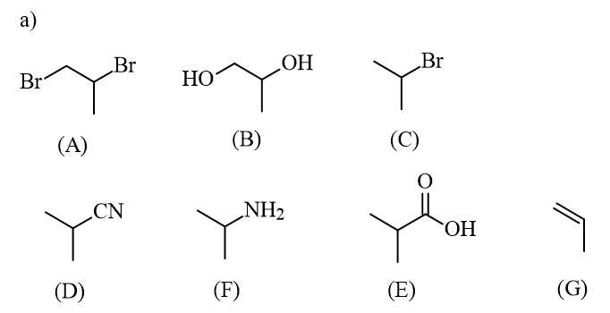
Dạng 1: TRẮC NGHIỆM KHÁCH QUAN: mỗi câu hỏi chỉ có một đáp án đúng.
Câu 1 [308713]: Dung dịch nào sau đây làm quỳ tím đổi thành màu xanh?
A, Dung dịch alanine.
B, Dung dịch glycine.
C, Dung dịch lysine.
D, Dung dịch valine.
Phân tích các đáp án:
❌A. Dung dịch alanine CH3CH(NH2)COOH có 1 nhóm amino và 1 nhóm carboxyl . Dung dịch alanine là môi trường trung tính không làm đổi màu quỳ tím thành màu xanh.
❌B. Dung dịch glycine H2NCH2COOH có 1 nhóm amino và 1 nhóm carboxyl . Dung dịch là môi trường trung tính không làm đổi màu quỳ tím thành màu xanh.
✔️C. Dung dịch lysine H2N(CH2)CH(NH2)COOH có 2 nhóm amino và 1 nhóm carboxyl . Môi trường base có khả năng làm đổi màu quỳ tím thành màu xanh.
❌D. Dung dịch valine (CH3)2CHCHNH2COOH có 1 nhóm amino và 1 nhóm carboxyl. Dung dịch valine là môi trường trung tính không làm đổi màu quỳ tím thành màu xanh.
⟹ Chọn đáp án C Đáp án: C
❌A. Dung dịch alanine CH3CH(NH2)COOH có 1 nhóm amino và 1 nhóm carboxyl . Dung dịch alanine là môi trường trung tính không làm đổi màu quỳ tím thành màu xanh.
❌B. Dung dịch glycine H2NCH2COOH có 1 nhóm amino và 1 nhóm carboxyl . Dung dịch là môi trường trung tính không làm đổi màu quỳ tím thành màu xanh.
✔️C. Dung dịch lysine H2N(CH2)CH(NH2)COOH có 2 nhóm amino và 1 nhóm carboxyl . Môi trường base có khả năng làm đổi màu quỳ tím thành màu xanh.
❌D. Dung dịch valine (CH3)2CHCHNH2COOH có 1 nhóm amino và 1 nhóm carboxyl. Dung dịch valine là môi trường trung tính không làm đổi màu quỳ tím thành màu xanh.
⟹ Chọn đáp án C Đáp án: C
Câu 2 [308714]: Dung dịch nào sau đây không làm đổi màu quỳ tím?
A, CH3NH2.
B, NaOH.
C, H2NCH2COOH.
D, HCl.
Phân tích các đáp án:
❌A. CH3NH2 là amine có tính base nên làm quỳ tím chuyển màu xanh.
❌B. NaOH là base mạnh nên chắc chắn làm quỳ tím chuyển màu xanh.
✔️C. H2NCH2COOH là amino acid có 1 nhóm amino và 1 nhóm carboxyl nên không làm đổi màu quỳ tím.
❌D. HCl là acid mạnh nên làm quỳ tím chuyển đỏ.
⇒ Chọn đáp án C Đáp án: C
❌A. CH3NH2 là amine có tính base nên làm quỳ tím chuyển màu xanh.
❌B. NaOH là base mạnh nên chắc chắn làm quỳ tím chuyển màu xanh.
✔️C. H2NCH2COOH là amino acid có 1 nhóm amino và 1 nhóm carboxyl nên không làm đổi màu quỳ tím.
❌D. HCl là acid mạnh nên làm quỳ tím chuyển đỏ.
⇒ Chọn đáp án C Đáp án: C
Câu 3 [308715]: Dung dịch chất nào sau đây làm quỳ tím chuyển màu xanh?
A, Aniline.
B, Glycine.
C, Valine.
D, Methylamine.
+) 3 dung dịch Aniline, Glycine, Valine là các amino acid mà trong phân tử có 1 nhóm amino và 1 nhóm carboxyl nên không làm chuyển màu quỳ tím.
+) Methylamine(CH3NH2) mang tính chất của một base yếu nên sẽ làm quỳ tím chuyển màu xanh.
⇒ Chọn đáp án D Đáp án: D
+) Methylamine(CH3NH2) mang tính chất của một base yếu nên sẽ làm quỳ tím chuyển màu xanh.
⇒ Chọn đáp án D Đáp án: D
Câu 4 [308716]: Dung dịch nào sau đây làm phenolphthalein đổi màu?
A, Glycine.
B, Acetic acid.
C, Alanine.
D, Methylamine.
Phân tích các đáp án:
❌A. Glycine là amino acid trong phân tử chứa 1 nhóm amino và 1 nhóm carboxyl nên không đổi màu phenolphtalein.
❌B. Acetic acid là acid nên không làm đổi màu phenolphtalein.
❌C. Alanine amino acid trong phân tử chứa 1 nhóm amino và 1 nhóm carboxyl nên không đổi màu phenolphtalein.
✔️D. Methylamine mang tính base yếu nên sẽ làm phenolphtalein chuyển sang màu hồng.
⇒ Chọn đáp án D Đáp án: D
❌A. Glycine là amino acid trong phân tử chứa 1 nhóm amino và 1 nhóm carboxyl nên không đổi màu phenolphtalein.
❌B. Acetic acid là acid nên không làm đổi màu phenolphtalein.
❌C. Alanine amino acid trong phân tử chứa 1 nhóm amino và 1 nhóm carboxyl nên không đổi màu phenolphtalein.
✔️D. Methylamine mang tính base yếu nên sẽ làm phenolphtalein chuyển sang màu hồng.
⇒ Chọn đáp án D Đáp án: D
Câu 5 [308717]: Dung dịch nào sau đây có pH < 7?
A, NH2CH2COOH.
B, CH3NH2.
C, NH2CH2COONa.
D, CH3COOH.
Phân tích các đáp án:
❌A. NH2CH2COOH là amino acid có 1 nhóm amino và 1 nhóm carboxyl nên có môi trường trung tính pH = 7.
❌B. CH3NH2 là một amine có tính base nên pH > 7.
❌C. NH2CH2COONa là muối của glycine với base mạnh nên có môi trường base pH > 7.
✔️D. CH3COOH có gốc -COOH là gốc acid nên pH<7.
⟹ Chọn đáp án D Đáp án: D
❌A. NH2CH2COOH là amino acid có 1 nhóm amino và 1 nhóm carboxyl nên có môi trường trung tính pH = 7.
❌B. CH3NH2 là một amine có tính base nên pH > 7.
❌C. NH2CH2COONa là muối của glycine với base mạnh nên có môi trường base pH > 7.
✔️D. CH3COOH có gốc -COOH là gốc acid nên pH<7.
⟹ Chọn đáp án D Đáp án: D
Câu 6 [308718]: Dung dịch các chất sau đều có cùng nồng độ mol, dung dịch có giá trị pH lớn nhất là
A, Acetic acid.
B, Lysine.
C, Formic acid.
D, Glycine.
Xét dung dịch 4 chất tỏng cùng nồng độ thì:
+) Acetic acid và Formic acid có pH < 7
+) Lysine có pH > 7 do trong phân tử có số nhóm amino nhiều hơn số nhóm carboxyl.
+) Glycine có pH ≈ 7 do trong phân tử có số nhóm amino bằng số nhóm carboxyl.
⇒ Chọn đáp án B Đáp án: B
+) Acetic acid và Formic acid có pH < 7
+) Lysine có pH > 7 do trong phân tử có số nhóm amino nhiều hơn số nhóm carboxyl.
+) Glycine có pH ≈ 7 do trong phân tử có số nhóm amino bằng số nhóm carboxyl.
⇒ Chọn đáp án B Đáp án: B
Câu 7 [308719]: Cho các chất sau: (1) glycine; (2) glutamic acid; (3) lysine. Các chất trên có cùng nồng độ. Thứ tự tăng dần giá trị pH là
A, (2) < (3) < (1).
B, (1) < (2) < (3).
C, (3) < (2) < (1).
D, (2) < (1) < (3).
(1) Glycine trong phân tử có 1 nhóm amino và 1 nhóm carboxyl nên có pH trung tính.
(2) Glutamic acid trong phân tử có 1 nhóm amino và 2 nhóm carboxyl nên có pH < 7
(3) Lysine trong phân tử có 2 nhóm amino và 1 nhóm carboxyl nên có pH > 7
⇒ Thứ tự giá trị pH tăng dần là: (2) < (1) < (3) Đáp án: D
(2) Glutamic acid trong phân tử có 1 nhóm amino và 2 nhóm carboxyl nên có pH < 7
(3) Lysine trong phân tử có 2 nhóm amino và 1 nhóm carboxyl nên có pH > 7
⇒ Thứ tự giá trị pH tăng dần là: (2) < (1) < (3) Đáp án: D
Câu 8 [308720]: Aminoacetic acid không tác dụng với dung dịch chất nào sau đây?
A, HCl.
B, KCl.
C, H2SO4 loãng.
D, NaOH.
Aminoacetic acid là chất lưỡng tính nên vừa có khả năng phản ứng với acid HCl, H2SO4, vừa có khả năng phản ứng với base NaOH.
⇒ Không phản ứng với KCl.
⟹ Chọn đáp án B Đáp án: B
⇒ Không phản ứng với KCl.
⟹ Chọn đáp án B Đáp án: B
Câu 9 [308721]: Chất nào sau đây có tính lưỡng tính?
A, Aniline.
B, Ethylamine.
C, Valine.
D, Methylamine.
Các chất Aniline (C6H5NH2), Ethylamine (C2H5NH2), Methylamine (CH3NH2) là các amine có tính base yếu nên không phải chất lưỡng tính.
Valine (CH3CH(CH3)CH(NH2)COOH) là chất lưỡng tính do trong phân tử vừa có nhóm amino thể hiện tính base, vừa có nhóm carboxyl thể hiện tính acid.
⟹ Chọn đáp án C Đáp án: C
Valine (CH3CH(CH3)CH(NH2)COOH) là chất lưỡng tính do trong phân tử vừa có nhóm amino thể hiện tính base, vừa có nhóm carboxyl thể hiện tính acid.
⟹ Chọn đáp án C Đáp án: C
Câu 10 [308722]: Chất nào dưới đây không có tính lưỡng tính?
A, Alanine.
B, Glutamic acid.
C, Valine.
D, Ethylamine.
- Các chất :
Alanine (CH3-CH(NH2)-COOH)
Glutamic acid (HOOC-CH2CH2CH(NH2)COOH)
Valine (CH3CH(CH3)CH(NH2)COOH)
Là các chất lưỡng do trong phân tử vừa có nhóm amino thể hiện tính base, vừa có nhóm carboxyl thể hiện tính acid.
- Ethylamine (C2H5NH2) là amine chỉ mang tính base yếu nên không phải chất lưỡng tính.
⇒ Chọn đáp án D Đáp án: D
Alanine (CH3-CH(NH2)-COOH)
Glutamic acid (HOOC-CH2CH2CH(NH2)COOH)
Valine (CH3CH(CH3)CH(NH2)COOH)
Là các chất lưỡng do trong phân tử vừa có nhóm amino thể hiện tính base, vừa có nhóm carboxyl thể hiện tính acid.
- Ethylamine (C2H5NH2) là amine chỉ mang tính base yếu nên không phải chất lưỡng tính.
⇒ Chọn đáp án D Đáp án: D
Câu 11 [704029]: Histidine là một trong 20 loại amino acid có trong protein. Phân tử histidine được proton hóa hoàn toàn được hiển thị ở đây, trong đó các con số biểu thị Ka của các nhóm tương ứng:

Biết rằng ion H+ đầu tiên sẽ tách ra khỏi nhóm acid mạnh nhất, sau đó là nhóm acid mạnh tiếp theo,… Sau khi tách ion H+ của nhóm nào thì tạo ra được phân tử trung hòa về điện?

Biết rằng ion H+ đầu tiên sẽ tách ra khỏi nhóm acid mạnh nhất, sau đó là nhóm acid mạnh tiếp theo,… Sau khi tách ion H+ của nhóm nào thì tạo ra được phân tử trung hòa về điện?
A, Nhóm ❶.
B, Nhóm ❷.
C, Nhóm ❸.
D, Không tách H+.
Ka càng lớn tính acid càng mạnh → thứ tự tách H+ là 3 > 2 > 1.
Quá trình proton hóa hoàn toàn phân tử histidine được diễn ra như sau:

Từ đó thấy được sau khi tách ion H+ của nhóm số 2 thì tạo ra được phân tử trung hòa về điện.
⇒ Chọn đáp án B Đáp án: B
Quá trình proton hóa hoàn toàn phân tử histidine được diễn ra như sau:

Từ đó thấy được sau khi tách ion H+ của nhóm số 2 thì tạo ra được phân tử trung hòa về điện.
⇒ Chọn đáp án B Đáp án: B
Câu 12 [308723]: Cho sơ đồ phản ứng: 
Trong sơ đồ trên, mỗi mũi tên là một phương trình phản ứng, Y là chất nào sau đây?

Trong sơ đồ trên, mỗi mũi tên là một phương trình phản ứng, Y là chất nào sau đây?
A, NaOOCCH2CH(NH3Cl)COONa.
B, NaOOCCH2CH2CH(NH2)COONa.
C, NaCOOCCH2CH2CH(NH3Cl)COONa.
D, NaOOCCH2CH(NH2)COONa.
Glutamic acid: HOOC[CH2]2CH(NH2)COOH
- Phản ứng Glutamic acid với HCl:
- Phản ứng Glutamic acid với HCl:
HOOCCH2CH2CH(NH2)COOH + HCl → HOOCCH2CH2CH(NH3Cl)COOH (X)
- Phản ứng muối ammonium với NaOH:
Đáp án: B HOOCCH2CH2CH(NH3Cl)COOH + 3NaOH → NaOOCCH2CH2CH(NH2)COONa + NaCl + H2O
→ Y là NaOOCCH2CH2CH(NH2)COONa
Câu 13 [308724]: Cho sơ đồ phản ứng:


Biết X, Y, A, B là các hợp chất hữu cơ.
Phát biểu nào sai?


Biết X, Y, A, B là các hợp chất hữu cơ.
Phát biểu nào sai?
A, X có công thức phân tử C3H6NO2Na.
B, X và B là đồng phân của nhau.
C, Y và B là hai chất khác nhau.
D, Y có công thức phân tử C3H8ClNO2.
HD:
Alanine có CTCT là CH3CH(NH2)COOH
(a) CH3CH(NH2)COOH + NaOH → CH3CH(NH2)COONa (X) + H2O
CH3CH(NH2)COONa + 2HCl → CH3CH(NH3Cl)COOH (Y) + NaCl
(b) CH3CH(NH2)COOH + HCl → CH3CH(NH3Cl)COOH (A)
CH3CH(NH3Cl)COOH + 2NaOH → CH3CH(NH2)COONa (B) + 2H2O + NaCl
Alanine có CTCT là CH3CH(NH2)COOH
(a) CH3CH(NH2)COOH + NaOH → CH3CH(NH2)COONa (X) + H2O
CH3CH(NH2)COONa + 2HCl → CH3CH(NH3Cl)COOH (Y) + NaCl
(b) CH3CH(NH2)COOH + HCl → CH3CH(NH3Cl)COOH (A)
CH3CH(NH3Cl)COOH + 2NaOH → CH3CH(NH2)COONa (B) + 2H2O + NaCl
Xét các phát biểu, thấy đáp án B. sai vì X và B là cùng 1 chất.
Đáp án: B
Câu 14 [308725]: Tại pH = 7, tổng điện tích của phân tử glycine là
A, –1.
B, –2.
C, 0.
D, +1.
Tại pH = 7, môi trường trung tính, glycine tồn tại ở dạng ion lưỡng cực: H3N+―CH2―COO-
Trong phân tử có 1 gốc H3N+ và 1 gốc COO- nên tổng điện tích của glycine bằng 0.
⟹ Chọn đáp án C Đáp án: C
Trong phân tử có 1 gốc H3N+ và 1 gốc COO- nên tổng điện tích của glycine bằng 0.
⟹ Chọn đáp án C Đáp án: C
Câu 15 [308726]: Tại pH = 7, tổng điện tích của phân tử glutamic acid là
A, –2.
B, –1.
C, 0.
D, +2.
Tại pH = 7, môi trường trung tính, glutamic acid tồn tại ở dạng ion lưỡng cực: -OOC―[CH2]2―CH(H3N+)―COO-
Trong phân tử có 1 gốc H3N+ và 2 gốc COO- nên tổng điện tích của glutamic acid bằng -1.
⟹ Chọn đáp án B Đáp án: B
Trong phân tử có 1 gốc H3N+ và 2 gốc COO- nên tổng điện tích của glutamic acid bằng -1.
⟹ Chọn đáp án B Đáp án: B
Câu 16 [308727]: Tại pH = 1, tổng điện tích của phân tử lysine là
A, –1.
B, –2.
C, 0.
D, +2.
Tại pH = 1, môi trường acid, chứa nhiều ion H+ nên lysine sẽ phản ứng với H+ để tạo thành dạng cation mang điện tích dương: H3N+―[CH2]4―CH(H3N+)―COOH
Trong phân tử có 2 gốc H3N+ nên tổng điện tích của lysine bằng +2.
⟹ Chọn đáp án D Đáp án: D
Trong phân tử có 2 gốc H3N+ nên tổng điện tích của lysine bằng +2.
⟹ Chọn đáp án D Đáp án: D
Câu 17 [308728]: Tại pH = 14, tổng điện tích của phân tử glutamic acid là
A, –1.
B, –2.
C, 0.
D, +2.
Tại pH = 14, môi trường base, chứa nhiều ion OH- nên glutamic acid sẽ phản ứng với OH- để tạo thành dạng anion mang điện tích âm:
-OOC―[CH2]2―CH(H2N)―COO-
Đáp án: B Trong phân tử có 2 gốc COO- nên tổng điện tích của glutamic acid bằng -2.
⟹ Chọn đáp án B
⟹ Chọn đáp án B
Câu 18 [308729]: Một hỗn hợp của ba chất sau đây được đưa vào môi trường điện di:

Kết quả điện di nào sau đây có thể biểu thị sự phân tách của ba hợp chất?

