Dạng 1. TRẮC NGHIỆM KHÁCH QUAN: mỗi câu hỏi chỉ có một đáp án đúng.
Câu 1 [308402]: Tinh bột thuộc loại
A, disaccharide.
B, polysaccharide.
C, lipid.
D, monosacharide.
HD: Ôn lại bài học về phân loại hợp chất carbohydrate cho ta ngay câu trả lời:
⇒ Tinh bột thuộc loại polysaccharide ⇝ Chọn đáp án B. ♦ Đáp án: B
⇒ Tinh bột thuộc loại polysaccharide ⇝ Chọn đáp án B. ♦ Đáp án: B
Câu 2 [308403]: Tinh bột là sản phẩm quang hóa của cây xanh và được dự trữ trong các loại hạt, củ, quả… Trong các loại nông sản: hạt gạo, hạt lúa mạch, củ khoai lang, củ sắn, loại nào có chứa hàm lượng tinh bột cao nhất?
A, Hạt lúa mạch.
B, Hạt gạo.
C, Củ khoai lang.
D, Củ sắn.
HD: Thông tin về hàm lượng tinh bột trong một số loại nông sản:
• Hạt lúa mạch: 100 gam chứa khoảng 56,9 gam tinh bột.
• Hạt gạo: 100 gam chứa khoảng 73 gam tinh bột.
• Củ khoai lang: 100 gam chứa khoảng 10 gam tinh bột.
• Củ sắn: 100 gam chứa khoảng 2 gam tinh bột.
⇒ ⇝ Chọn đáp án B. ♦ Đáp án: B
• Hạt lúa mạch: 100 gam chứa khoảng 56,9 gam tinh bột.
• Hạt gạo: 100 gam chứa khoảng 73 gam tinh bột.
• Củ khoai lang: 100 gam chứa khoảng 10 gam tinh bột.
• Củ sắn: 100 gam chứa khoảng 2 gam tinh bột.
⇒ ⇝ Chọn đáp án B. ♦ Đáp án: B
Câu 3 [308404]: Trong tinh bột chứa khoảng 20% phần một chất có khả năng tan trong nước, đó là
A, amylopectin.
B, amylose.
C, glucose.
D, fructose.
HD: Tinh bột gồm 2 thành phần không tách rời là: amylose và amylopectin. Amylose tan trong nước; còn amylopectin không tan, trương lên ⇒ tạo nên độ dẻo. Nghiệm chứng thực tế: gạo tẻ chứa 80% là amylopectin, 20% là amylose nên sẽ có độ dẻo bình thường. Còn đối với gạo nếp, hàm lượng amylopectin trong tinh bột của gạo nếp rất cao, chiếm tới 95-100% ⇒ gạo nếp có độ dẻo lớn hơn so với gạo tẻ.
⇝ Chọn đáp án B. ♦ Đáp án: B
⇝ Chọn đáp án B. ♦ Đáp án: B
Câu 4 [308405]: Trong các bộ phận (củ, quả, thân,…) của một số loại cây, chứa chủ yếu một loại carbohydrate. Cho bảng sau:
Cách nối tên một bộ phận của cây ở cột trái với một loại carbohydrate ở cột phải không đúng là

A, Cây mía ↔ Saccharose.
B, Cây tre ↔ Cellulose.
C, Quả nho ↔ Glucose.
D, Hạt lúa ↔ Cellulose.
HD: Phân tích các đáp án:
✔️ A. Cây mía chứa nhiều saccharose - đường mía ⇒ Cây mía ⇄ Saccharose.
✔️ B. Cây tre chỉ có gỗ với xơ ⇒ chứa chủ yếu cellulose ⇒ Cây tre ⇄ cellulose.
✔️ C. Quả nho chín chứa nhiều glucose, đường glucose còn gọi là đường nho ⇒ Quả nho ⇄ glucose.
❌ D. Hạt lúa - gạo chứa nhiều tinh bột ⇒ Hạt lúa ⇄ tinh bột ≠ Cellulose. Đáp án: D
✔️ A. Cây mía chứa nhiều saccharose - đường mía ⇒ Cây mía ⇄ Saccharose.
✔️ B. Cây tre chỉ có gỗ với xơ ⇒ chứa chủ yếu cellulose ⇒ Cây tre ⇄ cellulose.
✔️ C. Quả nho chín chứa nhiều glucose, đường glucose còn gọi là đường nho ⇒ Quả nho ⇄ glucose.
❌ D. Hạt lúa - gạo chứa nhiều tinh bột ⇒ Hạt lúa ⇄ tinh bột ≠ Cellulose. Đáp án: D
Câu 5 [308406]: Tinh bột được tạo thành ở cây xanh nhờ phản ứng
A, thủy phân.
B, quang hợp.
C, hóa hợp.
D, phân hủy.
HD: Quá quen thuộc bên sinh học chúng ta cũng đã biết nhờ ánh sáng mặt trời + chất diệp lục ⇒ cây tổng hợp tinh bột từ CO2 và H2O, thải ra khí O2 cho môi trường ⇒ đó là quá trình quang hợp:
6nCO2 + 5nH2O ––ánh sáng, chlorophyll→ (C6H10O5)n (tinh bột) + 6nO2.
⇒ Chọn đáp án B Đáp án: B
6nCO2 + 5nH2O ––ánh sáng, chlorophyll→ (C6H10O5)n (tinh bột) + 6nO2.
⇒ Chọn đáp án B Đáp án: B
Câu 6 [308407]: Bằng phương pháp lên men từ các nông sản chứa nhiều tinh bột (gạo, ngô,…) người ta thu được ethyl alcohol. Để tách ethyl alcohol ra khỏi dung dịch người ta dùng phương pháp nào sau đây?
A, Chiết.
B, Lọc.
C, Cô cạn.
D, Chưng cất.
HD: ethyl alcohol và nước là hai chất tan vào nhau, có nhiệt độ sôi khác nhau ⇒ sử dụng phương pháp chưng cất - một công việc mà ông bà, bố mẹ chúng ta là những "nhà hóa học" vẫn thực hiện hàng ngày
⟹ Chọn đáp án D Đáp án: D
⟹ Chọn đáp án D Đáp án: D
Câu 7 [1009780]: Tinh bột thuộc loại polysaccharide, có nhiều trong các loại ngũ cốc như hạt lúa, hạt ngô, củ khoai, củ sắn, …. Công thức của tinh bột là
A, (C6H10O5)n.
B, C12H22O11.
C, C6H12O6.
D, C2H4O2.
Tinh bột thuộc loại polysaccharide, có nhiều trong các loại ngũ cốc như hạt lúa, hạt ngô, củ khoai, củ sắn, …. Công thức của tinh bột là (C6H10O5)n.
⟹Chọn đáp án A Đáp án: A
⟹Chọn đáp án A Đáp án: A
Câu 8 [308408]: Cellulose thuộc loại
A, monosacharide.
B, disaccharide.
C, lipid.
D, polysaccharide.
HD: Ôn lại bài học về phân loại hợp chất carbohydrate cho ta ngay câu trả lời:

