Dạng 1. TRẮC NGHIỆM KHÁCH QUAN: mỗi câu hỏi chỉ có một đáp án đúng.
• β = bê (bờ) = bần cùng ⇒ nhóm OH đính vào C1 cùng phía với CH2OH.
• ⇒ α có nhóm OH đính vào C1 khác phía với nhóm CH2OH.


⇒ Quan sát lại cấu tạo chất đã cho ⇒ Phân tử carbohydate đang ở dạng beta (β)
⇒ Chọn đáp án B Đáp án: B
• β = bê (bờ) = bần cùng ⇒ nhóm OH đính vào C1 cùng phía với CH2OH.
• ⇒ α có nhóm OH đính vào C1 khác phía với nhóm CH2OH.


⇒ Quan sát lại cấu tạo chất đã cho ⇒ Phân tử carbohydate đang ở dạng alpha (α) ⇝ Chọn đáp án A. ♥ Đáp án: A
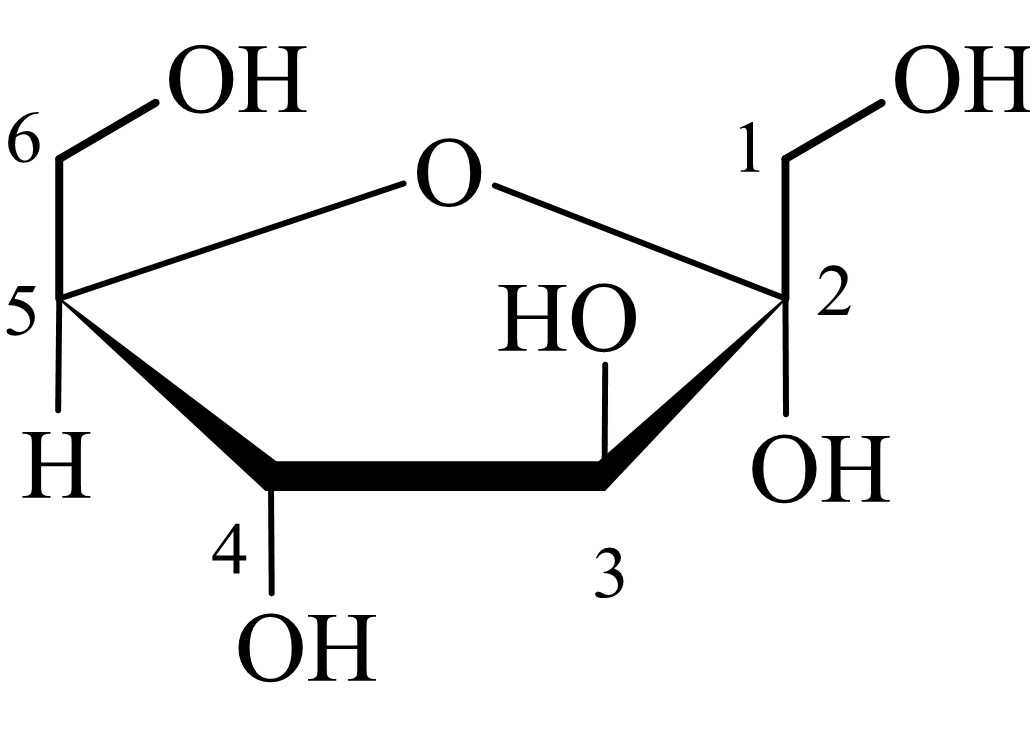
Ta vẫn sử dụng mẹo nhỏ: quan sát nhóm CH2OH ở vị trí carbon số 6:
• β = bê (bờ) = bần cùng ⇒ nhóm OH đính vào C1 cùng phía với CH2OH.
• ⇒ α có nhóm OH đính vào C1 khác phía với nhóm CH2OH.
Quan sát hình vẽ cấu tạo hợp chất, nhóm OH đính vào C1 khác phía với nhóm CH2OH vị trí C6 ⇒ đây là dạng alpha (α)
⇝ Chọn đáp án A.
Đáp án: A

Ta vẫn sử dụng mẹo nhỏ: quan sát nhóm CH2OH ở vị trí carbon số 6:
• β = bê (bờ) = bần cùng ⇒ nhóm OH đính vào C1 cùng phía với CH2OH.
• ⇒ α có nhóm OH đính vào C1 khác phía với nhóm CH2OH.
Quan sát hình vẽ cấu tạo hợp chất, nhóm OH đính vào C1 cùng phía với nhóm CH2OH vị trí C6 ⇒ đây là dạng beta (β) ⇝ Chọn đáp án B. ♦ Đáp án: B