Kết quả điện di nào sau đây có thể biểu thị sự phân tách của ba hợp chất?
A, 

B, 

C, 

D, 

- Glycine có tổng điện tích bằng 0 do tồn tại ở dạng ion lưỡng cực nên gần như không bị ảnh hưởng bởi điện trường, hầu như không di chuyển.
- Glutamic acid tồn tại ở dạng anion do có tổng điện tích bằng -1 và bị hút về cực dương.
- Lysine tồn tại ở dạng cation do có tổng điện tích bằng +1 và bị hút về cực âm.
⇒ Chọn đáp án D Đáp án: D
- Glutamic acid tồn tại ở dạng anion do có tổng điện tích bằng -1 và bị hút về cực dương.
- Lysine tồn tại ở dạng cation do có tổng điện tích bằng +1 và bị hút về cực âm.
⇒ Chọn đáp án D Đáp án: D
Câu 19 [308730]: Hợp chất nào sau đây là ester của amino acid?
A, H2NCH2COONH3CH3.
B, H2NCH2COOH.
C, H2NCH2CONHCH2COOH.
D, H2NCH2COOCH3.
Ester của các amino acid có dạng tổng quát: H2NRCOOR' Đáp án: D
Câu 20 [308731]: Tiến hành phản ứng ester hoá nhóm COOH trong glycine bằng cách cho glycine phản ứng với methanol trong môi trường acid HCl thu được sản phẩm là
A, ClNH3CH2COOCH3.
B, ClNH3CH2CH2COOCH3.
C, ClNH3CH2COOC2H3.
D, ClNH3CH2COOC2H5.
Phản ứng hóa học:
Đáp án: A
Đáp án: A
Câu 21 [308732]: Glutamic acid khi phản ứng với ethanol trong môi trường acid HCl thu được sản phẩm X đã được ester hoá hoàn toàn. Công thức cấu tạo của X là
A, ClH3NC3H5(COOH)COOCH3.
B, ClH3NC3H5COOC2H5.
C, ClH3NC3H5(COOC2H5)2.
D, ClH3NC3H5(COOH)COOC2H5.
Phương trình hóa học:

⟹ Chọn đáp án C Đáp án: C

⟹ Chọn đáp án C Đáp án: C
Câu 22 [308733]: Cho H2NCH2COOC2H5 tác dụng với dung dịch NaOH thu được muối có công thức là
A, CH3COONa.
B, H2NCH2COONa.
C, C2H5COONa.
D, H2NCOONa.
Phản ứng hóa học:
H2NCH2COOC2H5 + NaOH → H2NCH2COONa + C2H5OH
Đáp án: B
Câu 23 [308734]: Đun nóng chất hữu cơ X trong dung dịch NaOH, thu được ethyl alcohol, NaCl, H2O và muối sodium của alanine. Công thức của X là
A, H2NC(CH3)2COOC2H5.
B, ClH3NCH(CH3)COOC2H5.
C, H2NCH(CH3)COOC2H5.
D, ClH3NCH2COOC2H5.
Phương trình phản ứng:
X + NaOH → H2NC2H4COONa + NaCl + C2H5OH + H2O
⇒ X có CTCT là: ClH3NCH(CH3)COOC2H5
⟹Chọn đáp án B Đáp án: B
X + NaOH → H2NC2H4COONa + NaCl + C2H5OH + H2O
⇒ X có CTCT là: ClH3NCH(CH3)COOC2H5
⟹Chọn đáp án B Đáp án: B
Câu 24 [308735]: Sản phẩm của phản ứng trùng ngưng amino acid H2N–CH2–COOH là:
A, 

B, 

C, 

D, 

Amino acid H2N–CH2–COOH là glycine. Khi glycine tham gia phản ứng trùng ngưng, các phân tử sẽ liên kết với nhau bằng liên kết peptide (–CO–NH–) và giải phóng nước.
Phản ứng xảy ra:
nH2N–CH2–COOH → (−NH–CH2–CO−)n + (n−1)H2O
👉 Sản phẩm thu được là polyglycine – một loại polypeptide có công thức: (−NH–CH2–CO−)n
Đây là một chuỗi polyamide, tương tự như các protein đơn giản.
⇒ Chọn đáp án A Đáp án: A
Phản ứng xảy ra:
nH2N–CH2–COOH → (−NH–CH2–CO−)n + (n−1)H2O
👉 Sản phẩm thu được là polyglycine – một loại polypeptide có công thức: (−NH–CH2–CO−)n
Đây là một chuỗi polyamide, tương tự như các protein đơn giản.
⇒ Chọn đáp án A Đáp án: A
Câu 25 [308736]: Sản phẩm của phản ứng trùng ngưng amino acid CH3–CH(NH2)–COOH là:
A, 

