- Saccharose khi thuỷ phân trong môi trường xúc tác acid tạo ra dung dịch Y chứa các monosaccharise. Monosaccharise gồm glucose và fructose .
⟶ Y gồm glucose và fructose.
Phân tích các đáp án:
✔️A. Đúng. Y thuộc loại hợp chất 2,3,4,5,6-pentahydroxyhexanal là tên gọi của glucose.
❌B. Sai. Giữa 2 đơn vị monosaccharide có liên kết 1,2-glycoside.
✔️C. Đúng. Trong dung dịch Y có chứa fructose.
✔️D. Đúng. Chất X không phải là maltose. Chất X là saccharose.
⟹ Chọn đáp án B
Đáp án: B
Câu 11 [308364]: Cho biến thiên enthalpy của các chất như sau: ΔcHo (glucose) = –2803 kJ.mol–1; ΔcHo (saccharose) = –5640 kJ.mol–1. Xác định glucose (C6H12O6) hay saccharose (C12H22O11) cung cấp năng lượng nhiều hơn trên 1 gam mỗi chất.
A, Glucose cung cấp nhiều năng lượng hơn saccharose là 2837 kJ.
B, Glucose cung cấp nhiều năng lượng hơn saccharose là 919 J.
C, Saccharose cung cấp nhiều năng lượng hơn glucose là 2837 kJ.
D, Saccharose cung cấp nhiều năng lượng hơn glucose là 919 J.
HD: Phân tích:
• biến thiên enthalpy của glucose: ΔcHo (glucose) = –2803 kJ.mol–1
Nghĩa là 1 mol ⇄ 180 gam glucose cung cấp 2803 kJ năng lượng.
⇒ Theo tỉ lệ 1 gam glucose sẽ cung cấp tương ứng năng lượng là 2803 ÷ 180 ≈ 15,572 kJ.
• Tương tự biến thiên enthalpy của saccharose: ΔcHo (saccharose) = –5640 kJ.mol–1
Nghĩa là 1 mol ⇄ 342 gam saccharose cung cấp 5640 kJ năng lượng.
⇒ Theo tỉ lệ 1 gam saccharose sẽ cung cấp tương ứng năng lượng là 5640 ÷ 342 ≈ 16,491 kJ.
⇒ 1 gam saccharose cung cấp nhiều hơn 1 gam glucose 16,491 – 15,572 = 0,919 kJ ⇄ 919 J năng lượng
⇒ Chọn đáp án D Đáp án: D
• biến thiên enthalpy của glucose: ΔcHo (glucose) = –2803 kJ.mol–1
Nghĩa là 1 mol ⇄ 180 gam glucose cung cấp 2803 kJ năng lượng.
⇒ Theo tỉ lệ 1 gam glucose sẽ cung cấp tương ứng năng lượng là 2803 ÷ 180 ≈ 15,572 kJ.
• Tương tự biến thiên enthalpy của saccharose: ΔcHo (saccharose) = –5640 kJ.mol–1
Nghĩa là 1 mol ⇄ 342 gam saccharose cung cấp 5640 kJ năng lượng.
⇒ Theo tỉ lệ 1 gam saccharose sẽ cung cấp tương ứng năng lượng là 5640 ÷ 342 ≈ 16,491 kJ.
⇒ 1 gam saccharose cung cấp nhiều hơn 1 gam glucose 16,491 – 15,572 = 0,919 kJ ⇄ 919 J năng lượng
⇒ Chọn đáp án D Đáp án: D
Dạng 2: TRẮC NGHIỆM ĐÚNG SAI – mỗi ý a), b), c), d) chọn đúng hoặc sai.
Câu 12 [704034]: Saccharose có phản ứng với copper(II) hydroxide tương tự như glucose, thí nghiệm được tiến hành như sau:
▪ Bước 1: Cho vào ống nghiệm khoảng 0,5 mL dung dịch NaOH 10 % và khoảng 0,5 mL dung dịch CuSO4 5 %, lắc đều.
▪ Bước 2: Thêm tiếp vào ống nghiệm khoảng 4 mL dung dịch saccharose 3 %, lắc đều ống nghiệm đến khi thu được dung dịch đồng nhất (nếu còn chất rắn thì thêm tiếp dung dịch saccharose).
▪ Bước 3: Đun nóng dung dịch trong ống nghiệm.
▪ Bước 1: Cho vào ống nghiệm khoảng 0,5 mL dung dịch NaOH 10 % và khoảng 0,5 mL dung dịch CuSO4 5 %, lắc đều.
▪ Bước 2: Thêm tiếp vào ống nghiệm khoảng 4 mL dung dịch saccharose 3 %, lắc đều ống nghiệm đến khi thu được dung dịch đồng nhất (nếu còn chất rắn thì thêm tiếp dung dịch saccharose).
▪ Bước 3: Đun nóng dung dịch trong ống nghiệm.
Phân tích các phát biểu:
❌ a. Sai. Cần có môi trường kiềm để phản ứng hòa tan Cu(OH)2 xảy ra.
✔️ b. Đúng. Tại bước 2 đã có phản ứng của dung dịch saccharose với Cu(OH)2:
2C12H22O11 + Cu(OH)2 ⟶ [Cu(C12H21O11)2] + 2H2O
✔️ c. Đúng. Saccharose có phản ứng với Cu(OH)2 chứng tỏ phân tử saccharose có ít nhất 2 nhóm OH liền kề.
❌ d. Sai. Phân tử saccharose không có khả năng mở vòng → không có nhóm chức aldehyde nên không phản ứng Cu(OH)2/OH- để tạo được Cu2O.
❌ a. Sai. Cần có môi trường kiềm để phản ứng hòa tan Cu(OH)2 xảy ra.
✔️ b. Đúng. Tại bước 2 đã có phản ứng của dung dịch saccharose với Cu(OH)2:
2C12H22O11 + Cu(OH)2 ⟶ [Cu(C12H21O11)2] + 2H2O
✔️ c. Đúng. Saccharose có phản ứng với Cu(OH)2 chứng tỏ phân tử saccharose có ít nhất 2 nhóm OH liền kề.
❌ d. Sai. Phân tử saccharose không có khả năng mở vòng → không có nhóm chức aldehyde nên không phản ứng Cu(OH)2/OH- để tạo được Cu2O.
Câu 13 [308367]: Khi nhỏ từ từ H2SO4 đậm đặc vào một cốc chứa đường sucrose thì xuất hiện chất rắn màu đen. Sau đó cột chất rắn đen dâng lên và có khí thoát ra.
C12H22O11 ––H2SO4 đặc→ 12C + 11H2O.
C + 2H2SO4 → 2SO2↑ + CO2↑ + 2H2O.
Hiện tượng thí nghiệm được cho dưới đây: 
HD: Phân tích các phát biểu:
✔️ a. đúng. H2SO4 háo nước, cướp mất nước trong đường ⇒ đường chỉ còn carbon; mà ta biết rồi: "đen như than".
❌ b. sai. Ở phương trình C + H2SO4 ta thấy rõ ngoài thu được khí CO2 thì còn khí SO2.
✔️ c. đúng. Các khí CO2; SO2 sinh ra đẩy carbon vô định hình, xốp lên cao như hình vẽ.
✔️ d. đúng. H2SO4 có tính háo nước như ý a. phân tích và có tính oxi hóa mạnh khi phản ứng với chất khử là carbon (C) sinh ra khí như ở ý b. và c.
✔️ a. đúng. H2SO4 háo nước, cướp mất nước trong đường ⇒ đường chỉ còn carbon; mà ta biết rồi: "đen như than".
❌ b. sai. Ở phương trình C + H2SO4 ta thấy rõ ngoài thu được khí CO2 thì còn khí SO2.
✔️ c. đúng. Các khí CO2; SO2 sinh ra đẩy carbon vô định hình, xốp lên cao như hình vẽ.
✔️ d. đúng. H2SO4 có tính háo nước như ý a. phân tích và có tính oxi hóa mạnh khi phản ứng với chất khử là carbon (C) sinh ra khí như ở ý b. và c.
Câu 14 [308368]: Cho sơ đồ chuyển hoá sau:

Biết rằng X, Y, Z, T là các chất hữu cơ khác nhau.