⇒ Cellulose thuộc loại polysaccharide ⇝ Chọn đáp án D. Đáp án: D

⇒ Cellulose thuộc loại polysaccharide ⇝ Chọn đáp án D. Đáp án: D
Câu 9 [308409]: Phân tử tinh bột được cấu tạo từ các gốc
A, β-fructose.
B, α-fructose.
C, β-glucose.
D, α-glucose.
HD: Tinh bột là polysaccharide, gồm hai poymer nhỏ hơn là amylose và amylopectin. Tinh bột có công thức phân tử là (C6H10O5)n được tạo bởi các mắt xích α-glucose
⇝ Chọn đáp án D Đáp án: D
⇝ Chọn đáp án D Đáp án: D
Câu 10 [308410]: Kiểu liên kết giữa các gốc glucose trong mạch amylose là
A, β-1,6-glycosidic.
B, α-1,6-glycosidic.
C, β-1,4-glycosidic.
D, α-1,4-glycosidic.
HD: Amylose: tạo bởi nhiều đơn vị (mắt xích) α-glucose qua liên kết α-1,4-glycosidic ⇒ Amylose sẽ có chuỗi dài xoắn, không phân nhánh.

⟹ Chọn đáp án D. Đáp án: D

⟹ Chọn đáp án D. Đáp án: D
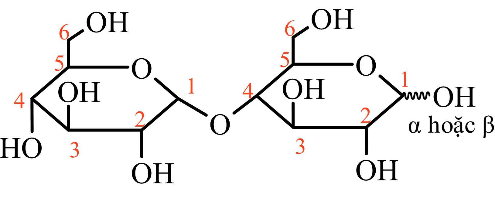
Câu 11 [308411]: Cho hình ảnh mô tả cấu tạo của một hợp chất X dưới đây:
Hợp chất X thuộc loại

A, monosaccharide.
B, disaccharide.
C, polysaccharide.
D, ether.
HD: Bài học về phân loại hợp chất carbohydrate:

⇒ Hợp chất X chứa nhiều mắt xích glucose ⇒ thuộc loại polysaccharide ⇝ Chọn đáp án C. Đáp án: C

⇒ Hợp chất X chứa nhiều mắt xích glucose ⇒ thuộc loại polysaccharide ⇝ Chọn đáp án C. Đáp án: C
Câu 12 [308412]: Mỗi gốc C6H10O5 của cellulose có số nhóm OH là
A, 5.
B, 3.
C, 2.
D, 4.
HD: Quan sát cấu tạo của cellulose:

⇒ Mỗi gốc C6H10O5 của cellulose có số 3 nhóm OH tự do ⇝ Chọn đáp án B. ♦ Đáp án: B

⇒ Mỗi gốc C6H10O5 của cellulose có số 3 nhóm OH tự do ⇝ Chọn đáp án B. ♦ Đáp án: B
Câu 13 [308413]: Cellulose được cấu tạo bởi các gốc
A, α-glucose.
B, α-fructose.
C, β-glucose.
D, β-fructose.
HD: Cellulose là polysaccharide có công thức phân tử là (C6H10O5)n được tạo bởi các mắt xích β-glucose liên kết với nhau:

⇝ Chọn đáp án C. Đáp án: C

⇝ Chọn đáp án C. Đáp án: C
Câu 14 [1009781]: Tính chất vật lí của cellulose là
A, Chất rắn, màu trắng, tan trong nước.
B, Chất rắn, màu trắng, tan trong nước nóng.
C, Chất rắn, không màu, tan trong nước.
D, Chất rắn, màu trắng, không tan trong nước.
HƯỚNG DẪN GIẢI:
- Cellulose là chất rắn màu trắng, không tan trong nước.
⟹ Chọn đáp án D
Đáp án: D
- Cellulose là chất rắn màu trắng, không tan trong nước.
⟹ Chọn đáp án D
Đáp án: D
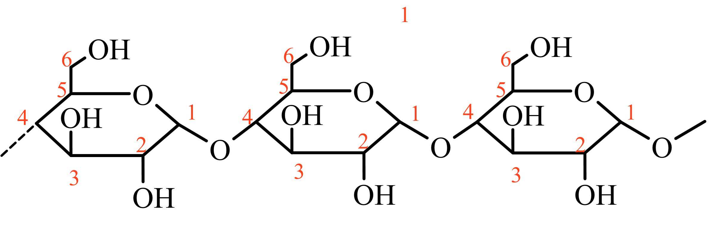
Câu 15 [1009782]: Công thức cấu tạo nào sau đây là dạng amylose của tinh bột?
A, 

B, 

C, 

D, 

Amylose là polymer dạng mạch dài, không nhánh, xoắn lại, được tạo thành từ các đơn vị α-glucose liên kết với nhau bằng liên kết α-1,4-glycoside.

⟹ Chọn đáp án C

⟹ Chọn đáp án C
Câu 16 [1009783]: Trong tinh bột, dạng amylopectin có đặc điểm nào sau đây?
A, Mạch thẳng, không phân nhánh.
B, Mạch phân nhánh.
C, Gồm các mắt xích fructose.
D, Gồm các mắt xích galactose.
Amylopectin là polymer dạng mạch phân nhánh. Mỗi mạch nhánh gồm một số đơn vị glucose liên kết với nhau bằng liên kết α-1,4-glycoside. Mạch nhánh liên kết với mạch chính (là chuỗi amylose) bằng liên kết α-1,6-glycoside.
⟹ Chọn đáp án B Đáp án: B
⟹ Chọn đáp án B Đáp án: B
Câu 17 [1009784]: Điểm giống nhau giữa amylose và amylopectin (2 dạng chính của tinh bột) là
A, đơn vị mắt xích tạo thành.
B, loại liên kết glycosidic.
C, cấu trúc mạch (thẳng hay phân nhánh).
D, khả năng hòa tan trong nước.
Tinh bột gồm amylose và amylopectin.
✨Amylose là polymer dạng mạch dài, không nhánh, xoắn lại, được tạo thành từ các đơn vị α-glucose liên kết với nhau bằng liên kết α-1,4-glycoside.
✨Amylopectin là polymer dạng mạch phân nhánh. Mỗi mạch nhánh gồm một số đơn vị glucose liên kết với nhau bằng liên kết α-1,4-glycoside. Mạch nhánh liên kết với mạch chính (là chuỗi amylose) bằng liên kết α-1,6-glycoside.
✨Amylose là polymer dạng mạch dài, không nhánh, xoắn lại, được tạo thành từ các đơn vị α-glucose liên kết với nhau bằng liên kết α-1,4-glycoside.
✨Amylopectin là polymer dạng mạch phân nhánh. Mỗi mạch nhánh gồm một số đơn vị glucose liên kết với nhau bằng liên kết α-1,4-glycoside. Mạch nhánh liên kết với mạch chính (là chuỗi amylose) bằng liên kết α-1,6-glycoside.
Phân tích các phát biểu:
✔️A. Đúng. Amylose và amylopectin đều được cấu tạo từ các đơn vị α-D-glucose. Giống nhau về đơn vị mắt xích tạo thành.
❌B. Sai. Amylose các đơn vị glucose liên kết với nhau bằng liên kết α-1,4-glycoside. Amylopectin có cả liên kết α-1,4-glycoside (mạch chính) và liên kết α-1,6-glycoside (mạch phân nhánh).
❌C. Sai. Amylose dạng mạch dài không phân nhánh. Amylopectin dạng mạch phân nhánh.
❌D. Sai. Amylose có khả năng hòa tan trong nước. Amylopectin không hòa tan trong nước.
⟹ Chọn đáp án A
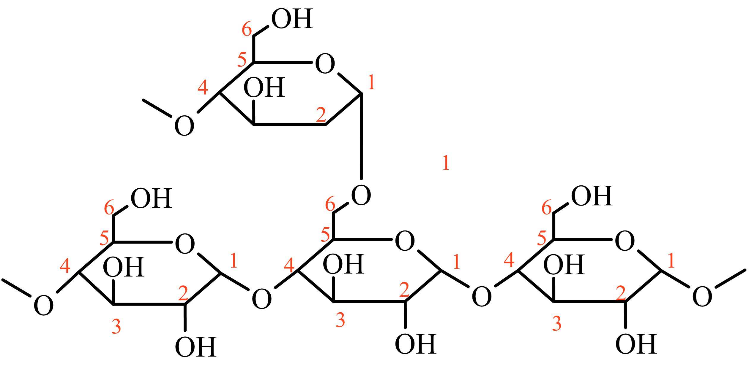
Câu 18 [1009785]: Cho một dạng cấu tạo phân tử của carbohydrate như sau:

Phát biểu nào sau đây đúng?