B, 

C, 

D, 

Amino acid CH3–CH(NH2)–COOH là alanine (2-aminopropanoic acid). Phản ứng trùng ngưng của alanine Khi các phân tử alanine phản ứng trùng ngưng, nhóm -COOH của một phân tử kết hợp với nhóm –NH2 của phân tử khác, tạo thành liên kết peptide (–CO–NH–) và giải phóng nước.
Phương trình xảy ra:
nCH3–CH(NH2)–COOH → (−NH–CH(CH3)–CO−)n + (n−1)H2O
👉 Sản phẩm thu được là polyalanine – một polypeptide có công thức: (−NH–CH(CH3)–CO−)n
Polyalanine là một loại polyamide, tương tự như protein, có thể tạo thành chuỗi peptide hoặc cấu trúc phức tạp hơn trong protein tự nhiên.
⇒ Chọn đáp án D Đáp án: D
Phương trình xảy ra:
nCH3–CH(NH2)–COOH → (−NH–CH(CH3)–CO−)n + (n−1)H2O
👉 Sản phẩm thu được là polyalanine – một polypeptide có công thức: (−NH–CH(CH3)–CO−)n
Polyalanine là một loại polyamide, tương tự như protein, có thể tạo thành chuỗi peptide hoặc cấu trúc phức tạp hơn trong protein tự nhiên.
⇒ Chọn đáp án D Đáp án: D
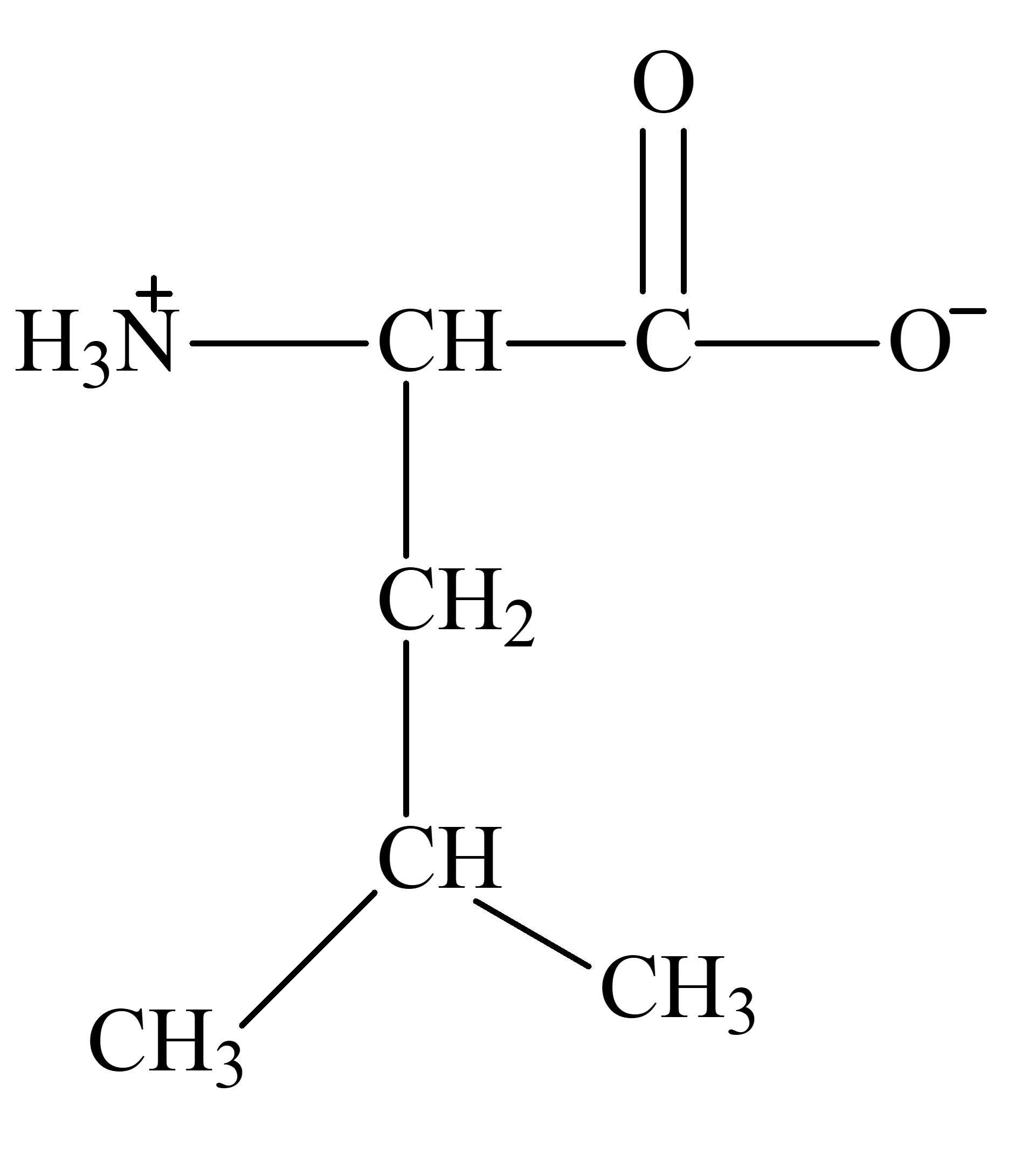
Câu 26 [1009904]: Amino acid X có một nhóm amino và một nhóm carboxyl trong phân tử. Chất Y là ester của amino acid X với alcohol đơn chức Z. Biết phân tử khối của Y là 89. Công thức cấu tạo của X và Y lần lượt là
A, H2N[CH2]2COOH, H2N[CH2]2COOCH3.
B, H2N[CH2]2COOH, H2N[CH2]2COOC2H5.
C, H2NCH2COOH, H2NCH2COOC2H5.
D, H2NCH2COOH, H2NCH2COOCH3.
Amino acid X có một nhóm amino và một nhóm carboxyl trong phân tử
→ Công thức tổng quát của X là H2N-R-COOH.
Chất Y là ester của amino acid X với alcohol đơn chức Z. Biết phân tử khối của Y là 89.
Mà amino acid nhỏ nhất có phân tử khối là 75 amu, nên amino acid X là glycine và alcohol đơn chức Z là methyl alcohol
Công thức cấu tạo của X và Y lần lượt là
(X) H2NCH2COOH; (Y) H2NCH2COOCH3.
⟹ Chọn đáp án D Đáp án: D
→ Công thức tổng quát của X là H2N-R-COOH.
Chất Y là ester của amino acid X với alcohol đơn chức Z. Biết phân tử khối của Y là 89.
Mà amino acid nhỏ nhất có phân tử khối là 75 amu, nên amino acid X là glycine và alcohol đơn chức Z là methyl alcohol
Công thức cấu tạo của X và Y lần lượt là
(X) H2NCH2COOH; (Y) H2NCH2COOCH3.
⟹ Chọn đáp án D Đáp án: D
Câu 27 [308737]: Khi trùng ngưng 15 gam glycine, ngoài amino acid dư người ta còn thu được 9,12 gam hỗn hợp polymer và nước. Hiệu suất của phản ứng trùng ngưng tạo polymer là
A, 80%.
B, 70%.
C, 60%.
D, 50%.
HD:
PTHH:
→ Hiệu suất phản ứng đạt: (9,12/15).100% = 60% Đáp án: C
PTHH:
nNH2-CH2-COOH → (-NH-CH2-CO-)n + nH2O
Dùng định luật bảo toàn khối lượng: m Polymer + H2O = mGlycine = 9,12 gam→ Hiệu suất phản ứng đạt: (9,12/15).100% = 60% Đáp án: C
Câu 28 [308738]: Cho các nhận định sau:
(a) Alanine làm quỳ tím hóa xanh. (b) Glutamic acid làm quỳ tím hóa đỏ.
(c) Lysine làm quỳ tím hóa xanh. (d) Methionine là thuốc bổ thận.
(e) Adipic acid và hexamethylenediamine là nguyên liệu để sản xuất tơ nylon-6,6.
Số nhận định đúng là
(a) Alanine làm quỳ tím hóa xanh. (b) Glutamic acid làm quỳ tím hóa đỏ.
(c) Lysine làm quỳ tím hóa xanh. (d) Methionine là thuốc bổ thận.
(e) Adipic acid và hexamethylenediamine là nguyên liệu để sản xuất tơ nylon-6,6.
Số nhận định đúng là
A, 2.
B, 5.
C, 3.
D, 4.
Các nhận định đúng là: (b) (c) (e)
(a). Sai vì Alanine không làm đổi màu quỳ tím.
(d). Sai vì Methionine là thuốc bổ gan, có tác dụng tăng cường tổng hợp Glutathione và nó được sử dụng thay thế cho Acetylcysteine nhằm điều trị quá liều Paracetamol đề phòng tổn thương gan. Ngoài ra, Methionine còn được dùng theo đường uống để làm giảm nồng độ pH trong nước tiểu, điều trị các rối loạn chức năng gan. Đáp án: C
(a). Sai vì Alanine không làm đổi màu quỳ tím.
(d). Sai vì Methionine là thuốc bổ gan, có tác dụng tăng cường tổng hợp Glutathione và nó được sử dụng thay thế cho Acetylcysteine nhằm điều trị quá liều Paracetamol đề phòng tổn thương gan. Ngoài ra, Methionine còn được dùng theo đường uống để làm giảm nồng độ pH trong nước tiểu, điều trị các rối loạn chức năng gan. Đáp án: C
Dạng 2: TRẮC NGHIỆM ĐÚNG SAI – mỗi ý a), b), c), d) chọn đúng hoặc sai.
Câu 29 [308739]: Alanine là một amino acid được sử dụng trong quá trình sinh tổng hợp protein. Alanine là một amino acid không thiết yếu, có nghĩa là vì nó được sản xuất bởi cơ thể nên con người không cần tiêu thụ qua chế độ ăn uống.
Phân tích các phát biểu:
✔ a. Đúng. Alanine có tính lưỡng tính giống tất cả các amino acid khác do trong phân tử vừa có nhóm amino mang tính base, vừa có nhóm carboxyl mang tính acid.
✔ b. Đúng. Alanine tham gia phản ứng ester hóa với CH3OH khi có acid HCl xúc tác do nhóm chức acid COOH của amino acid có những tính chất chung giống nhóm COOH của carboxylic acid.
✘ c. Sai. Alanine không làm đổi màu quỳ tím do trong phân tử có 1 nhóm amino và 1 nhóm carboxyl trung hòa với nhau.
✔ d. Đúng. Alaine thuộc loại α-amino acid do nhóm amino được gắn vào carbon số 2.
✔ a. Đúng. Alanine có tính lưỡng tính giống tất cả các amino acid khác do trong phân tử vừa có nhóm amino mang tính base, vừa có nhóm carboxyl mang tính acid.
✔ b. Đúng. Alanine tham gia phản ứng ester hóa với CH3OH khi có acid HCl xúc tác do nhóm chức acid COOH của amino acid có những tính chất chung giống nhóm COOH của carboxylic acid.
✘ c. Sai. Alanine không làm đổi màu quỳ tím do trong phân tử có 1 nhóm amino và 1 nhóm carboxyl trung hòa với nhau.
✔ d. Đúng. Alaine thuộc loại α-amino acid do nhóm amino được gắn vào carbon số 2.
Câu 30 [308740]: Glutamic acid là một α-amino acid. Monosodium glutamate (viết tắt MSG), thường được gọi bột ngọt hoặc mì chính, là muối sodium của glutamic acid.
Phân tích các phát biểu:
✔ a. Đúng. Phân tử glutamic acid phản ứng với ethanol tạo tối đa 2 nhóm ester do trong phân tử có 2 nhóm carboxyl.
✔ b. Đúng. Glutamic acid làm quỳ tím chuyển màu đỏ do trong phân tử có số nhóm carboxyl nhiều hơn nhóm amino.
✔ c. Đúng. Glutamic acid cũng giống như các amino acid khác, đều tồn tại wor dạng ion lưỡng cực.
✘ d. Sai. Thành phần chính của bột ngọt là muối sodium của glutamic acid: Monosodium glutamate.
✔ a. Đúng. Phân tử glutamic acid phản ứng với ethanol tạo tối đa 2 nhóm ester do trong phân tử có 2 nhóm carboxyl.
✔ b. Đúng. Glutamic acid làm quỳ tím chuyển màu đỏ do trong phân tử có số nhóm carboxyl nhiều hơn nhóm amino.
✔ c. Đúng. Glutamic acid cũng giống như các amino acid khác, đều tồn tại wor dạng ion lưỡng cực.
✘ d. Sai. Thành phần chính của bột ngọt là muối sodium của glutamic acid: Monosodium glutamate.
Câu 31 [308741]: Arginine có công dụng giúp bổ gan, tăng cường chức năng gan, hỗ trợ bảo vệ gan, giải độc gan, giảm được cholesterol máu, giúp ăn ngon hơn, ngủ sâu hơn, hỗ trợ điều trị bệnh lý về gan, giúp ngăn chặn những tổn thương ở gan. Công thức cấu tạo của Arginine như sau:
Phân tích các phát biểu:
✔ a. Đúng. Từ CTCT có thể suy ra được CTPT của arginine là C6H14N4O2
✔ b. Đúng. Arginine có tính lưỡng tính do trong phân tử vừa có nhóm NH2 mang tính base, vừa có nhóm COOH mang tính acid.
✔ c. Đúng. Arginine là amino acid dựa vào đặc điểm vừa phân tích ở phát biểu (b).
✘ d. Sai. Arginine chỉ tác dụng với NaOH theo tỉ lệ mol 1:1 do phân tử arginine chỉ có 1 nhóm COOH
✔ a. Đúng. Từ CTCT có thể suy ra được CTPT của arginine là C6H14N4O2
✔ b. Đúng. Arginine có tính lưỡng tính do trong phân tử vừa có nhóm NH2 mang tính base, vừa có nhóm COOH mang tính acid.
✔ c. Đúng. Arginine là amino acid dựa vào đặc điểm vừa phân tích ở phát biểu (b).
✘ d. Sai. Arginine chỉ tác dụng với NaOH theo tỉ lệ mol 1:1 do phân tử arginine chỉ có 1 nhóm COOH
Câu 32 [308743]: Hợp chất A là một amino acid. Phổ MS của ester B (được điều chế từ A và methanol) xuất hiện peak của ion phân tử [M] có giá trị m/z = 89.
Phân tích các phát biểu:
✘ a. Sai. Chất B có công thức là H2N-R-COO-CH3.
✔ b. Đúng. Ester B được điều chế từ A (H2N-R) và methanol có phổ MS xuất hiện peak ion phân tử [M] có giá trị m/z = 89 ⇔ MH2NRCOOCH3 = 89 ⇔ R = 14 (-CH2-) → A có CTCT: H2NCH2COOH (Glycine)
✔ c. Đúng. Do nhóm NH2 trong phân tử A được gắn vào carbon số 2.
✘ d. Sai. B được tạo bởi amino acid có 1 nhóm COOH nên sẽ chỉ phản ứng với NaOH theo tỉ lệ 1:1
✘ a. Sai. Chất B có công thức là H2N-R-COO-CH3.
✔ b. Đúng. Ester B được điều chế từ A (H2N-R) và methanol có phổ MS xuất hiện peak ion phân tử [M] có giá trị m/z = 89 ⇔ MH2NRCOOCH3 = 89 ⇔ R = 14 (-CH2-) → A có CTCT: H2NCH2COOH (Glycine)
✔ c. Đúng. Do nhóm NH2 trong phân tử A được gắn vào carbon số 2.
✘ d. Sai. B được tạo bởi amino acid có 1 nhóm COOH nên sẽ chỉ phản ứng với NaOH theo tỉ lệ 1:1
Câu 33 [308742]: Tryptophan là một amino acid thiết yếu, nghĩa là cơ thể không tự tổng hợp được mà bắt buộc phải thu nạp từ bên ngoài (thức ăn, dược phẩm). Ngày nay, tryptophan đã được ghi nhận là thành phần thiết yếu trong cấu trúc của rất nhiều các phân tử sinh vật duy trì sự sống, như enzyme, protein cấu trúc, serotonin, melatonin, và chất dẫn truyền thần kinh. Tryptophan có công thức cấu tạo như sau:
Phân tích các phát biểu:
✘ a. Sai. Giống với Aniline, cấu trúc của Tryptophan cũng là nguyên tử N liên kết trực tiếp với vòng thơm nên làm giảm tính base. Aniline không làm đổi màu dung dịch phenolphthalein nên nhóm NH gắn với vòng benzene trong phân tử Tryptophan cũng không làm đổi màu.
✔ b. Đúng. Phản ứng của tryptophan với NaOH bản chất là phản ứng của nhóm COOH trong Tryptophan phản ứng với NaOH. Vậy phân tử Tryptophan chứa 1 nhóm COOH nên sẽ phản ứng với NaOH theo tỉ lệ mol 1:1.
✔ c. Đúng. Tryptophan là chất lưỡng tính vì phân tả chứa cả nhóm NH2 và nhóm COOH.
✔ d. Đúng. Nhóm NH2 trong Tryptophan được gắn vào carbon số 2 nên Tryptophan thuộc loại α-amino acid.
✘ a. Sai. Giống với Aniline, cấu trúc của Tryptophan cũng là nguyên tử N liên kết trực tiếp với vòng thơm nên làm giảm tính base. Aniline không làm đổi màu dung dịch phenolphthalein nên nhóm NH gắn với vòng benzene trong phân tử Tryptophan cũng không làm đổi màu.
✔ b. Đúng. Phản ứng của tryptophan với NaOH bản chất là phản ứng của nhóm COOH trong Tryptophan phản ứng với NaOH. Vậy phân tử Tryptophan chứa 1 nhóm COOH nên sẽ phản ứng với NaOH theo tỉ lệ mol 1:1.
✔ c. Đúng. Tryptophan là chất lưỡng tính vì phân tả chứa cả nhóm NH2 và nhóm COOH.
✔ d. Đúng. Nhóm NH2 trong Tryptophan được gắn vào carbon số 2 nên Tryptophan thuộc loại α-amino acid.
Câu 34 [1009906]: Kết quả phân tích nguyên tố trong phân tử chất X như sau: %C = 46,60%; %H = 8,74%; %N = 13,59% (về khối lượng), còn lại là oxygen. Từ phổ khối lượng (MS), xác định được phân tử khối của X bằng 103. Thủy phân X thu được một α-amino acid Y và chất Z có công thức phân tử CH4O.
Gọi công thức phân tử của chất X là CaHbNcOd
Từ phổ khối lượng phân tử khối của chất là 103 amu.
Công thức phân tử của chất là C4H9NO2.
Thủy phân chất X thu được chất Z có công thức phân tử là CH4O và Y là α-amino acid
→ Z có công thức cấu tạo là CH3OH và Y có công thức cấu tạo là CH3CH(NH2)COOH
Công thức cấu tạo của X là