Biết rằng X, Y, Z, T là các chất hữu cơ khác nhau.
HD: Phân tích sơ đồ chuyển hóa:
Đầu tiên là phản ứng saccharose trong môi trường acid thu được glucose và fructose.
► Chú ý: cả glucose và fructose đều có khả năng + AgNO3/NH3 (tráng bạc); tuy nhiên, fructose không + Br2 + H2O mà chỉ có glucose ⇒ Y là glucose còn X là fructose.
Theo đó, phương trình phản ứng và xác định các chất còn lại như sau:
• C12H22O11 (saccharose) ––H+, to→ C6H12O6 (Y: glucose) + C6H12O6 (X: fructose).
• X + 2AgNO3 + 3NH3 ––to→ CH2OH[CHOH]4COONH4 (T: ammonium gluconate) + 2Ag↓ + 2NH4NO3.
• Y + Br2 + H2O → CH2OH[CHOH]4COOH (Z: gluconic acid) + 2HBr.
► Fructose tráng bạc được là do có sự chuyển hóa trong môi trường base (do NH3): fructose ⇄OH–⇄ glucose; cũng vì đó mà sản phẩm T thu được là muối ammonium gluconate như phân tích trên.
HD: Phân tích các phát biểu:
❌ a. sai theo phân tích trên, X là fructose chứ không phải glucose.
✔️ b. đúng theo phân tích trên, T là ammonium gluconate: CH2OH[CHOH]4COONH4.
❌ c. sai vì cấu tạo của Y = glucose có 5 nhóm OH và 1 nhóm CHO ở dạng mạch hở.
✔️ d. đúng theo phân tích trên, Z là gluconic acid: CH2OH[CHOH]4COOH.
Đầu tiên là phản ứng saccharose trong môi trường acid thu được glucose và fructose.
► Chú ý: cả glucose và fructose đều có khả năng + AgNO3/NH3 (tráng bạc); tuy nhiên, fructose không + Br2 + H2O mà chỉ có glucose ⇒ Y là glucose còn X là fructose.
Theo đó, phương trình phản ứng và xác định các chất còn lại như sau:
• C12H22O11 (saccharose) ––H+, to→ C6H12O6 (Y: glucose) + C6H12O6 (X: fructose).
• X + 2AgNO3 + 3NH3 ––to→ CH2OH[CHOH]4COONH4 (T: ammonium gluconate) + 2Ag↓ + 2NH4NO3.
• Y + Br2 + H2O → CH2OH[CHOH]4COOH (Z: gluconic acid) + 2HBr.
► Fructose tráng bạc được là do có sự chuyển hóa trong môi trường base (do NH3): fructose ⇄OH–⇄ glucose; cũng vì đó mà sản phẩm T thu được là muối ammonium gluconate như phân tích trên.
HD: Phân tích các phát biểu:
❌ a. sai theo phân tích trên, X là fructose chứ không phải glucose.
✔️ b. đúng theo phân tích trên, T là ammonium gluconate: CH2OH[CHOH]4COONH4.
❌ c. sai vì cấu tạo của Y = glucose có 5 nhóm OH và 1 nhóm CHO ở dạng mạch hở.
✔️ d. đúng theo phân tích trên, Z là gluconic acid: CH2OH[CHOH]4COOH.
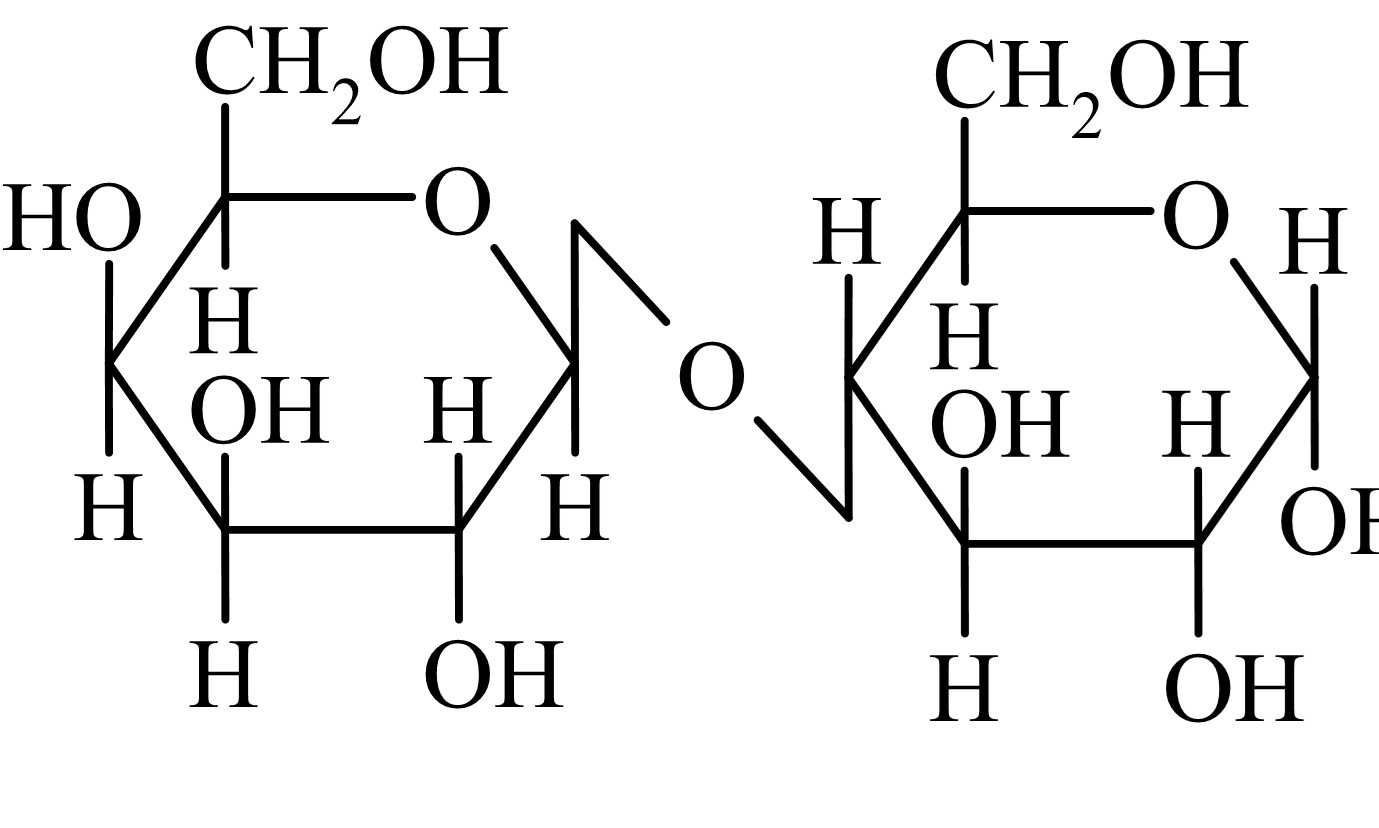
Câu 15 [1009769]: Lactose là một đường được chủ yếu tìm thấy trong sữa, có cấu tạo gồm một đơn vị galactase và một đơn vị glucose liên kết với nhau qua liên kết
β-1,4 glycoside. Cấu trúc của đường lactose cho ở hình bên.
β-1,4 glycoside. Cấu trúc của đường lactose cho ở hình bên.
Phân tích các phát biểu:
✔️a. Đúng. Lactose có nhóm -OH hemicetal có khả năng mở vòng trả lại nhóm -CHO nên có thể tham gia phản ứng làm mất màu nước bromine.
✔️b. Đúng. Lactose là đường khử, vì vòng glucose còn nhóm hemiacetal (–OH gắn với C1), có thể mở vòng tạo nhóm –CHO. Do đó lactose phản ứng với thuốc thử Tollens (AgNO3/NH3) tạo kết tủa bạc (Ag).
❌c. Sai. Lacose bị thủy phân tạo thành glucose và galactose khi có xúc tác acid hoặc có mặt của enzyme.
✔️d. Đúng. Lactose có nhiều nhóm OH liền kề nên thể hiện tính chất của polyalcohol nên phản ứng với copper(II) hydroxide ở nhiệt độ thường
✔️a. Đúng. Lactose có nhóm -OH hemicetal có khả năng mở vòng trả lại nhóm -CHO nên có thể tham gia phản ứng làm mất màu nước bromine.
✔️b. Đúng. Lactose là đường khử, vì vòng glucose còn nhóm hemiacetal (–OH gắn với C1), có thể mở vòng tạo nhóm –CHO. Do đó lactose phản ứng với thuốc thử Tollens (AgNO3/NH3) tạo kết tủa bạc (Ag).
❌c. Sai. Lacose bị thủy phân tạo thành glucose và galactose khi có xúc tác acid hoặc có mặt của enzyme.
✔️d. Đúng. Lactose có nhiều nhóm OH liền kề nên thể hiện tính chất của polyalcohol nên phản ứng với copper(II) hydroxide ở nhiệt độ thường
Dạng 3: TRẮC NGHIỆM YÊU CẦU TRẢ LỜI NGẮN
Câu 16 [1009771]: Cho các tính chất sau:
(1) có vị ngọt;
(2) dễ tan trong nước;
(3) bị thuỷ phân trong môi trường acid;
(4) có phản ứng tráng bạc;
(5) hoà tan Cu(OH)2 thành dung dịch xanh lam.
Có bao nhiêu tính chất đúng với saccharose?
(1) có vị ngọt;
(2) dễ tan trong nước;
(3) bị thuỷ phân trong môi trường acid;
(4) có phản ứng tráng bạc;
(5) hoà tan Cu(OH)2 thành dung dịch xanh lam.
Có bao nhiêu tính chất đúng với saccharose?
Phân tích các phát biểu:
✔️(1). Đúng. Saccharose (hay đường kính, đường mía) ở điều kiện thường là chất rắn kết tinh , tan tốt trong nước và có vị ngọt.
✔️(2). Đúng. Saccharose tan tốt trong nước ở điều kiện thường.
✔️(3). Đúng Saccharose bị thuỷ phân tạo thành glucose và fructose. Phản ứng xảy ra khi có xúc tác acid hoặc có mặt của enzyme.
Phương trình hoá học:
C12H22O11 + H2O ⟶ C6H12O6 + C6H12O6.
❌(4). Sai. Saccharose không có nhóm -OH hemiacetal không có khả năng mở vòng tạo thành nhóm -CHO có tham gia phản ứng tráng bạc.
✔️(5). Đúng. Saccharose phản ứng copper(II) hydroxide trong môi trường kiềm tạo thành dung dịch màu xanh lam.
Phương trình hoá học:
2C12H22O11 + Cu(OH)2 ⟶ Cu(C12H21O11)2 + 2H2O.
Số phát biểu đúng là: (1), (2), (3), (5).
⟹ Điền đáp án 4
✔️(1). Đúng. Saccharose (hay đường kính, đường mía) ở điều kiện thường là chất rắn kết tinh , tan tốt trong nước và có vị ngọt.
✔️(2). Đúng. Saccharose tan tốt trong nước ở điều kiện thường.
✔️(3). Đúng Saccharose bị thuỷ phân tạo thành glucose và fructose. Phản ứng xảy ra khi có xúc tác acid hoặc có mặt của enzyme.
Phương trình hoá học:
C12H22O11 + H2O ⟶ C6H12O6 + C6H12O6.
❌(4). Sai. Saccharose không có nhóm -OH hemiacetal không có khả năng mở vòng tạo thành nhóm -CHO có tham gia phản ứng tráng bạc.
✔️(5). Đúng. Saccharose phản ứng copper(II) hydroxide trong môi trường kiềm tạo thành dung dịch màu xanh lam.
Phương trình hoá học:
2C12H22O11 + Cu(OH)2 ⟶ Cu(C12H21O11)2 + 2H2O.
Số phát biểu đúng là: (1), (2), (3), (5).
⟹ Điền đáp án 4
Câu 17 [1009772]: Cho một số đặc điểm và tính chất sau:
(1) Là polysaccharide;
(2) là chất kết tinh không màu;
(3) thuỷ phân tạo thành glucose;
(4) Tham gia phản ứng tráng bạc;
(5) phản ứng với Cu(OH)2.
Có bao nhiêu nhận định đúng với maltose?
(1) Là polysaccharide;
(2) là chất kết tinh không màu;
(3) thuỷ phân tạo thành glucose;
(4) Tham gia phản ứng tráng bạc;
(5) phản ứng với Cu(OH)2.
Có bao nhiêu nhận định đúng với maltose?
Phân tích các phát biểu:
❌(1). Sai. Maltose là disaccharide.
✔️(2). Đúng. Ở điều kiện thường, Maltose là chất rắn kết tinh không màu, dễ tan trong nước.
✔️(3). Đúng. Maltose được tạo thành từ sự liên kết của hai đơn vị glucose. Maltose thuỷ phân tạo thành hai phân tử glucose.
✔️(4). Đúng. Maltose là đường khử có nhóm -OH hemiacetal có khả năng mở vòng tạo thành nhóm -CHO trong dung dịch có thể tham gia phản ứng với thuốc thử Tollens tạo thành kết tủa bạc kim loại (phản ứng tráng bạc).
✔️(5). Đúng. Ở điều kiện thường, maltose phản ứng với Cu(OH)2 tạo thành phức màu xanh lam, tan trong nước.
Số nhận định đúng là: (2), (3), (4), (5).
⟹ Điền đáp án 4
❌(1). Sai. Maltose là disaccharide.
✔️(2). Đúng. Ở điều kiện thường, Maltose là chất rắn kết tinh không màu, dễ tan trong nước.
✔️(3). Đúng. Maltose được tạo thành từ sự liên kết của hai đơn vị glucose. Maltose thuỷ phân tạo thành hai phân tử glucose.
✔️(4). Đúng. Maltose là đường khử có nhóm -OH hemiacetal có khả năng mở vòng tạo thành nhóm -CHO trong dung dịch có thể tham gia phản ứng với thuốc thử Tollens tạo thành kết tủa bạc kim loại (phản ứng tráng bạc).