Phát biểu nào sau đây đúng?
A, Cấu tạo phân tử trên của thuộc về amylopectin.
B, Cấu tạo phân tử trên được tạo bởi nhiều đơn vị β-glucose.
C, Các đơn vị glucose nối với nhau qua liên kết α-1,4-glycoside.
D, Cấu tạo phân tử trên có dạng chuỗi polymer phân nhánh.
Phân tích các phát biểu:
❌A. Sai. Amylopectin có cấu trúc mạch phân nhánh. Công thức cấu trên có dạng mạch thẳng, không phân nhánh.
❌B. Sai. Trong công thức trên liên kết giữa các đơn vị glucose liên kết với nhau bằng liên kết α-1,4-glycoside ⟶ tạo thành từ các đơn vị α-glucose.
✔️C. Đúng. Các đơn vị glucose nối với nhau qua liên kết α-1,4-glycoside.
❌D. Sai. Cấu tạo dạng phân tử trên có dạng mạch dài, không nhánh.
⟹ Chọn đáp án C Đáp án: C
❌A. Sai. Amylopectin có cấu trúc mạch phân nhánh. Công thức cấu trên có dạng mạch thẳng, không phân nhánh.
❌B. Sai. Trong công thức trên liên kết giữa các đơn vị glucose liên kết với nhau bằng liên kết α-1,4-glycoside ⟶ tạo thành từ các đơn vị α-glucose.
✔️C. Đúng. Các đơn vị glucose nối với nhau qua liên kết α-1,4-glycoside.
❌D. Sai. Cấu tạo dạng phân tử trên có dạng mạch dài, không nhánh.
⟹ Chọn đáp án C Đáp án: C
Câu 19 [1009786]: Điểm giống nhau giữa tinh bột cà cellulose là
A, đều là thành phần chính của gạo, ngô, khoai.
B, đều là polymer thiên nhiên.
C, đều cho phản ứng thủy phân tạo thành glucose.
D, có chung công thức phân tử.
Phân tích các phát biểu.
❌A. Sai. Tinh bột có thành phần chính của gạo, ngô, khoai. Cellulose là thành phần chính của tế bào thực vật, làm nên bộ khung của cây.
✔️B. Đúng. Tinh bột và cellulose là những polymer tự nhiên.
❌C. Sai. Thủy phân hoàn toàn tinh bột và cellulose sản phẩm cuối cùng tạo thành là glucose. Thủy phân không hoàn toàn tinh bột tạo thành maltose..dextrin
❌D. Sai. Tinh bột và cellulose đều có công thức chung là (C6H10O5)n những khác công thức phân tử.
⟹ Chọn đáp án B Đáp án: B
❌A. Sai. Tinh bột có thành phần chính của gạo, ngô, khoai. Cellulose là thành phần chính của tế bào thực vật, làm nên bộ khung của cây.
✔️B. Đúng. Tinh bột và cellulose là những polymer tự nhiên.
❌C. Sai. Thủy phân hoàn toàn tinh bột và cellulose sản phẩm cuối cùng tạo thành là glucose. Thủy phân không hoàn toàn tinh bột tạo thành maltose..dextrin
❌D. Sai. Tinh bột và cellulose đều có công thức chung là (C6H10O5)n những khác công thức phân tử.
⟹ Chọn đáp án B Đáp án: B
Câu 20 [1009787]: Về cấu tạo phân tử, điểm giống nhau giữa tinh bột và cellulose là
A, loại đơn vị monomer tạo thành.
B, loại liên kết glycoside giữa các glucose.
C, số nguyên tử carbon trong phân tử.
D, sự có mặt của nguyên tử nitrogen.
Phân tích các phát biểu:
A. Đúng.Tinh bột và cellulose đều được cấu tạo từ một loại monomer là glucose ⟶ giống nhau
B. Sai. Tinh bột amylose liên kết với nhau bằng liên kết α-1,4-glycoside đối vớ amylose, trong amylopectine còn có liên kết α-1,6-glycoside. Cellulose liên kết với nhau bằng liên kết β-1,4-glycoside. ⟶ khác nhau
C. Sai.Tinh bột và cellulose đều có công thức chung là (C6H10O5)n. nhưng giá trị n khác nhau dẫn tới số C khác nhau.
D. Sai. Tinh bột và cellulose đều là carbohydrate không chứa nguyên tử nitrogen