Phân tích các đáp án:
❌(a) – Sai. Trong phân tử chất X có nhóm chức amino và nhóm Ester.
✔️(b) – Đúng. Có thể điều chế chất X bằng phản ứng ester hóa của a-amino acid với alcohol.

❌(c) – Sai. Tên bán hệ thống của chất Y là α-aminopropanoic acid.
✔️(d) – Đúng. Chất X có nhóm chức amino và nhóm chức ester nên vừa phản ứng với acid mạnh vừa phản ứng với base mạnh.
Từ phổ khối lượng phân tử khối của chất là 103 amu.
Công thức phân tử của chất là C4H9NO2.
Thủy phân chất X thu được chất Z có công thức phân tử là CH4O và Y là α-amino acid
→ Z có công thức cấu tạo là CH3OH và Y có công thức cấu tạo là CH3CH(NH2)COOH
Công thức cấu tạo của X là

Phân tích các đáp án:
❌(a) – Sai. Trong phân tử chất X có nhóm chức amino và nhóm Ester.
✔️(b) – Đúng. Có thể điều chế chất X bằng phản ứng ester hóa của a-amino acid với alcohol.

❌(c) – Sai. Tên bán hệ thống của chất Y là α-aminopropanoic acid.
✔️(d) – Đúng. Chất X có nhóm chức amino và nhóm chức ester nên vừa phản ứng với acid mạnh vừa phản ứng với base mạnh.
Dạng 3: TRẮC NGHIỆM YÊU CẦU TRẢ LỜI NGẮN
Câu 35 [308744]: Cho các dung dịch riêng biệt: aniline, glycine, glutamic acid, lysine, valine, alanine. Số dung dịch có môi trường acid là
HD: Phân tích cấu tạo các chất:
❌ aniline: C6H5NH2: amine yếu → dung dịch có môi trường pH > 7 không nhiều.
❌ glycine: H2NCH2COOH, số nhóm NH2 = COOH nên dung dịch có môi trường trung tính, pH ≈ 7.
✔️ glutamic acid: H2NC3H5(COOH)2 có số nhóm NH2 < COOH nên dung dịch có môi trường acid pH < 7.
❌ lysine: (H2N)2C5H9COOH có số nhóm NH2 > COOH nên dung dịch có môi trường base, pH > 7.
❌ valine: H2NC4H8COOH, số nhóm NH2 = COOH nên dung dịch có môi trường trung tính, pH ≈ 7.
❌ alanine: H2NC2H4COOH, số nhóm NH2 = COOH nên dung dịch có môi trường trung tính, pH ≈ 7.
⇒ Chỉ có duy nhất glutamic acid có môi trường acid
⇒ Điền đáp án: 1
❌ aniline: C6H5NH2: amine yếu → dung dịch có môi trường pH > 7 không nhiều.
❌ glycine: H2NCH2COOH, số nhóm NH2 = COOH nên dung dịch có môi trường trung tính, pH ≈ 7.
✔️ glutamic acid: H2NC3H5(COOH)2 có số nhóm NH2 < COOH nên dung dịch có môi trường acid pH < 7.
❌ lysine: (H2N)2C5H9COOH có số nhóm NH2 > COOH nên dung dịch có môi trường base, pH > 7.
❌ valine: H2NC4H8COOH, số nhóm NH2 = COOH nên dung dịch có môi trường trung tính, pH ≈ 7.
❌ alanine: H2NC2H4COOH, số nhóm NH2 = COOH nên dung dịch có môi trường trung tính, pH ≈ 7.
⇒ Chỉ có duy nhất glutamic acid có môi trường acid
⇒ Điền đáp án: 1
Câu 36 [308745]: Cho các dung dịch: (1) methylamine, (2) aniline, (3) glutamic acid, (4) lysine, (5) adipic acid. Số dung dịch làm phenolphthalein chuyển sang màu hồng là
HD: Phân tích cấu tạo các chất:
(1) Methylamin và (4) lysine (số nhóm –NH2 nhiều hơn số nhóm –COOH) cho môi trường base và làm dung dịch phenolphtalein chuyển sang màu hồng.
(2)Aniline có tính base rất yếu, không làm đổi màu quỳ tím hay dung dịch phenolphtalein.
(3) Glutamic acid (số nhóm –COOH nhiều hơn số nhóm –NH2) và (5) adipic acid cho môi trường acid nên không làm chuyển màu dung dịch phenolphtalein.
⇒ Dung dịch làm phenolphthalein chuyển sang màu hồng là (1) và (4)
⇒ Điền đáp án: 2
(1) Methylamin và (4) lysine (số nhóm –NH2 nhiều hơn số nhóm –COOH) cho môi trường base và làm dung dịch phenolphtalein chuyển sang màu hồng.
(2)Aniline có tính base rất yếu, không làm đổi màu quỳ tím hay dung dịch phenolphtalein.
(3) Glutamic acid (số nhóm –COOH nhiều hơn số nhóm –NH2) và (5) adipic acid cho môi trường acid nên không làm chuyển màu dung dịch phenolphtalein.
⇒ Dung dịch làm phenolphthalein chuyển sang màu hồng là (1) và (4)
⇒ Điền đáp án: 2
Câu 37 [308746]: Cho các chất: (1) dimethylamine, (2) phenylamine, (3) phenylammonium chloride, (4) α,ɛ–diaminocaproic acid, (5) hexamethylenediamine. Số dung dịch làm quỳ tím chuyển sang màu xanh là
HD: Phân tích cấu tạo các chất:
✔️ (1) dimethylamine: CH3NHCH3 mang tính base nên làm quỳ tím hóa xanh.
❌ (2) phenylamine: C6H5NH2 không làm quỳ tím đổi màu.
❌ (3) phenylammonium chloride: C6H5NH3Cl: làm quỳ tím hóa đỏ.
✔️ (4) α,ɛ–diaminocaproic acid: H2N(CH2)4CH(NH2)COOH: làm quỳ tím hóa xanh do số nhóm NH2 > COOH
✔️ (5) hexamethylenediamine: H2N[CH2]6NH2: làm quỳ tím hóa xanh
⇒ Điền đáp án: 3
✔️ (1) dimethylamine: CH3NHCH3 mang tính base nên làm quỳ tím hóa xanh.
❌ (2) phenylamine: C6H5NH2 không làm quỳ tím đổi màu.
❌ (3) phenylammonium chloride: C6H5NH3Cl: làm quỳ tím hóa đỏ.
✔️ (4) α,ɛ–diaminocaproic acid: H2N(CH2)4CH(NH2)COOH: làm quỳ tím hóa xanh do số nhóm NH2 > COOH
✔️ (5) hexamethylenediamine: H2N[CH2]6NH2: làm quỳ tím hóa xanh
⇒ Điền đáp án: 3
Câu 38 [308747]: Cho dãy các chất: methyl acetate, tristearin, aniline, glycine. Số chất có phản ứng với NaOH trong dung dịch ở điều kiện thích hợp là
HD:
Số chất phản ứng với NaOH ở điều kiện thích hợp đó là:
+ Methyl acetate:
CH3COOCH3 + NaOH → CH3COONa + CH3OH
+ Tristearin:
(C17H35COO)3C3H5 + 3NaOH → 3C17H35COONa + C3H5(OH)3
+ Glycine:
H2NCH2COOH + NaOH → H2NCH2COONa + H2O
⇒ Điền đáp án: 3
Số chất phản ứng với NaOH ở điều kiện thích hợp đó là:
+ Methyl acetate:
CH3COOCH3 + NaOH → CH3COONa + CH3OH
+ Tristearin:
(C17H35COO)3C3H5 + 3NaOH → 3C17H35COONa + C3H5(OH)3
+ Glycine:
H2NCH2COOH + NaOH → H2NCH2COONa + H2O
⇒ Điền đáp án: 3
Câu 39 [308748]: X là α – amino acid chứa một nhóm amino và một nhóm carboxyl; Y là alcohol no, hai chức; Z là ester tạo bởi X và Y, phân tử khối của Z là 133. Số công thức cấu tạo phù hợp với Z là
Khi tạo thành ester từ X và Y, nhóm -OH từ acid và nhóm -H từ alcohol sẽ tạo ra nước, làm giảm 18 g/mol từ tổng khối lượng của X và Y.
→ MZ = MX + MY - 18 = 133 → MX + MY = 151
* Giả sử:
⭐TH1: Nếu chọn Y là C2H4(OH)2 (MY = 62), thì: MX = 151 - 62 = 89
X: CH3CH(NH2)COOH → Z: CH3CH(NH2)COOCH2CH2OH (1)
⭐TH2: Nếu chọn Y là C3H6(OH)2 (MY = 76), thì: MX = 151 - 76 = 75 (NH2-CH2-COOH))
Y có 2 đồng phân:
+) OH-[CH2]3-OH: có 1 cách viết ester Z: CH2(NH2)COO[CH2]3OH (2)
+) CH3CH(OH)CH2OH: có 2 cách viết ester Z:
CH2(NH2)COOCH(CH3)CH2OH (3)
CH2(NH2)COOCH2CH(OH)CH3 (4)
⭐TH3: Nếu chọn Y là C4H8(OH)2 (MY = 90), thì: MX = 151 - 90 = 60 (Không TM)
⇒ Số công thức cấu tạo phù hợp với Z là 4.
⇒ Điền đáp án: 4
→ MZ = MX + MY - 18 = 133 → MX + MY = 151
* Giả sử:
⭐TH1: Nếu chọn Y là C2H4(OH)2 (MY = 62), thì: MX = 151 - 62 = 89
X: CH3CH(NH2)COOH → Z: CH3CH(NH2)COOCH2CH2OH (1)
⭐TH2: Nếu chọn Y là C3H6(OH)2 (MY = 76), thì: MX = 151 - 76 = 75 (NH2-CH2-COOH))
Y có 2 đồng phân:
+) OH-[CH2]3-OH: có 1 cách viết ester Z: CH2(NH2)COO[CH2]3OH (2)
+) CH3CH(OH)CH2OH: có 2 cách viết ester Z:
CH2(NH2)COOCH(CH3)CH2OH (3)
CH2(NH2)COOCH2CH(OH)CH3 (4)
⭐TH3: Nếu chọn Y là C4H8(OH)2 (MY = 90), thì: MX = 151 - 90 = 60 (Không TM)
⇒ Số công thức cấu tạo phù hợp với Z là 4.
⇒ Điền đáp án: 4
Câu 40 [308749]: Cho sơ đồ chuyển hóa sau:

Biết X là glutamic acid, Y, Z, T là các chất hữu cơ chứa nitrogen. Số nguyên tử hydrogen trong phân tử Z là bao nhiêu?

Biết X là glutamic acid, Y, Z, T là các chất hữu cơ chứa nitrogen. Số nguyên tử hydrogen trong phân tử Z là bao nhiêu?
Các phản ứng xảy ra:
H2NC3H5(COOH)2 (X) + CH3OH + HCl
ClH3NC3H5(COOCH3)(COOH) (Y) + H2O
ClH3NC3H5(COOCH3)(COOH) (Y) + C2H5OH + HCl
ClH3NC3H5(COOCH3)(COOC2H5) (Z) + H2O
→ Số nguyên tử hydrogen trong phân tử Z là 16.
⇒ Điền đáp án: 16
H2NC3H5(COOH)2 (X) + CH3OH + HCl
ClH3NC3H5(COOCH3)(COOH) (Y) + H2OClH3NC3H5(COOCH3)(COOH) (Y) + C2H5OH + HCl
ClH3NC3H5(COOCH3)(COOC2H5) (Z) + H2O→ Số nguyên tử hydrogen trong phân tử Z là 16.
⇒ Điền đáp án: 16
Câu 41 [706228]: Cho các mẫu chất và dán nhãn tương ứng như sau: Glycine (1), glutamic acid (2), aniline (3), methylamine (4). Hiện tượng khi làm thí nghiệm với các chất sau ở dạng dung dịch X, Y, Z, T được ghi lại như sau:

Gán nhãn dán các chất tương ứng với hiện tượng của dung dịch X, Y, Z, T theo trình tự dãy bốn số (ví dụ: 1234, 4213, ...).

Gán nhãn dán các chất tương ứng với hiện tượng của dung dịch X, Y, Z, T theo trình tự dãy bốn số (ví dụ: 1234, 4213, ...).
🌟Mẫu thử X: Làm quỳ tím hóa xạnh, và không tạo kết tủa với bromine
→ Chất tương ứng là methylamine (4)
🌟Mẫu thử Y: Không làm quỳ tím đổi màu, nhưng tạo kết tủa trắng khí tác dụng với Bromine
→ Chất tương ứng là aniline (3)

🌟Mẫu thử Z: không làm đổi màu quì tím, không phản ứng với dung dịch Bromine,
→ Chất tương ứng là glycine (1)
🌟Mẫu thử T: làm quỳ tím hóa đỏ, không phản ứng với dung dịch Bromine,
→ Chất tương ứng là glutamic acid (2)
⟹ Điền đáp án: 4312
→ Chất tương ứng là methylamine (4)
🌟Mẫu thử Y: Không làm quỳ tím đổi màu, nhưng tạo kết tủa trắng khí tác dụng với Bromine
→ Chất tương ứng là aniline (3)

🌟Mẫu thử Z: không làm đổi màu quì tím, không phản ứng với dung dịch Bromine,
→ Chất tương ứng là glycine (1)
🌟Mẫu thử T: làm quỳ tím hóa đỏ, không phản ứng với dung dịch Bromine,
→ Chất tương ứng là glutamic acid (2)
⟹ Điền đáp án: 4312
Câu 42 [308750]: Cho 13,35 gam H2NCH2COOCH3 phản ứng vừa đủ với dung dịch NaOH thu được m gam muối. Giá trị của m là
(làm tròn đến một chữ số thập phân)
(làm tròn đến một chữ số thập phân)

⇒ Điền đáp án: 14,6
Câu 43 [308751]: Hòa tan 30 gam glycine trong 60 gam ethanol, rồi thêm từ từ 10 ml dung dịch H2SO4 đặc, sau đó đun nóng một thời gian. Để nguội, cho hỗn hợp vào nước lạnh, rồi trung hòa bằng NH3 dư thu được một sản phẩm hữu cơ có khối lượng 33 gam. Hiệu suất của phản ứng là (làm tròn đến một chữ số thập phân)
Số mol của glycine là: nglycine = 30 : 75 = 0,4 (mol)
Số mol của ethanol là: nethanol = 60 : 46 = 1,31 (mol)
Số mol của ester là: nester = 33 : 103 = 0,32 (mol)
Phương trình hóa học:

→ Ethanol dư, tính theo số mol của glycine.

⟹ Điền đáp án : 80
Số mol của ethanol là: nethanol = 60 : 46 = 1,31 (mol)
Số mol của ester là: nester = 33 : 103 = 0,32 (mol)
Phương trình hóa học:

→ Ethanol dư, tính theo số mol của glycine.