✔️(5). Đúng. Ở điều kiện thường, maltose phản ứng với Cu(OH)2 tạo thành phức màu xanh lam, tan trong nước.
Số nhận định đúng là: (2), (3), (4), (5).
⟹ Điền đáp án 4
Câu 18 [1009773]: Cho các phát biểu sau:
(a) Glucose và maltose đều có nhóm -OH hemiacetal.
(b) Fructose và saccharose đều hòa tan được Cu(OH)2 trong môi trường kiềm ở điều kiện thường.
(c) Glucose và fructose đều tham gia phản ứng tráng bạc.
(d) Glucose, fructose, saccharose đều có phản ứng thủy phân.
(e) Maltose và saccharose đều là các hợp chất hữu cơ tạp chức.
Có bao nhiêu phát biểu đúng?
(a) Glucose và maltose đều có nhóm -OH hemiacetal.
(b) Fructose và saccharose đều hòa tan được Cu(OH)2 trong môi trường kiềm ở điều kiện thường.
(c) Glucose và fructose đều tham gia phản ứng tráng bạc.
(d) Glucose, fructose, saccharose đều có phản ứng thủy phân.
(e) Maltose và saccharose đều là các hợp chất hữu cơ tạp chức.
Có bao nhiêu phát biểu đúng?
Phân tích các phát biểu:
(a). Đúng. Ở dạng mạch vòng, glucose có nhóm -OH hemiacetal (ở C1). Khi nhóm này mở vòng tạo nhóm -CHO, nó biểu hiện tính khử.
Maltose: Là một disaccharide được tạo thành từ hai đơn vị glucose. Mặc dù có liên kết glycoside, nhưng một trong hai đơn vị glucose vẫn giữ được nhóm -OH hemiacetal tự do (ở C1 của đơn vị glucose thứ hai). Chính vì vậy, maltose là đường khử.
(b). Đúng. Fructose và saccharose đều hoàn tan được Cu(OH)2 trong môi trường ở điều kiện thường, tạo thành phức màu xanh lam, tan trong nước.
Phương trình hoá học:
2C6H12O6 + Cu(OH)2 ⟶ Cu(C6H11O6)2 + 2H2O.
2C12H22O11 + Cu(OH)2 ⟶ Cu(C12H22O11)2 + 2H2O.
(c). Đúng. Glucose và Fructose đều tham gia phản ứng tráng bạc.
Phương trình hoá học:
HOCH2[CHOH]4CHO + 2AgNO3 + 3NH3 + H2O
HOCH2[CHOH]4COONH4 + 2Ag↓ + 2NH4NO3
(d). Sai. Glucose và fructose là monosaccharide nên có không phản ứng thuỷ phân. Saccharose thuộc loại disaccharide nên có thể tham gia phản ứng thuỷ phân để tạo thành monosaccharide.
(e). Đúng. Maltose có nhiều nhóm -OH (chức ancol) và một nhóm -CHO (chức aldehyde) tự do (khi mở vòng). Do đó, maltose là hợp chất tạp chức. Saccharose có nhiều nhóm -OH và không có nhóm aldehyde hay ketone tự do. Tuy nhiên, nó vẫn là hợp chất tạp chức vì có cả nhóm -OH và liên kết ether trong cấu trúc vòng.
Số phát biểu đúng là: (a), (b), (c), (e).
⟹ Điền đáp án 4
(a). Đúng. Ở dạng mạch vòng, glucose có nhóm -OH hemiacetal (ở C1). Khi nhóm này mở vòng tạo nhóm -CHO, nó biểu hiện tính khử.
Maltose: Là một disaccharide được tạo thành từ hai đơn vị glucose. Mặc dù có liên kết glycoside, nhưng một trong hai đơn vị glucose vẫn giữ được nhóm -OH hemiacetal tự do (ở C1 của đơn vị glucose thứ hai). Chính vì vậy, maltose là đường khử.
(b). Đúng. Fructose và saccharose đều hoàn tan được Cu(OH)2 trong môi trường ở điều kiện thường, tạo thành phức màu xanh lam, tan trong nước.
Phương trình hoá học:
2C6H12O6 + Cu(OH)2 ⟶ Cu(C6H11O6)2 + 2H2O.
2C12H22O11 + Cu(OH)2 ⟶ Cu(C12H22O11)2 + 2H2O.
(c). Đúng. Glucose và Fructose đều tham gia phản ứng tráng bạc.
Phương trình hoá học:
HOCH2[CHOH]4CHO + 2AgNO3 + 3NH3 + H2O
HOCH2[CHOH]4COONH4 + 2Ag↓ + 2NH4NO3(d). Sai. Glucose và fructose là monosaccharide nên có không phản ứng thuỷ phân. Saccharose thuộc loại disaccharide nên có thể tham gia phản ứng thuỷ phân để tạo thành monosaccharide.
(e). Đúng. Maltose có nhiều nhóm -OH (chức ancol) và một nhóm -CHO (chức aldehyde) tự do (khi mở vòng). Do đó, maltose là hợp chất tạp chức. Saccharose có nhiều nhóm -OH và không có nhóm aldehyde hay ketone tự do. Tuy nhiên, nó vẫn là hợp chất tạp chức vì có cả nhóm -OH và liên kết ether trong cấu trúc vòng.
Số phát biểu đúng là: (a), (b), (c), (e).
⟹ Điền đáp án 4
Câu 19 [1009774]: Cho các phát biểu sau:
(1) Glucose có khả năng tham gia phản ứng với thuốc thử Tollens.
(2) Ở điều kiện thường, glucose và saccharose đều là những chất rắn, dễ tan trong nước.
(3) Saccharose có khả năng tham gia phản ứng với thuốc thử Tollens.
(4) Saccharose được cấu tạo từ hai gốc β-glucose và α-fructose.
(5) Trong công nghiệp dược phẩm, saccharose được dùng để pha chế thuốc.
(6) Có thể phân biệt glucose và fructose bằng thuốc thử Tollens.
Trong các phát biểu trên, có bao nhiêu phát biểu đúng?
(1) Glucose có khả năng tham gia phản ứng với thuốc thử Tollens.
(2) Ở điều kiện thường, glucose và saccharose đều là những chất rắn, dễ tan trong nước.
(3) Saccharose có khả năng tham gia phản ứng với thuốc thử Tollens.
(4) Saccharose được cấu tạo từ hai gốc β-glucose và α-fructose.
(5) Trong công nghiệp dược phẩm, saccharose được dùng để pha chế thuốc.
(6) Có thể phân biệt glucose và fructose bằng thuốc thử Tollens.
Trong các phát biểu trên, có bao nhiêu phát biểu đúng?
Phân tích các phát biểu:
✔️(1). Đúng. Glucose có khả năng tham gia phản ứng với thuốc thử Tollens tạo kết tủa bạc kim loại (phản ứng tráng bạc).
Phương trình hoá học:
HOCH2[CHOH]4CHO + 2AgNO3 + 3NH3 + H2O
HOCH2[CHOH]4COONH4 + 2Ag↓ + 2NH4NO3.
✔️(2). Đúng. Glucose và saccharose đều là những chất rắn có vị ngọt, tan tốt trong nước.
❌(3). Sai. Saccharose không có nhóm -OH hemiketal không có khả năng mở vòng tạo nhóm -CHO nên không có khả năng tham gia phản ứng với thuốc thử Tollens.
❌(4) Sai. Saccharose được cấu tạo từ hai gốc α-glucose và β-fructose liên kết với nhau bằng liên kết α-1,2-glycoside.
✔️(5) Đúng. Trong công nghiệp thực phẩm, saccharose được dùng để pha chế thuốc và chất phụ gia trong sản xuất các loại bánh, kẹo, thức uống dinh dưỡng, nước giải khát...Saccharose còn được dùng để sản xuất acetic và ethanol trong công nghiệp.
(❌6) Sai. Không thể phân biệt glucose và fructose bằng thuốc thử Tollens. Glucose và fructose đều phản ứng với thuốc thử Tollens tạo thành kết tủa bạc kim loại (phản ứng tráng bạc).
Số phát biểu đúng là: (1), (2), (5).
⟹ Điền đáp án 3
✔️(1). Đúng. Glucose có khả năng tham gia phản ứng với thuốc thử Tollens tạo kết tủa bạc kim loại (phản ứng tráng bạc).
Phương trình hoá học:
HOCH2[CHOH]4CHO + 2AgNO3 + 3NH3 + H2O
HOCH2[CHOH]4COONH4 + 2Ag↓ + 2NH4NO3.✔️(2). Đúng. Glucose và saccharose đều là những chất rắn có vị ngọt, tan tốt trong nước.
❌(3). Sai. Saccharose không có nhóm -OH hemiketal không có khả năng mở vòng tạo nhóm -CHO nên không có khả năng tham gia phản ứng với thuốc thử Tollens.
❌(4) Sai. Saccharose được cấu tạo từ hai gốc α-glucose và β-fructose liên kết với nhau bằng liên kết α-1,2-glycoside.
✔️(5) Đúng. Trong công nghiệp thực phẩm, saccharose được dùng để pha chế thuốc và chất phụ gia trong sản xuất các loại bánh, kẹo, thức uống dinh dưỡng, nước giải khát...Saccharose còn được dùng để sản xuất acetic và ethanol trong công nghiệp.
(❌6) Sai. Không thể phân biệt glucose và fructose bằng thuốc thử Tollens. Glucose và fructose đều phản ứng với thuốc thử Tollens tạo thành kết tủa bạc kim loại (phản ứng tráng bạc).
Số phát biểu đúng là: (1), (2), (5).
⟹ Điền đáp án 3
Câu 20 [702626]: Để chứng minh cấu tạo saccharose chứa nhiều nhóm OH liền kề, có thể cho dung dịch saccharose phản ứng với kết tủa Cu(OH)2. Các bước tiến hành thí nghiệm như sau:
(1) Thêm vào ống nghiệm chứa kết tủa dung dịch saccharose 3%, lắc đều đến khi thu được dung dịch đồng nhất.
(2) Lọc lấy kết tủa Cu(OH)2 màu xanh rồi cho vào ống nghiệm.