⟹Chọn đáp án A Đáp án: A
A. Đúng.Tinh bột và cellulose đều được cấu tạo từ một loại monomer là glucose ⟶ giống nhau
B. Sai. Tinh bột amylose liên kết với nhau bằng liên kết α-1,4-glycoside đối vớ amylose, trong amylopectine còn có liên kết α-1,6-glycoside. Cellulose liên kết với nhau bằng liên kết β-1,4-glycoside. ⟶ khác nhau
C. Sai.Tinh bột và cellulose đều có công thức chung là (C6H10O5)n. nhưng giá trị n khác nhau dẫn tới số C khác nhau.
D. Sai. Tinh bột và cellulose đều là carbohydrate không chứa nguyên tử nitrogen
⟹Chọn đáp án A Đáp án: A
Dạng 2: TRẮC NGHIỆM ĐÚNG SAI – mỗi ý a), b), c), d) chọn đúng hoặc sai.
Câu 21 [308430]: Tinh bột là nguồn carbohydrate dự trữ, có trong hầu hết các thực vật bậc cao. Tinh bột có nhiều trong các loại hạt (lúa, hạt lúa mì, ngô,…), củ (khoai tây, khoai lang,…), quả.
HD: Phân tích các phát biểu:
✔️ a. đúng. Ta thì ăn lúa gạo, tây thì ăn lúa mì, không thể thiếu lương thực cơ bản này được.
✔️ b. đúng. Amylose và amylopectin là hai thành phần không tách rời của tinh bột.
✔️ c. đúng. Giữa các mắt xích glucose với nhau sẽ liên kết với nhau bằng liên kết glycosidic.
❌ d. sai. Tinh bột là polysaccharide, gồm hai poymer nhỏ hơn là amylose và amylopectin; chúng đều được tạo bởi các mắt xích α-glucose.
✔️ a. đúng. Ta thì ăn lúa gạo, tây thì ăn lúa mì, không thể thiếu lương thực cơ bản này được.
✔️ b. đúng. Amylose và amylopectin là hai thành phần không tách rời của tinh bột.
✔️ c. đúng. Giữa các mắt xích glucose với nhau sẽ liên kết với nhau bằng liên kết glycosidic.
❌ d. sai. Tinh bột là polysaccharide, gồm hai poymer nhỏ hơn là amylose và amylopectin; chúng đều được tạo bởi các mắt xích α-glucose.
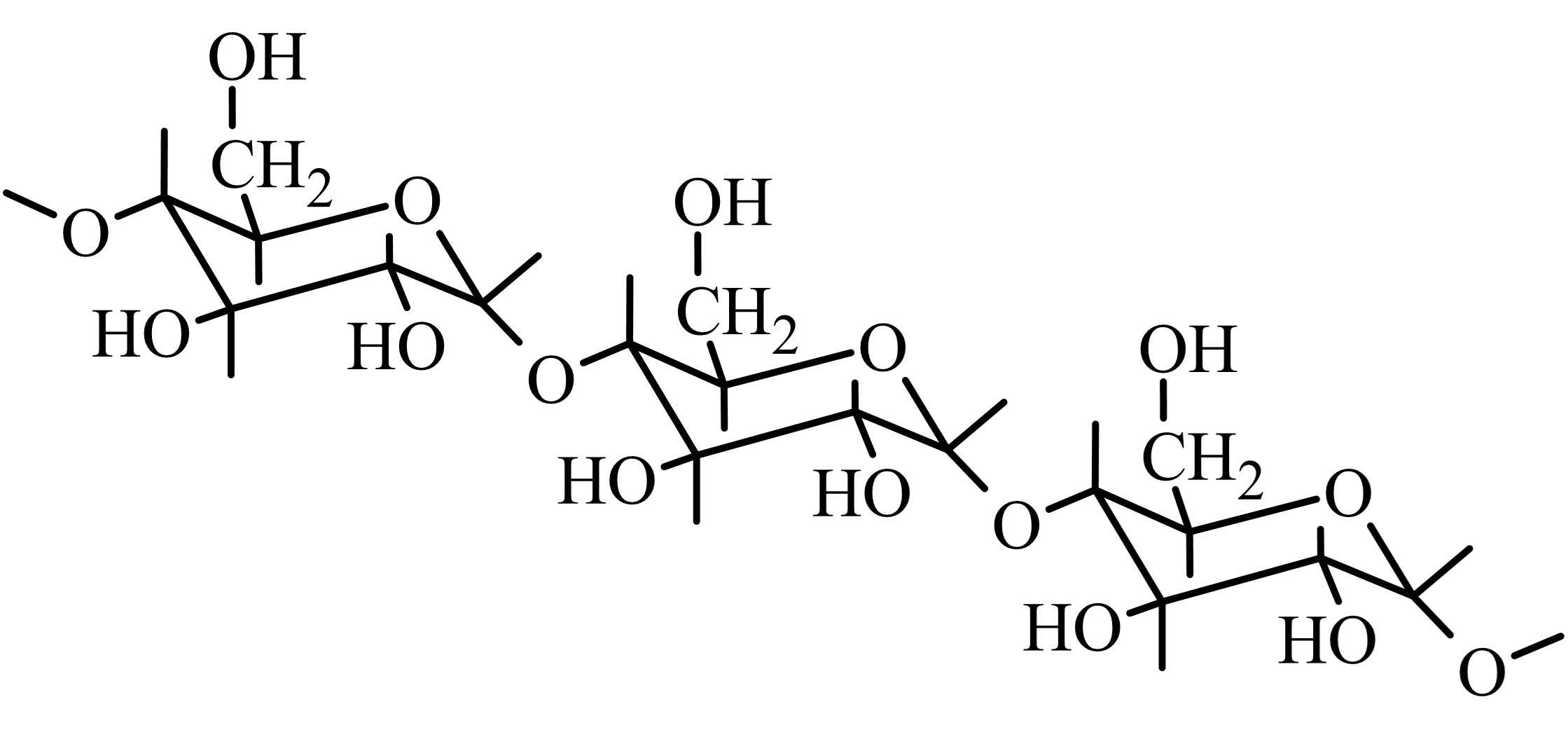
Câu 22 [308435]: Tinh bột là phân tử gồm nhiều mắt xích glucose liên kết với nhau và có công thức phân tử là (C6H10O5)n. Các mắt xích glucose liên kết với nhau tạo thành hai dạng amilose và amylopectin như hình dưới đây:
HD: Phân tích các phát biểu:
❌ a. sai vì tinh bột được tạo nên từ các mắt xíc α-glucose.
❌ b. sai, chú ý amylopectin có các gốc α-glucose nối với nhau qua liên kết α-1,4-glycosidic ⇝ tạo thành mạch dài, thêm vào đó các liên kết α-1,6-glycosidic nối giữa các đoạn mạch ⇒ tạo thành các nhánh.
❌ c. sai. Amylose tạo bởi nhiều đơn vị (mắt xích) α-glucose qua liên kết α-1,4-glycosidic ⇒ sẽ có chuỗi dài xoắn, không phân nhánh.
✔️ d. đúng. Tinh bột là polysaccharide, gồm hai poymer nhỏ hơn là amylose và amylopectin.
❌ a. sai vì tinh bột được tạo nên từ các mắt xíc α-glucose.
❌ b. sai, chú ý amylopectin có các gốc α-glucose nối với nhau qua liên kết α-1,4-glycosidic ⇝ tạo thành mạch dài, thêm vào đó các liên kết α-1,6-glycosidic nối giữa các đoạn mạch ⇒ tạo thành các nhánh.
❌ c. sai. Amylose tạo bởi nhiều đơn vị (mắt xích) α-glucose qua liên kết α-1,4-glycosidic ⇒ sẽ có chuỗi dài xoắn, không phân nhánh.
✔️ d. đúng. Tinh bột là polysaccharide, gồm hai poymer nhỏ hơn là amylose và amylopectin.
Câu 23 [1009788]: Cellulose là polymer thiên nhiên, có công thức phân tử (C6H10O5)n được cấu tạo như sau:

Cellulose được sử dụng làm vật liệu xây dựng (các loại đồ gỗ), sản xuất giấy, sợi tự nhiên và sợi nhân tạo. Cellulose cũng được sử dụng làm nguyên liệu để điều chế ethanol và cellulose trinitrate (dùng để chế tạo thuốc súng không khói).

Cellulose được sử dụng làm vật liệu xây dựng (các loại đồ gỗ), sản xuất giấy, sợi tự nhiên và sợi nhân tạo. Cellulose cũng được sử dụng làm nguyên liệu để điều chế ethanol và cellulose trinitrate (dùng để chế tạo thuốc súng không khói).
Phân tích các phát biểu:
✔️(a) – Đúng. Trong cellulose, mỗi đơn vị glucose (C6H10O5) liên kết với nhau qua liên kết β-1,4-glycosid. Mỗi đơn vị này có 3 nhóm hydroxyl (-OH) tự do, nên có thể biểu diễn công thức phân tử của cellulose là [C6H7O2(OH)3]n.
❌(b) – Sai. Phân từ cellulose cấu tạo từ nhiều đơn vị β-glucose qua liên kết β -1,4-glycoside.
❌(c) – Sai. Từ cellulose (cấu tạo từ các gốc β-glucose) điều chế ethanol dựa vào tính chất lên men của cellulose và diễn ra 2 phản ứng hóa học.
✔️(d) – Đúng. Cellulose có nhiều trong thành tế bào của thực vật, đặc biệt trong gỗ, bông, tre, rơm, và các loại sợi thực vật khác.
✔️(a) – Đúng. Trong cellulose, mỗi đơn vị glucose (C6H10O5) liên kết với nhau qua liên kết β-1,4-glycosid. Mỗi đơn vị này có 3 nhóm hydroxyl (-OH) tự do, nên có thể biểu diễn công thức phân tử của cellulose là [C6H7O2(OH)3]n.
❌(b) – Sai. Phân từ cellulose cấu tạo từ nhiều đơn vị β-glucose qua liên kết β -1,4-glycoside.
❌(c) – Sai. Từ cellulose (cấu tạo từ các gốc β-glucose) điều chế ethanol dựa vào tính chất lên men của cellulose và diễn ra 2 phản ứng hóa học.
✔️(d) – Đúng. Cellulose có nhiều trong thành tế bào của thực vật, đặc biệt trong gỗ, bông, tre, rơm, và các loại sợi thực vật khác.
Dạng 3: TRẮC NGHIỆM YÊU CẦU TRẢ LỜI NGẮN
Câu 24 [308436]: Cho các đặc điểm sau:
(1) chứa liên kết α-1,4-glycosidic và α-1,6-glycosidic,
(2) có cấu trúc mạch phân nhánh,
(3) chỉ chứa gốc α-glucose,
(4) cấu trúc xoắn lại thành hạt có lỗ rỗng.
Số đặc điểm đúng với cấu tạo phân tử amylopectin là
(1) chứa liên kết α-1,4-glycosidic và α-1,6-glycosidic,
(2) có cấu trúc mạch phân nhánh,
(3) chỉ chứa gốc α-glucose,
(4) cấu trúc xoắn lại thành hạt có lỗ rỗng.
Số đặc điểm đúng với cấu tạo phân tử amylopectin là
HD: Quan sát lại cấu tạo cùa amylopectin:

⇒ Phân tích các phát biểu:
✔️ (1) đúng, liên kết α-1,4-glycosidic tạo các mạch dài và liên kết α-1,6-glycosidic sẽ rẽ nhánh amylopectin.
✔️ (2) đúng vì theo như phân tích ở ý (1) ⇒ amylopectin có cấu trúc mạch phân nhánh.
✔️ (3) đúng. amylopectin được cấu tạo nên từ các gốc α-glucose thôi.
✔️ (4) sai. Cấu trúc xoắn là của amylose (dạng mạch dài, không phân nhánh, xoắn lại, được tạo thành từ nhiều đơn vị glucose liên kết với nhau bằng liên kết α-1,4-glycoside).
⇒ Có 3/4 phát biểu đúng với amylopectin
⇒ Điền đáp án: 3.