⟹ Điền đáp án : 80
Câu 44 [308752]: Ester X được điều chế từ α-amino acid và ethyl alcohol. Tỉ khối hơi của X so với hydrogen là 51,5. Đun nóng 10,3 gam X trong 200ml dung dịch KOH 1,4M, sau đó cô cạn dung dịch thu được chất rắn Y. Cho Y vào dung dịch HCl dư, sau đó cô cạn thu được chất rắn G (quá trình cô cạn không xảy ra phản ứng). Vậy khối lượng chất rắn G là
(làm tròn đến số nguyên)
(làm tròn đến số nguyên)
MX = 103 ⇒ X là NH2CH2COOC2H5
nX = 0,1 (mol); nKOH = 0,28 (mol)
Ta coi toàn bộ quá trình gồm hai phản ứng: X bị thủy phân trong HCl và KOH tác dụng với HCl.
⇒ Chất rắn G gồm: ClH3NCH2COOH (0,1 mol) và KCl (0,28 mol)
⇒ mG = 0,1 . 111,5 + 0,28 . 74,5 = 32,01 (gam)
⇒ Điền đáp án: 32
nX = 0,1 (mol); nKOH = 0,28 (mol)
Ta coi toàn bộ quá trình gồm hai phản ứng: X bị thủy phân trong HCl và KOH tác dụng với HCl.
⇒ Chất rắn G gồm: ClH3NCH2COOH (0,1 mol) và KCl (0,28 mol)
⇒ mG = 0,1 . 111,5 + 0,28 . 74,5 = 32,01 (gam)
⇒ Điền đáp án: 32
Câu 45 [308753]: Hợp chất hữu cơ X (M = 161) được tạo thành từ α-amino acid Y (chứa một nhóm amino) và alcohol hai chức Z. Cho 6,44 gam X tác dụng vừa đủ với 40 gam dung dịch NaOH 4%, thu được dung dịch Y. Cô cạn Y, ngưng tụ toàn bộ phần hơi bay ra thì tạo thành 40,88 gam chất lỏng. Số công thức cấu tạo thỏa mãn X là
M = 161 ⇒ n = 6,44 : 161 = 0,04 (mol); lại có nNaOH = 0,04 (mol)
⇒ X chỉ chứa một chức ester ⇒ Y là α-amino acid chứa 1 nhóm COOH và 1 nhóm NH2.
* Phản ứng: 6,44 gam X + 40 gam NaOH → muối + 40,88 gam (H2O và alcohol).
Áp dụng ĐLBTKL ta có m = 5,56 gam. Muối dạng H2NRCOONa ⇒ R = 56 là gốc C4H8.
Theo đó, có 3 cấu tạo Y thỏa mãn là CH3CH2CH2CH(NH2)COOH; CH3CH(CH3)CH(NH2)COOH và CH3CH2C(CH3)(NH2)COOH.
X + H2O → Y + Z ⇒ M = 161 + 18 – 117 = 62 (ethylene glycol - HOCH2CH2OH).
Tổ hợp Y (có 3 cấu tạo) và Z (chỉ duy nhất một cấu tạo) ⇒ X có 3 đồng phân.
⇒ Điền đáp án: 3
⇒ X chỉ chứa một chức ester ⇒ Y là α-amino acid chứa 1 nhóm COOH và 1 nhóm NH2.
* Phản ứng: 6,44 gam X + 40 gam NaOH → muối + 40,88 gam (H2O và alcohol).
Áp dụng ĐLBTKL ta có m = 5,56 gam. Muối dạng H2NRCOONa ⇒ R = 56 là gốc C4H8.
Theo đó, có 3 cấu tạo Y thỏa mãn là CH3CH2CH2CH(NH2)COOH; CH3CH(CH3)CH(NH2)COOH và CH3CH2C(CH3)(NH2)COOH.
X + H2O → Y + Z ⇒ M = 161 + 18 – 117 = 62 (ethylene glycol - HOCH2CH2OH).
Tổ hợp Y (có 3 cấu tạo) và Z (chỉ duy nhất một cấu tạo) ⇒ X có 3 đồng phân.
⇒ Điền đáp án: 3
Dạng 4: BÀI TẬP ĐỌC HIỂU – đọc thông tin và trả lời các câu hỏi sau đó
SỰ ĐIỆN DI CỦA AMINO ACID
Cho hỗn hợp các amino acid sau:

Hỗn hợp các amino acid được đặt ở giữa tấm gel. Tấm được ngâm với dung dịch nước có độ pH = 6,0. Ở pH này aspartic acid và lysine tồn tại ở dạng tổng điện tích ion khác 0, alanine tồn tại ở dạng trung hoà điện tích. Các amino acid này được kí hiệu bởi các quả cầu với màu sắc khác nhau: xanh lục (
), xanh dương (
) và cam nhạt (
).
Tác dụng của dòng điện lên tấm gel làm cho các ion bắt đầu di chuyển. Các quả cầu xanh dương (
) di chuyển về phía cực dương, các quả cầu màu cam nhạt (
) di chuyển về phía cực âm và các quả cầu xanh lục (
) không di chuyển.
Câu 46 [308754]: Tại pH = 6, tổng điện tích của phân tử aspartic acid là
A, –2.
B, –1.
C, 0.
D, +1.
Tại pH = 6:
Aspartic acid gồm 2 nhóm COO- và 1 nhóm NH3+ nên có tổng điện tích là -1 nên sẽ di chuyển về phía cực dương trong điện trường.
⇒ Chọn đáp án B Đáp án: B
Aspartic acid gồm 2 nhóm COO- và 1 nhóm NH3+ nên có tổng điện tích là -1 nên sẽ di chuyển về phía cực dương trong điện trường.
⇒ Chọn đáp án B Đáp án: B
Câu 47 [308755]: Các quả cầu màu xanh dương
là
là A, lysine.
B, aspartic acid.
C, alanine.
D, alanine và lysine.
Tại pH = 6:
Aspartic acid gồm 2 nhóm COO- và 1 nhóm NH3+ nên có tổng điện tích là -1 nên sẽ di chuyển về phía cực dương trong điện trường.
→ Aspartic acid màu xanh dương.
⇒ Chọn đáp án B Đáp án: B
Aspartic acid gồm 2 nhóm COO- và 1 nhóm NH3+ nên có tổng điện tích là -1 nên sẽ di chuyển về phía cực dương trong điện trường.
→ Aspartic acid màu xanh dương.
⇒ Chọn đáp án B Đáp án: B
Câu 48 [308756]: Nếu đảo chiều dòng điện, bên trái là cực âm (–), bên phải là cực (+) thì
A, Các quả cầu màu xanh lục di chuyển sang trái.
B, Các quả cầu màu đỏ di chuyển sang phải.
C, Các quả cầu màu xanh dương di chuyển sang phải.
D, Các quả cầu màu đỏ không di chuyển.
⭐ Ban đầu, tại pH = 6
+) Aspartic acid có tổng điện tích là -1 nên sẽ di chuyển về phía cực dương trong điện trường → Aspartic acid màu xanh dương.
+) Alanine có tổng điện tích là 0 nên hầu như không di chuyển trong điện trường → Alanine màu xanh lục.
+) Lysine có tổng điện tích là +1 nên sẽ di chuyển về cực âm trong điện trường → Lysine màu cam nhạt.
⭐ Nếu đảo chiều dòng điện, bên trái là cực âm (–), bên phải là cực (+) thì:
+) Alanine không thay đổi vị trí do gần như không di chuyển trong điện trường.
+) Aspartic acid có tổng điện tích là -1 nên sẽ di chuyển về phía cực dương (bên phải) trong điện trường.
+) Lysine có tổng điện tích là +1 nên sẽ di chuyển về cực âm (bên trái) trong điện trường.
⇒ Chọn đáp án C Đáp án: C
+) Aspartic acid có tổng điện tích là -1 nên sẽ di chuyển về phía cực dương trong điện trường → Aspartic acid màu xanh dương.
+) Alanine có tổng điện tích là 0 nên hầu như không di chuyển trong điện trường → Alanine màu xanh lục.
+) Lysine có tổng điện tích là +1 nên sẽ di chuyển về cực âm trong điện trường → Lysine màu cam nhạt.
⭐ Nếu đảo chiều dòng điện, bên trái là cực âm (–), bên phải là cực (+) thì:
+) Alanine không thay đổi vị trí do gần như không di chuyển trong điện trường.
+) Aspartic acid có tổng điện tích là -1 nên sẽ di chuyển về phía cực dương (bên phải) trong điện trường.
+) Lysine có tổng điện tích là +1 nên sẽ di chuyển về cực âm (bên trái) trong điện trường.
⇒ Chọn đáp án C Đáp án: C
L-LEUCINE HYDROCHLORIDE
L-leucine hydrochloride, [(CH3)2CHCH2CH(NH3)COOH]+Cl‒, được sử dụng làm chất bổ sung amino acid thiết yếu leucine trong chế độ ăn uống. Nó là một diacid và có quá trình phân li như sau:

Sau khi bị khử proton một lần, leucine hydrochloride tạo thành một dạng có tổng điện tích bằng 0.
Người ta thêm từ từ 50.0 mL dung dịch leucine hydrochloride 0,100 M vào 50,0 mL dung dịch NaOH 0,200 M. Chất chỉ thị phenolphthalein (đổi màu từ pH = 8,3 đến 10,0) được đã được sử dụng trong quá trình chuẩn độ leucine hydrochloride.
Câu 49 [382622]: Sau khi khử proton một lần thì leucine hydrochloride sẽ tạo thành dạng nào?
A, Dạng A.
B, Dạng B.
C, Dạng C.
D, Dạng B và C.
Sau khi khử proton một lần thì leucine hydrochloride → Leucine hydrochloride phản ứng với tỉ lệ 1:1

Chọn đáp án B
Đáp án: B

Chọn đáp án B
Đáp án: B
Câu 50 [382623]: Sau khi phản ứng chuẩn độ kết thúc, dung dịch có môi trường
A, acid.
B, base.
C, trung tính.
D, không xác định.
Người ta thêm từ từ 50.0 mL dung dịch leucine hydrochloride 0.100 M vào 50.0 ml dung dịch NaOH 0.200 M. Chất chỉ thị Phenolphtalein (đổi màu từ pH = 8.3 đến 10.0)
Tại điểm tương đương dung dịch chuyển sang màu hồng nhạt → tại điểm tương đương dung dịch có môi trường base.

Chọn đáp án B Đáp án: B
Tại điểm tương đương dung dịch chuyển sang màu hồng nhạt → tại điểm tương đương dung dịch có môi trường base.

Chọn đáp án B Đáp án: B
Câu 51 [382624]: Sự thay đổi màu sắc của chất chỉ thị phenolphthalein trong quá trình chuẩn độ như thế nào?
A, không màu chuyển sang màu hồng.
B, màu hồng chuyển sang không màu.
C, không màu chuyển sang màu xanh.
D, màu xanh chuyển sang không màu.
Người ta thêm từ từ 50.0 mL dung dịch leucine hydrochloride 0.100 M vào 50.0 ml dung dịch NaOH 0.200 M. Chất chỉ thị Phenolphtalein (đổi màu từ pH = 8.3 đến 10.0)
Tại điểm tương đương dung dịch chuyển sang màu hồng nhạt.

Chọn đáp án A Đáp án: A
Tại điểm tương đương dung dịch chuyển sang màu hồng nhạt.

Chọn đáp án A Đáp án: A
PHƯƠNG PHÁP NINHYDRIN
Khi ngón tay chạm vào một bề mặt, nó sẽ để lại một vết dầu vô hình gọi là dấu vân tay tiềm ẩn. Các nhà điều tra pháp y phải phát triển dấu vân tay tiềm ẩn thành dấu vân tay có thể nhìn thấy được, có thể chụp ảnh, sau đó quét và lưu trữ cho các mục đích đối chiếu.