(3) Đun nóng dung dịch chứa phức chất xanh thẫm trong ống nghiệm.
(4) Cho vào ống nghiệm khoảng dung dịch NaOH 10% và dung dịch CuSO4 5%, lắc đều.
Hãy sắp xếp các bước trên với trình tự dãy bốn số theo đúng thứ tự các bước cần tiến hành (ví dụ: 1234, 4213, ...).
(1) Thêm vào ống nghiệm chứa kết tủa dung dịch saccharose 3%, lắc đều đến khi thu được dung dịch đồng nhất.
(2) Lọc lấy kết tủa Cu(OH)2 màu xanh rồi cho vào ống nghiệm.
(3) Đun nóng dung dịch chứa phức chất xanh thẫm trong ống nghiệm.
(4) Cho vào ống nghiệm khoảng dung dịch NaOH 10% và dung dịch CuSO4 5%, lắc đều.
Hãy sắp xếp các bước trên với trình tự dãy bốn số theo đúng thứ tự các bước cần tiến hành (ví dụ: 1234, 4213, ...).
Thí nghiệm: Chứng minh cấu tạo của sacchorose chứa nhiều nhóm OH liền kề bằng cách cho dung dịch saccharose phản ứng với kết tủa Cu(OH)2. Các bước thực hiện như sau:
Bước 1: Cho vào ống nghiệm khoảng 2 ml dung dịch NaOH 10% và 0,5 ml dung dịch CuSO4 5%, lắc đều → ứng với (4).
Bước 2: Lọc lấy kết tủa Cu(OH)2 màu xanh rồi cho vào ống nghiệm → ứng với (2).
Bước 3: Thêm vào ống nghiệm chứa kết tủa dung dịch saccharose 3%, lắc đều đến khi thu được dung dịch đồng nhất → ứng với (1).
Bước 4: Đun nóng dung dịch chứa phức chất xanh thẫm trong ống nghiệm → ứng với (1)
⇒ Điền đáp án: 4213
Bước 1: Cho vào ống nghiệm khoảng 2 ml dung dịch NaOH 10% và 0,5 ml dung dịch CuSO4 5%, lắc đều → ứng với (4).
Bước 2: Lọc lấy kết tủa Cu(OH)2 màu xanh rồi cho vào ống nghiệm → ứng với (2).
Bước 3: Thêm vào ống nghiệm chứa kết tủa dung dịch saccharose 3%, lắc đều đến khi thu được dung dịch đồng nhất → ứng với (1).
Bước 4: Đun nóng dung dịch chứa phức chất xanh thẫm trong ống nghiệm → ứng với (1)
⇒ Điền đáp án: 4213
Câu 21 [308373]: Saccharose (C12H22O11) được thực vật sản xuất như sau:
12CO2(g) + 11H2O(l) → C12H22O11(s) + 12O2(g); ΔrH = +5645 kJ.
Khoảng 4,8 gam saccharose được sản xuất mỗi ngày trên một mét vuông bề mặt trái đất. Năng lượng cho phản ứng thu nhiệt này được cung cấp bởi ánh sáng mặt trời. Khoảng 0,1% ánh sáng mặt trời chiếu tới trái đất được sử dụng để sản xuất saccharose. Tính tổng năng lượng mặt trời cung cấp cho mỗi mét vuông diện tích bề mặt theo đơn vị MJ. (làm tròn đến hàng phần mười)
HD:
Phương trình:
12CO2(g) + 11H2O(l) → C12H22O11(s) + 12O2(g); ΔrH = +5645 kJ.
⇒ Cho biết để sản xuất 1 mol saccharose (M = 342) ⇄ 342 gam saccharose thì cần dùng 5645 kJ năng lượng.
⇒ 4,8 gam saccharose được sản xuất thì cần cung cấp 5645 × 4,8 ÷ 342 kJ năng lượng.
Từng này năng lượng được cung cấp từ mặt trời và chỉ chiếm 0,1% tổng năng lượng mà mặt trời cung cấp cho 1 m2
⇒ Yêu cầu tổng năng lượng mà mặt trời cung cấp cho 1 m2 diện tích bề mặt là:
Q = 5645 × 4,8 ÷ 342 ÷ (0,1%) ≈ 792288,07 kJ = 79,2MJ.
⟹ Điền đáp án: 79,2
Phương trình:
12CO2(g) + 11H2O(l) → C12H22O11(s) + 12O2(g); ΔrH = +5645 kJ.
⇒ Cho biết để sản xuất 1 mol saccharose (M = 342) ⇄ 342 gam saccharose thì cần dùng 5645 kJ năng lượng.
⇒ 4,8 gam saccharose được sản xuất thì cần cung cấp 5645 × 4,8 ÷ 342 kJ năng lượng.
Từng này năng lượng được cung cấp từ mặt trời và chỉ chiếm 0,1% tổng năng lượng mà mặt trời cung cấp cho 1 m2
⇒ Yêu cầu tổng năng lượng mà mặt trời cung cấp cho 1 m2 diện tích bề mặt là:
Q = 5645 × 4,8 ÷ 342 ÷ (0,1%) ≈ 792288,07 kJ = 79,2MJ.
⟹ Điền đáp án: 79,2
Câu 22 [308374]: Thủy phân 68,4 gam saccharose trong môi trường acid với hiệu suất 92% sau phản ứng thu được dung dịch chứa m gam glucose. Giá trị của m là bao nhiêu? (Làm tròn đến số phần nguyên)
HD: Phản ứng thủy phân saccharose:
C12H22O11 + H2O ––H+, to→ C6H12O6 (glucose) + C6H12O6 (fructose).
68,4 gam saccharose tương ứng với 68,4 ÷ 342 = 0,2 mol tạo đúng 0,2 mol glucose.
Mà hiệu suất phản ứng là 92% = 0,92 nên thực tế số mol glucose thu được là 0,2 × 0,92 = 0,184 mol.
⇒ Yêu cầu: m = mglucose = 0,184 × 180 = 33 gam.
⟹ Điền đáp án : 33
C12H22O11 + H2O ––H+, to→ C6H12O6 (glucose) + C6H12O6 (fructose).
68,4 gam saccharose tương ứng với 68,4 ÷ 342 = 0,2 mol tạo đúng 0,2 mol glucose.
Mà hiệu suất phản ứng là 92% = 0,92 nên thực tế số mol glucose thu được là 0,2 × 0,92 = 0,184 mol.
⇒ Yêu cầu: m = mglucose = 0,184 × 180 = 33 gam.
⟹ Điền đáp án : 33
Câu 23 [308375]: Thuỷ phân 100 gam saccharose thu được 104,5 gam hỗn hợp gồm glucose, fructose và saccharose còn dư. Hiệu suất phản ứng thuỷ phân saccharose là bao nhiêu phần trăm?
HD: Xử lý tinh tế - thông minh một chút như sau:
(100 gam saccharose) + H2O (phản ứng) → 104,5 gam [(glucose + fructose) + saccharose dư].
⇒ Bảo toàn khối lượng có ngay mH2O phản ứng = 104,5 – 100 = 4,5 gam.
⇒ số mol H2O tham gia phản ứng thủy phân là 4,5 ÷ 18 = 0,25 mol.
Tỉ lệ thủy phân: 1.saccharose + 1.H2O → 1.glucose + 1.fructose.
0,25 mol H2O⇒ nsaccharose phản ứng = 0,25 mol
⇒ msaccharose phản ứng = 0,25 × 342 = 85,5 gam.
⇒ Hiệu suất phản ứng: H = msaccharose phản ứng ÷ msaccharose ban đầu × 100%
= 85,5 ÷ 100 × 100% = 85,5%.
⟹ Điền đáp án : 85,5
(100 gam saccharose) + H2O (phản ứng) → 104,5 gam [(glucose + fructose) + saccharose dư].
⇒ Bảo toàn khối lượng có ngay mH2O phản ứng = 104,5 – 100 = 4,5 gam.
⇒ số mol H2O tham gia phản ứng thủy phân là 4,5 ÷ 18 = 0,25 mol.
Tỉ lệ thủy phân: 1.saccharose + 1.H2O → 1.glucose + 1.fructose.
0,25 mol H2O⇒ nsaccharose phản ứng = 0,25 mol
⇒ msaccharose phản ứng = 0,25 × 342 = 85,5 gam.
⇒ Hiệu suất phản ứng: H = msaccharose phản ứng ÷ msaccharose ban đầu × 100%
= 85,5 ÷ 100 × 100% = 85,5%.
⟹ Điền đáp án : 85,5
Câu 24 [1009775]: Trong công nghiệp, saccharose được sử dụng làm nguyên liệu trong kĩ thuật tráng gương, tráng ruột phích theo sơ đồ:
Disaccharide
Monosaccharide
Bạc kim loại.
Trong quá trình trên, từ 1 mol saccharose tạo được tối đa bao nhiêu mol bạc kim loại?
Disaccharide
Monosaccharide
Bạc kim loại.Trong quá trình trên, từ 1 mol saccharose tạo được tối đa bao nhiêu mol bạc kim loại?
Trong công nghiệp, saccharose được sử dụng làm nguyên liệu trong kĩ thuật tráng gương, tráng ruột phích theo sơ đồ:
C12H22O11 + H2O ⟶ C6H12O6 + C6H12O6.
Theo phương trình 1 mol saccharose tạo thành 1 mol glucose và 1 mol fructose.
1 mol glucose tạo thành 2 mol Ag
1 mol fructose tạo thành 2 mol Ag.
Kết luận: Trong quá trình trên, từ 1 mol saccharose tạo đươc tối đa 4 mol bạc kim loại.
⟹ Điền đáp án 4
C12H22O11 + H2O ⟶ C6H12O6 + C6H12O6.
Theo phương trình 1 mol saccharose tạo thành 1 mol glucose và 1 mol fructose.
1 mol glucose tạo thành 2 mol Ag
1 mol fructose tạo thành 2 mol Ag.
Kết luận: Trong quá trình trên, từ 1 mol saccharose tạo đươc tối đa 4 mol bạc kim loại.
⟹ Điền đáp án 4
Câu 25 [1009776]: Thủy phân 8,55 gam saccharose trong 100 ml dung dịch HCl 0,6M với hiệu suất 80%. Thêm NaOH vừa đủ vào dung dịch sau phản ứng, sau đó nhỏ tiếp dung dịch AgNO3/NH3 tới dư, sau khi các phản ứng hoàn toàn thu được m gam kết tủa. Tính giá trị của m (làm tròn kết quả đến hàng phần mười).
Số mol của saccharose là: n saccharose = 8,55 : 342 = 0,025 mol.
Số mol của saccharose phản ứng là: 0,025 × 80% = 0,02 mol
Số mol của HCl là: nHCl = 0,1 × 0,6 = 0,06 mol.
Phương trình hoá học:
C12H22O11 + H2O ⟶ C6H12O6 + C6H12O6
1 mol saccharose tạo thành 1 mol glucose và 1 mol fructose.
1 mol glucose tạo thành 2 mol Ag.
1 mol fructose tạo thành 2 mol Ag.
Tổng số mol Ag là: 0,02 × 2 + 0,02 × 2 = 0,08 mol,