⇒ Phân tích các phát biểu:
✔️ (1) đúng, liên kết α-1,4-glycosidic tạo các mạch dài và liên kết α-1,6-glycosidic sẽ rẽ nhánh amylopectin.
✔️ (2) đúng vì theo như phân tích ở ý (1) ⇒ amylopectin có cấu trúc mạch phân nhánh.
✔️ (3) đúng. amylopectin được cấu tạo nên từ các gốc α-glucose thôi.
✔️ (4) sai. Cấu trúc xoắn là của amylose (dạng mạch dài, không phân nhánh, xoắn lại, được tạo thành từ nhiều đơn vị glucose liên kết với nhau bằng liên kết α-1,4-glycoside).
⇒ Có 3/4 phát biểu đúng với amylopectin
⇒ Điền đáp án: 3.
Câu 25 [308437]: Cho các đặc điểm sau:
(1) chỉ có các liên kết α-1,4-glycosidic,
(2) có cấu trúc mạch không phân nhánh,
(3) chỉ chứa gốc α-glucose,
(4) cấu trúc xoắn lại thành hạt có lỗ rỗng.
Số đặc điểm đúng với cấu tạo phân tử amylose là
(1) chỉ có các liên kết α-1,4-glycosidic,
(2) có cấu trúc mạch không phân nhánh,
(3) chỉ chứa gốc α-glucose,
(4) cấu trúc xoắn lại thành hạt có lỗ rỗng.
Số đặc điểm đúng với cấu tạo phân tử amylose là
HD: Quan sát lại cấu tạo cùa amylose:

⇒ Phân tích các phát biểu:
✔️ (1) đúng, amylose chỉ chứa các liên kết α-1,4-glycosidic mà thôi.
✔️ (2) đúng. như ở ý (1) ⇒ amylose có cấu trúc mạch không phân nhánh.
✔️ (3) đúng. amylose được cấu tạo nên từ các gốc α-glucose thôi.
✔️ (4) đúng. amylose đóng xoắn nên hấp phụ được iodine ⇒ có phản ứng màu:

⇒ có 4/4 phát biểu đúng với amylose ⇒ điền đáp án: 4.

⇒ Phân tích các phát biểu:
✔️ (1) đúng, amylose chỉ chứa các liên kết α-1,4-glycosidic mà thôi.
✔️ (2) đúng. như ở ý (1) ⇒ amylose có cấu trúc mạch không phân nhánh.
✔️ (3) đúng. amylose được cấu tạo nên từ các gốc α-glucose thôi.
✔️ (4) đúng. amylose đóng xoắn nên hấp phụ được iodine ⇒ có phản ứng màu:

⇒ có 4/4 phát biểu đúng với amylose ⇒ điền đáp án: 4.
Câu 26 [1009789]: Cho 6 carbohydrate sau: glucose, fructose, maltose, saccharose, tinh bột và cellulose. Có bao nhiêu carbohydrate đã cho thuộc nhóm polysaccharide?
Khái niệm: Carbohydrate là những hợp chất hữu cơ tạp chức và thường có công thức chung là Cn(H2O)m. Carbohydrate được chia thành 3 nhóm chính:
🌟Monosaccharide gồm glucose và fructose.
🌟Disaccharide gồm saccharose và maltose.
🌟Polysaccharide gồm tinh bột và cellulose.
Kết luận: Có 2 carbohydrate thuộc loại polysaccharide.
⟹ Điền đáp án 2
🌟Monosaccharide gồm glucose và fructose.
🌟Disaccharide gồm saccharose và maltose.
🌟Polysaccharide gồm tinh bột và cellulose.
Kết luận: Có 2 carbohydrate thuộc loại polysaccharide.
⟹ Điền đáp án 2
Câu 27 [834308]: Giả sử một phân tử tinh bột (C6H10O5)n có phân tử khối từ khoảng 1 000 000 amu. Số mắt xích trong phân tử tinh bột là bao nhiêu (làm tròn đến hàng đơn vị)?
Số mắt xích trong phân tử tinh bột trên là n = 1000000:162 ≈ 6173
⟹ Điền đáp án : 6173
⟹ Điền đáp án : 6173
Câu 28 [1009790]: Tinh bột là nguồn cung cấp năng lượng chủ yếu cho con người. Mỗi ngày, một học sinh lớp 12 cần năng lượng 9 180 kJ thì nên ăn bao nhiêu gam tinh bột cho phù hợp? (Biết 1 g tinh bột có thể cung cấp 17 kJ và năng lượng từ tinh bột chiếm khoảng 60% tổng năng lượng thức ăn.)
Năng lượng tạo ra từ tinh bột là: 9180 × 60% = 5508 kJ.
Khối lượng tinh bột cần tìm là: 5508 ÷ 17 = 324 gam.
⟹ Điền đáp án 324
Khối lượng tinh bột cần tìm là: 5508 ÷ 17 = 324 gam.
⟹ Điền đáp án 324
Dạng 4: BÀI TẬP ĐỌC HIỂU – đọc thông tin và trả lời các câu hỏi sau đó
CẤU TẠO CỦA TINH BỘT
Trong tự nhiên, chúng ta tìm thấy nhiều chất có trọng lượng phân tử rất cao, lên tới hàng triệu amu, tạo nên phần lớn cấu trúc của các sinh vật và mô sống. Một số ví dụ là tinh bột và cellulose có nhiều trong thực vật cũng như protein được tìm thấy ở cả thực vật và động vật. Năm 1827, JÖns Jacob Berzelius đặt ra từ polymer (từ tiếng Hy Lạp polys là “nhiều” và meros là “bộ phận”) để biểu thị các chất có trọng lượng phân tử cao được hình thành bởi quá trình trùng hợp (liên kết với nhau) của các monome, các phân tử có trọng lượng phân tử thấp.
Câu 29 [308449]: Tinh bột được hình thành từ các mắt xích?
A, α-Glucose.
B, α–fructose.
C, β–glucose.
D, β– fructose.
Tinh bột được tạo bởi nhiều gốc α-glucose liên kết tạo 2 dạng mạch:
- Amylose không phân nhánh, xoắn chỉ có liên kết α-1,4-glycoside:
- Amylopectin phân nhánh, xoắn có liên kết α-1,4-glycoside và α-1,6-glycoside (tạo nhánh).