Phương pháp ninhydrin là phương pháp phổ biến nhất để phát triển dấu vân tay tiềm ẩn trên các bề mặt xốp, thấm nước như giấy và gỗ. Phương pháp này dựa trên phản ứng phức tạp giữa ninhydrin và amino acid với sự có mặt của base để tạo ra một hợp chất chuyển sang màu tím khi đun nóng. Phản ứng chưa cân bằng được cho dưới đây:

Trong đó R là nhóm thế. Bởi vì các aminoacid trong mồ hôi không tác dụng hóa học với cellulose của giấy hoặc gỗ nên kỹ thuật này cho phép phát hiện các dấu vân tay có thể đã cũ vài năm tuổi.
Câu 52 [308760]: Hiện tượng xuất hiện khi ninhydrin phản ứng với amino acid là
A, Xuất hiện khí.
B, Xuất hiện chất màu tím.
C, Xuất hiện kết tủa.
D, Xuất hiện chất màu đỏ.
Ninhydrin là 1 chất oxi hóa nên có thể tạo phản ứng carboxyl oxi hóa của amino acid với nước, để cuối cùng cho ra CO2, NH3, một aldehyde ngắn hơn và Ninhydrin bị khử. Sau đó Ninhydrin bị khử lại tiếp tục tác dụng với NH3 vừa được phóng thích và kết hợp với 1 phân tửNinhydrin thứ 2 tạo thành sản phẩm thứ 2 có màu xanh tím. Đáp án: B
Câu 53 [382737]: Nguyên tử nitrogen trong hợp chất Ruhemann’s purple được phân tử nào cùng cấp?
A, Nihydrin.
B, Aminoacid.
C, Base.
D, Amine.
Phương pháp 3 - Phương pháp ninhydrin: Đây là một trong những phương pháp phổ biến nhất để phát triển dấu vân tay tiềm ẩn trên các bề mặt xốp, thấm nước như giấy và gỗ. Phương pháp này dựa trên phản ứng phức tạp giữa ninhydrin và aminoacid với sự có mặt của base để tạo ra một hợp chất chuyển sang màu tím khi đun nóng.
⇒ Chọn đáp án B Đáp án: B
⇒ Chọn đáp án B Đáp án: B
Câu 54 [308762]: Nhóm chức nào của amino acid tham gia phản ứng với ninhydrin?
A, Amino.
B, Carboxyl.
C, Amino và carboxyl.
D, Hydroxyl.
Từ phản ứng ta thấy nhóm amino của amino acid tham gia phản ứng với ninhydrin.

Chọn đáp án A Đáp án: A

Chọn đáp án A Đáp án: A
Dạng 5. Tự luận
Câu 55 [1010387]: Ở pH nhất định, các amino acid có thể tồn tại ở dạng ion lưỡng cực có tổng điện tích bằng không. Điểm pH này được gọi là điểm đẳng điện của amino acid. Vẽ cấu trúc của amino acid leucine

a) trong dung dịch acic có pH dưới điểm đẳng điện;
b) trong dung dịch base có pH cao hơn điểm đẳng điện.

a) trong dung dịch acic có pH dưới điểm đẳng điện;
b) trong dung dịch base có pH cao hơn điểm đẳng điện.
Giá trị pH mà khi đó amino acid có nồng độ ion lưỡng cực là cực đại được gọi là điểm đăng điện (kí hiệu là pI). Khi pH < pI thì amino acid đó tồn tại chủ yếu ở dạng cation, còn khi pH > pI thì amino acid đó tồn tại chủ yếu ở dạng anion.
a) Leucine trong dung dịch acic có pH dưới điểm đẳng điện
b) Leucine trong dung dịch base có pH cao hơn điểm đẳng điện.
a) Leucine trong dung dịch acic có pH dưới điểm đẳng điện
b) Leucine trong dung dịch base có pH cao hơn điểm đẳng điện.
Câu 56 [1010388]: [CD - SGK] Hợp chất A là một amino acid. Phổ MS của ester B (được điều chế từ A và methanol) xuất hiện peak của ion phân tử [M]+ có giá trị m/z = 89. Biện luận để xác định công thức phân tử của A. Viết công thức cấu tạo của A và viết các phương trình hoá học của phản ứng chuyển hoá A thành B.
Hợp chất A là một amino acid. Phổ MS của ester B (được điều chế từ A và methanol) xuất hiện peak của ion phân tử [M]+ có giá trị m/z = 89.
→ công thức tổng quát của A có dạng H2N-R-COOH
→ công thức tổng quát của B có dạng H2N-R-COOCH3
Từ giá trị trên phổ MS, phân tử khối của ester B là 89 amu
16 + MR + 44 + 15 = 89 → MR = 14 → R là -CH2-
Công thức cấu tạo của B là H2NCH2COOH.
→ công thức tổng quát của A có dạng H2N-R-COOH
→ công thức tổng quát của B có dạng H2N-R-COOCH3
Từ giá trị trên phổ MS, phân tử khối của ester B là 89 amu
16 + MR + 44 + 15 = 89 → MR = 14 → R là -CH2-
Công thức cấu tạo của B là H2NCH2COOH.
Câu 57 [1010389]: Hợp chất H có công thức cấu tạo là CH2=CHCH(NH2)COOH. Hợp chất H có thể được điều chế từ phản ứng của J với một lượng acid dư trong nước nóng theo sơ đồ sau:

a) Nêu tên tất cả các nhóm chức trong hợp chất H.
b) Viết phương trình phản ứng trong sơ đồ trên.
c) Nêu tên loại phản ứng trong sơ đồ trên.

a) Nêu tên tất cả các nhóm chức trong hợp chất H.
b) Viết phương trình phản ứng trong sơ đồ trên.
c) Nêu tên loại phản ứng trong sơ đồ trên.
a) Tên các nhóm chức có trong hợp chât H là

b,

c) Phản ứng trên thuộc loại phản ứng thủy phân trong môi trường acid.

b,

c) Phản ứng trên thuộc loại phản ứng thủy phân trong môi trường acid.
Câu 58 [1010390]: Hoàn thành sơ đồ phản ứng sau bắt đầu bằng propene:

a) Trong mỗi ô trống, hãy viết công thức cấu tạo của hợp chất hữu cơ sẽ được tạo thành.
b) Một sản phẩm phụ, H, cũng được tạo ra bởi phản ứng của HBr với propen.
(i) Xác định H.
(ii) Giải thích tại sao C là sản phẩm tạo thành nhiều hơn H.
c) F là hợp chất đơn chức bậc 1. Nếu tăng tỉ lệ mol của NH3 thì sẽ tạo thành K bậc 2 và L bậc 3. Xác định K và L.

a) Trong mỗi ô trống, hãy viết công thức cấu tạo của hợp chất hữu cơ sẽ được tạo thành.
b) Một sản phẩm phụ, H, cũng được tạo ra bởi phản ứng của HBr với propen.
(i) Xác định H.
(ii) Giải thích tại sao C là sản phẩm tạo thành nhiều hơn H.
c) F là hợp chất đơn chức bậc 1. Nếu tăng tỉ lệ mol của NH3 thì sẽ tạo thành K bậc 2 và L bậc 3. Xác định K và L.

b) Sản phẩm phụ H và giải thích:
(i) Xác định H: Sản phẩm phụ H là CH3CH2CH2Br (1-bromopropane).
(ii) Giải thích C nhiều hơn H:
- Phản ứng cộng HBr vào propen tuân theo quy tắc Markovnikov: Nguyên tử H sẽ ưu tiên cộng vào carbon có nhiều H hơn và Br sẽ cộng vào carbon có ít H hơn.
- Do đó, sản phẩm chính (C) là 2-bromopropane (CH3CH(Br)CH3), trong đó Br gắn vào carbon bậc 2.
- Sản phẩm phụ (H) là 1-bromopropane (CH3CH2CH2Br), trong đó Br gắn vào carbon bậc 1, được tạo ra với lượng nhỏ hơn.
c) F là hợp chất đơn chức bậc 1. Nếu tăng tỉ lệ mol của NH3 thì sẽ tạo thành K bậc 2 và L bậc 3. Công thức cấu tạo của K là L là
Câu 59 [1010329]: Dạng tồn tại và quá trình phân li ion H+ của amino acid alanine được biểudiễn như sau:

Tại các giá trị pH sẽ tồn tại các dạng tương ứng của amino acid như sơ đồ dưới đây:

a) Xác định các dạng tồn tại chủ yếu của alanine ở pH bằng 0; 6,01 và 9,69.
b) pI là giá trị pH mà tại đó amino acid tồn tại chủ yếu ở dạng trung hòa về điện. Xác định giá trị pI của alanine.
c) Viết quá trình nhường proton H+ của dạng tồn tại chủ yếu khi pH thay đổi từ 0 đến 9,69.

Tại các giá trị pH sẽ tồn tại các dạng tương ứng của amino acid như sơ đồ dưới đây:

a) Xác định các dạng tồn tại chủ yếu của alanine ở pH bằng 0; 6,01 và 9,69.
b) pI là giá trị pH mà tại đó amino acid tồn tại chủ yếu ở dạng trung hòa về điện. Xác định giá trị pI của alanine.
c) Viết quá trình nhường proton H+ của dạng tồn tại chủ yếu khi pH thay đổi từ 0 đến 9,69.
a) Từ đồ thị, dạng tồn tại chủa yếu của alanine ở các pH bằng 0; 6,01 và 9,69 lần lượt là

b) Từ đồ thị, tại giá trị pH = 6,01 thì alanine tồn tại dạng ion lưỡng cực trung hòa về điện. Giá trị pI của alanine là pH = 6,01.

b) Từ đồ thị, tại giá trị pH = 6,01 thì alanine tồn tại dạng ion lưỡng cực trung hòa về điện. Giá trị pI của alanine là pH = 6,01.