Khối lượng Ag kết tủa tạo thành là: 0,08 × 108 + 0,06 × 143,5 = 17,25 ≈ 17,3 gam
⟹ Điền đáp án 17,3
Số mol của saccharose phản ứng là: 0,025 × 80% = 0,02 mol
Số mol của HCl là: nHCl = 0,1 × 0,6 = 0,06 mol.
Phương trình hoá học:
C12H22O11 + H2O ⟶ C6H12O6 + C6H12O6
1 mol saccharose tạo thành 1 mol glucose và 1 mol fructose.
1 mol glucose tạo thành 2 mol Ag.
1 mol fructose tạo thành 2 mol Ag.
Tổng số mol Ag là: 0,02 × 2 + 0,02 × 2 = 0,08 mol,

Khối lượng Ag kết tủa tạo thành là: 0,08 × 108 + 0,06 × 143,5 = 17,25 ≈ 17,3 gam
⟹ Điền đáp án 17,3
Câu 26 [1009777]: Tại một xưởng sản xuất đường thủ công, 1 tấn mía nguyên liệu được đưa vào máy ép, thu được 700 kg nước mía có nồng độ saccharose là 12%. Sau khi chế biến toàn bộ lượng nước mía này với hiệu suất 90%, thu được m kg đường saccharose. Tính giá trị của m.
Nồng độ phần trăm của saccharose là 12% ⟹ Khối lượng saccharose có trong 700kg nước mía là: 12% × 700 = 84 kg.
Hiệu suát của cả quá trình là 90%.
Khối lượng đường saccharose là: 84 × 90% = 75,6kg.
Hiệu suát của cả quá trình là 90%.
Khối lượng đường saccharose là: 84 × 90% = 75,6kg.
⟹ Điền đáp án 75,6
Câu 27 [1009778]: Trong công nghiệp chế biến đường từ mía, nho, củ cải đường sẽ tạo ra sản phẩm phụ, gọi là rỉ đường hay rỉ mật, sử dụng rỉ đường để lên men tạo ra ethanol trong điều kiện thích hợp, hiệu suất cả quá trình là 90%. Tính khối lượng kg ethanol thu được từ 1 tấn rỉ đường mía (làm tròn kết quả đến hàng đơn vị). Giả sử glucose và fructose đều lên men tạo ethanol.
Số mol (theo kg) của đường saccharose:
nC12H22O11 = 1000 ÷ 342 = 1000/342