⇒ Chọn đáp án A Đáp án: A
- Amylose không phân nhánh, xoắn chỉ có liên kết α-1,4-glycoside:
- Amylopectin phân nhánh, xoắn có liên kết α-1,4-glycoside và α-1,6-glycoside (tạo nhánh).

⇒ Chọn đáp án A Đáp án: A
Câu 30 [308450]: Phân tử khối của tinh bột khoảng 299700 g/mol. Số mắt xích C6H10O5 trong phân tử tinh bột là
A, 2050
B, 1950
C, 1850
D, 1750
Số mắt xích C6H10O5 trong phân tử tinh bột là: n = 299700 : 162 = 1850 Đáp án: C
Câu 31 [308451]: Tinh bột thuộc loại polymer là vì
A, Được hình thành bởi glucose.
B, Chứa 3 nhóm OH trong một mắt xích.
C, Được hình thành bởi rất nhiều các phân tử nhỏ.
D, Có nhiều trong cấu trúc của thực vật.
Tinh bột có nguồn gốc từ các loại cây khác nhau có tính chất vật lý và thành phần hóa học khác nhau. Chúng đều là các polymer carbohydrate phức tạp của nhiều phân tử glucose cấu thành (công thức phân tử là C6H12O6).
⇒ Chọn đáp án C Đáp án: C
⇒ Chọn đáp án C Đáp án: C
CẤU TẠO CỦA CELLULOSE
Bạn có thể ăn một kg cellulose và không nhận được bất kỳ giá trị calorie nào từ nó, mặc dù về cơ bản cellulose và tinh bột đều được cấu tạo bởi các đơn vị glucose. Ngược lại, một kg tinh bột sẽ cung cấp cho cơ thể con người một lượng calorie đáng kể. Sự khác biệt là tinh bột bị thủy phân thành glucose, cuối cùng bị oxy hóa và giải phóng năng lượng. Tuy nhiên, cellulose không dễ bị thủy phân bởi các enzyme có trong cơ thể người nên nó đi qua hệ thống tiêu hóa mà không chịu bất kì ảnh hưởng gì. Nhiều vi khuẩn chứa enzyme, gọi là cellulase, có tác dụng thủy phân cellulose. Những vi khuẩn này hiện diện trong hệ thống tiêu hóa của động vật chăn thả, chẳng hạn như gia súc, chúng sử dụng cellulose làm thức ăn.Cellulose tạo nên bộ khung thực vật được phân bố rộng rãi nhất, chiếm gần một nửa vật liệu thành tế bào của gỗ. Bông nõn gần như là cellulose nguyên chất. Cellulose là một polysaccharide không phân nhánh gồm các đơn vị β-glucose được nối với nhau bằng liên kết β-1,4-glycosidic (Hình II.18). Nó có trọng lượng phân tử trung bình 400.000 g/mol, tương ứng với khoảng 2.200 đơn vị glucose trên mỗi phân tử.

Hình II.18. Cấu tạo phân tử cellulose
Câu 32 [308452]: Phân tử cellulose chứa mắt xích nào sau đây?
A, α-Glucose.
B, α-Fructose.
C, β-Glucose.
D, β-Fructose.
Cellulose được tạo thành từ nhiều gốc β-glucose không phân nhánh, xoắn chỉ có liên kết β-1,4-glycoside.

⇒ Chọn đáp án C Đáp án: C

⇒ Chọn đáp án C Đáp án: C
Câu 33 [308453]: Có bao nhiêu mắt xích trong một phân tử cellulose?
A, 400.000.
B, 2.200.
C, 18.500.
D, 4.200.
Cellulose là một polysaccharide không phân nhánh gồm các đơn vị ẞ-glucose được nối với nhau bằng liên kết ẞ-1,4-glycosidic. Nó có trọng lượng phân tử trung bình 400.000 g/mol, tương ứng với khoảng 2.200 đơn vị glucose trên mỗi phân tử.
⇒ Chọn đáp án B Đáp án: B
⇒ Chọn đáp án B Đáp án: B
Câu 34 [308454]: Nhận định nào sau đây không đúng?
A, Bông nõn gần như là cellulose nguyên chất.
B, Động vật chăn thả, chẳng hạn như gia súc có thể tiêu hoá được cellulose.
C, Cellulose có thể cung cấp năng lượng cho cơ thể con người.
D, Cellulose gồm các đơn vị β-glucose được nối với nhau.
Động vật nhai lại có thể tiêu hoá cellulose vì chúng có vi khuẩn Ruminococcus trong dạ cỏ tạo ra cellulase là enzyme có thể thuỷ phân cellulose thành glucose. Con người không thể sử dụng cellulose như một loại thực phẩm chính vì không có cellulase xúc tác cho phản ứng thuỷ phân cellulose thành glucose.
⇒ Chọn đáp án C Đáp án: C
⇒ Chọn đáp án C Đáp án: C