Glucose là monosaccharide phổ biến trong đời sống có công thức phân tử là C6H12O6.
Glucose tồn tại ở dạng mạch hở và dạng mạch vòng.
+ Ở dạng mạch hở phân tử gồm 5 nhóm hydroxyl và 1 nhóm carbonyl.
+ Ở dạng mạch vòng 6 cạnh là α-glucose và β-fructose.
Công thức cấu tạo ở dạng mạch vòng α-glucose là 
⟹ Chọn đáp án A
Đáp án: A



Glucose là monosaccharide phổ biến trong đời sống có công thức phân tử là C6H12O6.
Glucose tồn tại ở dạng mạch hở và dạng mạch vòng và dạng mạch hở.
+ Ở dạng mạch hở trong phân tử có 5 nhóm hydroxyl và 1 nhóm carbonyl.
+ Ở dạng mạch vòng 6 cạnh là α-glucose và β-fructose.
Công thức cấu tạo β-fructose của glucose là: 
⟹ Chọn đáp án D
Đáp án: D
Công thức cấu tạo dạng mạch vòng α-glucose: 
Nhóm -OH hemiacetal gắn với vị trị carbon số 1.
⟹ Chọn đáp án D

⟹ Chọn đáp án A Đáp án: A
Trong công thức chiếu Haworth, nhóm OH ở C1 của α-D-glucopyranose nằm cùng phía với nhóm nhóm OH ở C4.
⟹ Chọn đáp án A
Thể hiện cấu trúc phân tử theo dạng thẳng với các nhóm OH ở bên trái/phải. Công thức chiếu Fischer của glucose thể hiện phân tử ở dạng mạch thẳng, với mạch carbon chính được viết theo chiều dọc và các nhóm OH, H được sắp xếp sang hai bên trái/phải. Đây không phải là dạng bền nhất của glucose trong dung dịch và cũng không phản ánh cấu trúc không gian thật sự của phân tử, nhưng giúp xác định cấu hình lập thể tại các carbon bất đối.
⟹ Chọn đáp án D Đáp án: D
⟹ Chọn đáp án A Đáp án: A
⟹ Chọn đáp án A Đáp án: A




► Mẹo nhỏ: quan sát cấu tạo sau bước 3: 2 nhóm OH ở vị trí C3 và C4 ở cùng phía với nhóm CH2OH ở C6; chỉ có nhóm OH ở vị trí C2 khác phía ⇝ Chọn đáp án A. ♥ Đáp án: A
Dạng 2: TRẮC NGHIỆM ĐÚNG SAI – mỗi ý a), b), c), d) chọn đúng hoặc sai.
✔️a. Đúng. Glucose vòng 6 cạnh, fructose có vòng 5 cạnh
✔️b. Đúng. Glucose và fructose là đồng phân cấu tạo của nhau. Glucose và fructose đều có cùng công thức phân tử là C6H12O6.
❌c. Sai. Hình (a) là cấu tạo dạng mạch vòng của α-glucose.
❌d. Sai. Hình (b) là cấu tạo dạng mạch vòng của α-fructose.

✔️ (a) đúng. OH trên C1 cùng phía bên dưới mặt phẳng với nhóm OH trên C2.
❌ (b) sai. Theo quy ước (phần lí thuyết sách có cung cấp) thì nhóm OH ở C4 nằm phía dưới của mặt phẳng.
❌ (c) sai. Vòng 6 cạnh có 5 nguyên tử carbon thôi + 1 nguyên tử oxygen rất rõ ràng.
✔️ (d) đúng. 3 nhóm OH trên C1; C2 và C4 cùng nằm ở phía dưới mặt phẳng.


Phân tích các phát biểu:
✔️ (a) đúng. Rất rõ ràng cả 2 công thức giống nhau hết, chỉ khác vị trí của nhóm OH ở carbon số 1 so với mặt phẳng thôi (tạo nên hai dạng α và β của cùng một chất - rõ hơn đó là glucose).
✔️ (b) đúng. Mẹo nhỏ nhỏ: beta (β) = b = bần cùng ⇒ vị trí OH ở C1 cùng phía với nhóm CH2OH ⇒ công thức 1 là đang tồn tại ở dạng beta.
✔️ (c) đúng, ở ý (b) đúng là dạng beta (β) thì công thức 2 tương ứng là dạng alpha (α) thôi.
❌ (d) sai. Chúng có thể chuyển đổi qua lại giữa dạng α - dạng β và cả dạng mạch hở.
Dạng 3: TRẮC NGHIỆM YÊU CẦU TRẢ LỜI NGẮN

Nhóm –OH hemiacetal là –OH gắn ở vị trí carbon số mấy?
Nhóm OH hemiacetal ở vị trí carbon số 1.
⟹ Điền đáp án 1

Nhóm –OH hemiketal là –OH gắn ở vị trí carbon số mấy?

Nhóm OH hemiketal ở vị trí carbon số 2.
⟹ Điền đáp án 2