Khối lượng ethanol thu được với hiệu suất 90%:
methanol = 2 × 2 × 1000/342 × 46 × 90% = 484,21 ≈ 484.
⟹ Điền đáp án 484
nC12H22O11 = 1000 ÷ 342 = 1000/342

Khối lượng ethanol thu được với hiệu suất 90%:
methanol = 2 × 2 × 1000/342 × 46 × 90% = 484,21 ≈ 484.
⟹ Điền đáp án 484
Câu 28 [1009779]: Thực hiện tráng một số tấm gương có diện tích bề mặt cần tráng là 0,35 m2 với độ dày 0,1 μm, người ta tiến hành thủy phân 29,07 gam saccharose, sau đó thưc hiện phản ứng tráng gương. Biết khối lượng riêng của bạc là 10,49 g/cm3. Hiệu suất của toàn bộ quá trình tráng gương là 80%. Số lượng gương tối đa được tráng là bao nhiêu (làm tròn đến hàng đơn vị)?
Đổi 0,35m2 = 3500cm2; 0,1µm = 10-5 cm.
- Xét 1 gương:
+ Thể tích lớp bạc trên 1 gương là: V = S × d = 3500 × 10-5 = 0,035 cm3.
+ Khối lượng bạc trên 1 gương là: m = D × V = 10,49 × 0,035 = 0,36715 gam.
- Xét phản ứng tráng gương:
Số mol của saccharose là: 29,07 ÷ 342 = 0,085 mol.
Số mol saccharose phản ứng là: 0,085 × 80% = 0,068 mol.
Phương trình hoá học:
C12H22O11 + H2O ⟶ C6H12O6 + C6H12O6.
Theo phương trình 1 mol saccharose tạo thành 1 mol glucose và 1 mol fructose.
1 mol glucose tạo thành 2 mol Ag.
1 mol fructose tạo thành 2 mol Ag.
Theo phương trình số mol Ag là: nAg = 4 × nC12H22O11 = 4 × 0,068 = 0,272 mol.
Khối lượng Ag sinh ra trong phản ứng tráng gương là:
mAg = 0,272 × 108 = 29,376 gam.
Số lượng gương sản xuất được là: 29,376 ÷ 0,36715 = 80 chiếc.
⟹ Điền đáp án: 80
- Xét 1 gương:
+ Thể tích lớp bạc trên 1 gương là: V = S × d = 3500 × 10-5 = 0,035 cm3.
+ Khối lượng bạc trên 1 gương là: m = D × V = 10,49 × 0,035 = 0,36715 gam.
- Xét phản ứng tráng gương:
Số mol của saccharose là: 29,07 ÷ 342 = 0,085 mol.
Số mol saccharose phản ứng là: 0,085 × 80% = 0,068 mol.
Phương trình hoá học:
C12H22O11 + H2O ⟶ C6H12O6 + C6H12O6.
Theo phương trình 1 mol saccharose tạo thành 1 mol glucose và 1 mol fructose.
1 mol glucose tạo thành 2 mol Ag.
1 mol fructose tạo thành 2 mol Ag.
Theo phương trình số mol Ag là: nAg = 4 × nC12H22O11 = 4 × 0,068 = 0,272 mol.
Khối lượng Ag sinh ra trong phản ứng tráng gương là:
mAg = 0,272 × 108 = 29,376 gam.
Số lượng gương sản xuất được là: 29,376 ÷ 0,36715 = 80 chiếc.
⟹ Điền đáp án: 80
Dạng 4: BÀI TẬP ĐỌC HIỂU – đọc thông tin và trả lời các câu hỏi sau đó
THUỶ PHÂN SACCHAROSE
Saccharose phân hủy thành fructose và glucose trong dung dịch acid hoặc có mặt của enzyme. Phản ứng không xảy ra trong môi trường kiềm.
Biểu đồ dưới đây biểu thị nồng độ của saccharose theo thời gian trong 8 giờ:

Câu 29 [308380]: Trong khoảng thời gian 8 giờ, nồng độ fructose và glucose thay đổi như thế nào?
A, Nồng độ fructose và glucose tăng.
B, Nồng độ fructose và glucose giảm.
C, Nồng độ fructose tăng và nồng độ glucose giảm.
D, Nồng độ fructose giảm và nồng độ glucose tăng.
HD: Theo kết quả phản ứng thủy phân saccharose:

⇒ Nồng độ saccharose giảm; còn nồng độ glucose và fructose bằng nhau và cùng tăng ⇝ Chọn đáp án A. ♥ Đáp án: A

⇒ Nồng độ saccharose giảm; còn nồng độ glucose và fructose bằng nhau và cùng tăng ⇝ Chọn đáp án A. ♥ Đáp án: A
Câu 30 [308381]: Tốc độ thay đổi nồng độ saccharose trong 2 giờ đầu tiên như thế nào so với tốc độ thay đổi nồng độ là saccharose trong 2 giờ cuối?
A, Lớn hơn.
B, Bé hơn.
C, Bằng nhau.
D, Không xác định.
HD: Quan sát đồ thị, 2 khoảng thời gian biểu diễn:

⇒ Thấy rõ tốc độ thay đổi nồng độ saccharose 2 giờ đầu là lớn hơn so với tốc độ thay đổi nồng độ của saccharose 2 giờ sau.
⇝ Chọn đáp án A. ♥ Đáp án: A

⇒ Thấy rõ tốc độ thay đổi nồng độ saccharose 2 giờ đầu là lớn hơn so với tốc độ thay đổi nồng độ của saccharose 2 giờ sau.
⇝ Chọn đáp án A. ♥ Đáp án: A
Câu 31 [308383]: Tốc độ thay đổi nồng độ saccharose trong 2 giờ đầu tiên là bao nhiêu?
A, 8,75×10–3 mol.L–1.h–1.
B, 5,40×10–3 mol.L–1.h–1.
C, 6,70×10–3 mol.L–1.h–1.
D, 3,75×10–3 mol.L–1.h–1.
HD: Sử dụng đồ thị:

Trong 2 giờ đầu; nồng độ saccharose giảm từ 0,05 M xuống 0,0325 M.
⇒ ΔCsaccharose = 0,05 – 0,0325 = 0,0175 M và Δt = 2 (h)
⇒ Yêu cầu tốc độ v = ΔCsaccharose ÷ Δt = 0,0175 ÷ 2 = 8,75 × 10–3 (mol.L–1.h–1) ⇝ Chọn đáp án A. ♥ Đáp án: A

Trong 2 giờ đầu; nồng độ saccharose giảm từ 0,05 M xuống 0,0325 M.
⇒ ΔCsaccharose = 0,05 – 0,0325 = 0,0175 M và Δt = 2 (h)
⇒ Yêu cầu tốc độ v = ΔCsaccharose ÷ Δt = 0,0175 ÷ 2 = 8,75 × 10–3 (mol.L–1.h–1) ⇝ Chọn đáp án A. ♥ Đáp án: A
DISACCHARIDE
Disaccharide, loại đường thông dụng trong gia đình, cực kỳ phong phú trong thế giới thực vật. Các đường disaccharide chúng ta thường gặp là: maltose, saccharose và lactose. Nó xuất hiện trong nhiều loại trái cây, trong mật hoa, và trong nước ép của nhiều loại cây, đặc biệt là mía và củ cải đường, các nguồn thương mại. (Hình vẽ bên thể hiện chim ruồi hút saccharose và các carbohydrate khác trong mật hoa để lấy năng lượng).
Các aldehyde có nhóm –CHO dễ bị oxy hóa bởi dung dịch Cu2+ trong môi trường kiềm (thuốc thử Benedict). Đường có thể bị oxy hóa bởi các tác nhân oxy hóa yếu được gọi là đường khử.
Ví dụ, glucose có thể tham gia phản ứng với thuốc thử Benedict:

Thuốc thử Benedict có màu xanh đậm. Khi phản ứng xảy ra, Cu2+ bị khử và tạo thành kết tủa dưới dạng Cu2O, một chất rắn màu đỏ cam.
Khi nghiên cứu về tính chất của các hợp chất disaccharide. Từ trái sang phải, bốn ống nghiệm chứa thuốc thử Benedict, dung dịch maltose 2%, dung dịch saccharose 2% và dung dịch lactose 2%.
Sau đó cho dung dịch trong ống nghiệm đầu tiên vào ba ống nghiệm còn lại. Hiện tượng quan sát được như sau:

Câu 32 [382745]: Khi tham gia phản ứng với thuốc thử, phân tử carbohydrate đóng vai trò là
A, chất oxi hóa.
B, chất khử.
C, môi trường.
D, không xác định.

Từ phản ứng hóa học thấy số oxi hóa của Cu thay đổi từ

→ Cu2+ là chất oxi hóa tham gia quá trình khử
→ Carbohydrate đóng vai trò chất khử tham gia quá trình oxi hóa trong phản ứng trên
⇒ Chọn đáp án B Đáp án: B
Câu 33 [382746]: Hiện tượng quan sát được khi một phân tử carbohydrate có phản ứng với thuốc thử là
A, dung dịch từ không màu chuyển sang màu xanh.
B, có khí không màu thoát ra khỏi dung dịch.
C, xuất hiện chất rắn không tan màu đỏ cam.
D, xuất hiện khí không màu hóa nâu ngoài không khí.
Từ hình ảnh mô tả thí nghiệm ta thấy được hiện tượng của phản ứng hóa học giữa carbohydrate với thuốc thử Benedict là xuất hiện chất rắn không tan màu đỏ cam.
⇒ Chọn đáp án C Đáp án: C
⇒ Chọn đáp án C Đáp án: C
Câu 34 [382747]: Dựa vào thí nghiệm trên, kết luận nào sau đây là đúng?
A, Maltose có tính oxi hóa.
B, Sucrose không có tính khử.
C, Lactose không có tính oxi hóa.
D, Maltose, sucrose và lactose đều có tính khử.
- Từ hình ảnh mô tả thí nghiệm ta thấy được hiện tượng của phản ứng hóa học giữa maltose và lactose với thuốc thử Benedict là xuất hiện chất rắn không tan màu đỏ cam.
- Sucrose không phản ứng với thuốc thử Benedict không thể chứng minh tính chất của sucrose qua thí nghiệm trên
Từ phản ứng hóa học thấy số oxi hóa của Cu thay đổi từ:
Cu2+ +1e ⟶ Cu+
→ Cu2+ là chất oxi hóa tham gia quá trình khử
→ Maltose và lactose đóng vai trò chất khử tham gia quá trình oxi hóa trong phản ứng trên.
⇒ Chọn đáp án B
Đáp án: B
- Sucrose không phản ứng với thuốc thử Benedict không thể chứng minh tính chất của sucrose qua thí nghiệm trên
Từ phản ứng hóa học thấy số oxi hóa của Cu thay đổi từ:
Cu2+ +1e ⟶ Cu+
→ Cu2+ là chất oxi hóa tham gia quá trình khử
→ Maltose và lactose đóng vai trò chất khử tham gia quá trình oxi hóa trong phản ứng trên.
⇒ Chọn đáp án B
Đáp án: B
Dạng 5. Tự luận
Câu 35 [1010364]: Nêu hiện tượng xảy ra và viết PTHH của phản ứng minh hoạ cho quá trình thí nghiệm sau:
Bước 1. Đun sôi dung dung dịch hỗn hợp saccharose và H2SO4 một lúc. Để nguội dung dịch
Bước 2. Thêm NaHCO3 vào dung dịch đến khi phản ứng hoàn toàn.
Bước 3. Thêm Cu(OH)2 vào và đun nóng nhẹ.
Bước 1. Đun sôi dung dung dịch hỗn hợp saccharose và H2SO4 một lúc. Để nguội dung dịch
Bước 2. Thêm NaHCO3 vào dung dịch đến khi phản ứng hoàn toàn.
Bước 3. Thêm Cu(OH)2 vào và đun nóng nhẹ.
Bước 1. Đun sôi dung dung dịch hỗn hợp saccharose và H2SO4 một lúc. Để nguội dung dịch
C12H22O11 + H2O
C6H12O6 + C6H12O6.
Bước 2. Thêm NaHCO3 vào dung dịch đến khi phản ứng hoàn toàn mục đích dùng để trung hòa acid dư.
H2SO4 + 2NaHCO3 ⟶ Na2SO4 + 2H2O + 2CO2.
Bước 3. Thêm Cu(OH)2 vào và đun nóng nhẹ xuất hiện kết tủa màu đỏ gạch.
CH2OH(CHOH)4CHO + 2Cu(OH)2 + NaOH
CH2OH(CHOH)4COONa + Cu2O + 3H2O.
C12H22O11 + H2O
C6H12O6 + C6H12O6.Bước 2. Thêm NaHCO3 vào dung dịch đến khi phản ứng hoàn toàn mục đích dùng để trung hòa acid dư.
H2SO4 + 2NaHCO3 ⟶ Na2SO4 + 2H2O + 2CO2.
Bước 3. Thêm Cu(OH)2 vào và đun nóng nhẹ xuất hiện kết tủa màu đỏ gạch.
CH2OH(CHOH)4CHO + 2Cu(OH)2 + NaOH
CH2OH(CHOH)4COONa + Cu2O + 3H2O.
Câu 36 [1010365]: Hoàn thành các phương trình phản ứng theo sơ đồ (X, Y, Z, T là các chất hữu cơ khác nhau):
Phương trình hóa học:
(1) C12H22O11 + H2O
C6H12O6 (Y glucose) + C6H12O6 (X fructose).
(2) C6H12O6 (X fructose) + + 2[Ag(NH3)2]OH
CH2OH[CHOH]4COONH4 (T) + 2Ag + 3NH3 + H2O
(3) CH2OHCHOH)4CHO + Br2+ H2O → CH2OH(CHOH)4COOH (Z) + 2HBr.
(1) C12H22O11 + H2O
C6H12O6 (Y glucose) + C6H12O6 (X fructose).(2) C6H12O6 (X fructose) + + 2[Ag(NH3)2]OH
CH2OH[CHOH]4COONH4 (T) + 2Ag + 3NH3 + H2O(3) CH2OHCHOH)4CHO + Br2+ H2O → CH2OH(CHOH)4COOH (Z) + 2HBr.
Câu 37 [1009770]: Tiến hành thí nghiệm theo các bước sau:
▪ Bước 1: Cho 3 - 4 ml dung dịch AgNO3 2% vào hai ống nghiệm (1) và (2). Thêm vài giọt dung dịch NaOH loãng, tiếp tục cho amoniac loãng 3% cho tới khi kết tủa tan hết (vừa cho vừa lắc).
▪ Bước 2: Rót 2 ml dung dịch saccharose 5% vào ống nghiệm (3) và rót tiếp vào đó 0,5 ml dung dịch H2SO4 loãng. Đun nóng dung dịch trong 3 - 5 phút.
▪ Bước 3: Để nguội dung dịch, cho từ từ NaHCO3 tinh thể vào ống nghiệm (3) và khuấy đều bằng đũa thủy tinh cho đến khi ngừng thoát khí CO2.
▪ Bước 4: Rót nhẹ tay 2 ml dung dịch saccharose 5% theo thành ống nghiệm (1). Đặt ống nghiệm (1) vào cốc nước nóng (khoảng 60 - 70°C). Sau vài phút, lấy ống nghiệm (1) ra khỏi cốc.
▪ Bước 5: Rót nhẹ tay dung dịch trong ống nghiệm (3) vào ống nghiệm (2). Đặt ống nghiệm (2) vào cốc nước nóng (khoảng 60 - 70°C). Sau vài phút, lấy ống nghiệm (2) ra khỏi cốc.
a) Viết phương trình hóa học xảy ra ở các bước.
b) Nêu mục đích của việc dùng NaHCO3 ở bước 3
c) Nêu sự khác biệt của hiện tượng xảy ra ở bước 4 và bước 5.
▪ Bước 1: Cho 3 - 4 ml dung dịch AgNO3 2% vào hai ống nghiệm (1) và (2). Thêm vài giọt dung dịch NaOH loãng, tiếp tục cho amoniac loãng 3% cho tới khi kết tủa tan hết (vừa cho vừa lắc).
▪ Bước 2: Rót 2 ml dung dịch saccharose 5% vào ống nghiệm (3) và rót tiếp vào đó 0,5 ml dung dịch H2SO4 loãng. Đun nóng dung dịch trong 3 - 5 phút.
▪ Bước 3: Để nguội dung dịch, cho từ từ NaHCO3 tinh thể vào ống nghiệm (3) và khuấy đều bằng đũa thủy tinh cho đến khi ngừng thoát khí CO2.
▪ Bước 4: Rót nhẹ tay 2 ml dung dịch saccharose 5% theo thành ống nghiệm (1). Đặt ống nghiệm (1) vào cốc nước nóng (khoảng 60 - 70°C). Sau vài phút, lấy ống nghiệm (1) ra khỏi cốc.
▪ Bước 5: Rót nhẹ tay dung dịch trong ống nghiệm (3) vào ống nghiệm (2). Đặt ống nghiệm (2) vào cốc nước nóng (khoảng 60 - 70°C). Sau vài phút, lấy ống nghiệm (2) ra khỏi cốc.
a) Viết phương trình hóa học xảy ra ở các bước.
b) Nêu mục đích của việc dùng NaHCO3 ở bước 3
c) Nêu sự khác biệt của hiện tượng xảy ra ở bước 4 và bước 5.
HƯỚNG DẪN GIẢI:
a) Các phương trình xảy ra là:
- B1: AgNO3 + 3NH3 + H2O ⟶ [Ag(NH3)2](OH) + NH4NO3
- B2: C12H22O11 ⟶C6H12O6 (Glucose) + C6H12O6 (fructose)
- B3: 2NaHCO3 + H2SO4 ⟶ Na2SO4 + 2CO2 + 2H2O
- B4: Không xảy ra phản ứng
- B5: CH2OH(CHOH)4CHO + 2[Ag(NH3)4](OH)2 ⟶ CH2OH(CHOH)4COONH4 + 2Ag + 3NH3 + H2O
b) NaHCO3 ở bước 3 có tác dụng trung hoà acid dư, nếu acid còn sẽ làm mất môi trường kiềm của phản ứng tráng bạc.
c) Ở bước 4 không có hiện tượng xảy ra, ở bước 5 có một lớp bạc trắng sáng như gương bám lên thành ống nghiệm.; do phân tử saccharose ở bước 4 không có nhóm CHO nên không có phản ứng tráng bạc (Tính chất của aldehyde)
a) Các phương trình xảy ra là:
- B1: AgNO3 + 3NH3 + H2O ⟶ [Ag(NH3)2](OH) + NH4NO3
- B2: C12H22O11 ⟶C6H12O6 (Glucose) + C6H12O6 (fructose)
- B3: 2NaHCO3 + H2SO4 ⟶ Na2SO4 + 2CO2 + 2H2O
- B4: Không xảy ra phản ứng
- B5: CH2OH(CHOH)4CHO + 2[Ag(NH3)4](OH)2 ⟶ CH2OH(CHOH)4COONH4 + 2Ag + 3NH3 + H2O
b) NaHCO3 ở bước 3 có tác dụng trung hoà acid dư, nếu acid còn sẽ làm mất môi trường kiềm của phản ứng tráng bạc.
c) Ở bước 4 không có hiện tượng xảy ra, ở bước 5 có một lớp bạc trắng sáng như gương bám lên thành ống nghiệm.; do phân tử saccharose ở bước 4 không có nhóm CHO nên không có phản ứng tráng bạc (Tính chất của aldehyde)
Câu 38 [1010362]: Saccharose (C12H22O11), thường được gọi là đường ăn, trải qua quá trình thủy phân (phản ứng với nước) để tạo ra fructose (C6H12O6) và glucose (C6H12O6):
C12H22O11 + H2O
C6H12O6 + C6H12O6
saccharose glucose fructose
Phản ứng này có tầm quan trọng đáng kể trong ngành công nghiệp kẹo. Đầu tiên, fructose ngọt hơn saccharose. Thứ hai, hỗn hợp fructose và glucose, được gọi là đường nghịch chuyển, không kết tinh, vì vậy kẹo chứa đường này sẽ dai hơn là giòn như kẹo chứa tinh thể saccharose. Phương trình tốc độ trung bình của phản ứng thủy phân saccharose thành fructose và glucose được xác định như sau:

Sau 27 phút ở 27°C, nồng độ saccharose giảm từ 0,0146 M xuống 0,0132 M. Tốc độ trung bình của phản ứng thuỷ phân là a × 10–7 (mol.M–1.s–1). Tính giá trị của a.
C12H22O11 + H2O
C6H12O6 + C6H12O6saccharose glucose fructose
Phản ứng này có tầm quan trọng đáng kể trong ngành công nghiệp kẹo. Đầu tiên, fructose ngọt hơn saccharose. Thứ hai, hỗn hợp fructose và glucose, được gọi là đường nghịch chuyển, không kết tinh, vì vậy kẹo chứa đường này sẽ dai hơn là giòn như kẹo chứa tinh thể saccharose. Phương trình tốc độ trung bình của phản ứng thủy phân saccharose thành fructose và glucose được xác định như sau:

Sau 27 phút ở 27°C, nồng độ saccharose giảm từ 0,0146 M xuống 0,0132 M. Tốc độ trung bình của phản ứng thuỷ phân là a × 10–7 (mol.M–1.s–1). Tính giá trị của a.
HƯỚNG DẪN GIẢI:
- Nồng độ saccharose thay đổi là: 0,0132 - 0,0146 = -0,0014 (mol/l)
- Đôi 27 phút = 1620s.
⟹ Tốc độ trung bình của phản ứng là: - (-0,0014) / 1620 = 8,64.10-7 (mol M-1s-1)
⟹ Điền đáp án: 8,64
- Nồng độ saccharose thay đổi là: 0,0132 - 0,0146 = -0,0014 (mol/l)
- Đôi 27 phút = 1620s.
⟹ Tốc độ trung bình của phản ứng là: - (-0,0014) / 1620 = 8,64.10-7 (mol M-1s-1)
⟹ Điền đáp án: 8,64