Dạng 1: TRẮC NGHIỆM KHÁCH QUAN: mỗi câu hỏi chỉ có một đáp án đúng.
Câu 1 [308763]: Đốt cháy hoàn toàn chất hữu cơ nào sau đây thu được sản phẩm có chứa N2?
A, Cellulose.
B, Tinh bột.
C, Protein.
D, Chất béo.
- Cellulose và tinh bột (C6H10O5)n và chất béo (RCOO)3C3H5 với R là các acid béo đều chỉ được tạo thành từ C, H và O nên khi đốt cháy sản phẩm sẽ không chứa N2.
- Protein là đại phân tử polypeptide nên có liên kết CO-NH => Đốt cháy tạo N2.
⟹ Chọn đáp án C Đáp án: C
- Protein là đại phân tử polypeptide nên có liên kết CO-NH => Đốt cháy tạo N2.
⟹ Chọn đáp án C Đáp án: C
Câu 2 [308764]: Cấu tạo của chất nào sau đây không chứa liên kết peptide trong phân tử?
A, Tơ tằm.
B, Lipid.
C, Mạng nhện.
D, Tóc.
Lipid là những hợp chất hữu cơ có trong tế bào sống, bao gồm chất béo, sáp, steroid, phospholipid,... hầu hết chúng đều là các ester phức tạp → Lipid không chứa liên kết peptide trong phân tử.
⟹ Chọn đáp án B Đáp án: B
⟹ Chọn đáp án B Đáp án: B
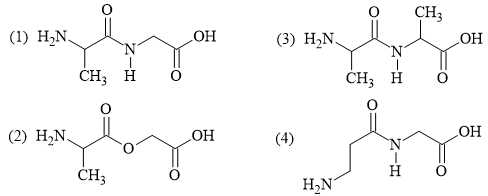
Câu 3 [1009907]: Trong cấu trúc phân tử của chất cho ở hình bên, liên kết peptide là
A, liên kết (1).
B, liên kết (3).
C, liên kết (2).
D, liên kết (4).
Liên kết peptide là liên kết hóa học cộng hóa trị hình thành giữa nhóm –COOH (carboxyl) của một amino acid và nhóm –NH2 (amino) của amino acid kế tiếp. Quá trình này xảy ra qua phản ứng ngưng tụ, giải phóng một phân tử nước (H2O), và tạo thành liên kết –CO–NH– giữa hai amino acid.
⟹ Chọn đáp án C Đáp án: C
⟹ Chọn đáp án C Đáp án: C
Câu 4 [308765]: Số liên kết peptide có trong một phân tử Ala-Gly-Val-Gly-Ala là
A, 2.
B, 4.
C, 5.
D, 3
Số liên kết peptide trong phân tử = số α-amino acid – 1
Vậy số liên kết peptide có trong một phân tử Ala-Gly-Val-Gly-Ala là: 5 – 1 = 4.
⇒ Chọn đáp án B Đáp án: B
Vậy số liên kết peptide có trong một phân tử Ala-Gly-Val-Gly-Ala là: 5 – 1 = 4.
⇒ Chọn đáp án B Đáp án: B
Câu 5 [1009908]: Cho các chất có công thức cấu tạo sau:

Trong các hợp chất trên, những hợp chất nào thuộc loại dipeptide?

Trong các hợp chất trên, những hợp chất nào thuộc loại dipeptide?
A, Hợp chất (1) và (2).
B, Hợp chất (2) và (3).
C, Hợp chất (1) và (3).
D, Hợp chất (2) và (4).
Dipeptide là hợp chất được tạo thành từ 2 gốc α-amino acid liên kết với nhau qua liên kết peptide –CO–NH–.
+ Cấu trúc cần có đúng 2 gốc amino acid nối với nhau, và chỉ có 1 liên kết peptide.

⟹ Chọn đáp án C Đáp án: C
+ Cấu trúc cần có đúng 2 gốc amino acid nối với nhau, và chỉ có 1 liên kết peptide.

⟹ Chọn đáp án C Đáp án: C
Câu 6 [308767]: Hợp chất nào sau đây không thuộc loại dipeptide?
A, H2NCH(CH3)CONHCH2COOH.
B, H2NCH2CH2CONHCH2CH2COOH.
C, H2NCH2CONHCH2COOH.
D, H2NCH2CONHCH(CH3)COOH.
Dipeptide là một loại phân tử peptide gồm hai đơn vị α-amino acid kết nối bởi liên kết peptide. Cụ thể, nó bao gồm một nhóm amino (-NH2) của một amino acid và một nhóm (- COOH) của một amino acid khác.

Hợp chất H2N–CH2–CH2–CONH–CH2–CH2–COOH không thuộc loại dipeptide vì:
mắt xích H2N–CH2–CH2–CO– không tạo bởi α-amino acid.
⟹ Chọn đáp án B Đáp án: B

Hợp chất H2N–CH2–CH2–CONH–CH2–CH2–COOH không thuộc loại dipeptide vì:
mắt xích H2N–CH2–CH2–CO– không tạo bởi α-amino acid.
⟹ Chọn đáp án B Đáp án: B
Câu 7 [308766]: Trong các chất dưới đây, chất nào là dipeptide?
A, H2NCH2CONHCH(CH3)COOH.
B, H2NCH2CONHCH2CH2COOH.
C, H2NCH(CH3)CONHCH2CONHCH(CH3)COOH.
D, H2NCH2CONHCH(CH3)CONHCH2COOH.
A. H2NCH2CO ⋮ NHCH(CH3)COOH.
→ Dipeptide: Gly-Ala
B. H2NCH2CO ⋮ NHCH2CH2COOH.
→ Gốc β-amino acid
C. H2NCH(CH3)CO ⋮ NHCH2CO ⋮ NHCH(CH3)COOH.
→ Tripeptide Ala-Gly-Ala
D. H2NCH2CO ⋮ NHCH(CH3)CO ⋮ NHCH2COOH.
→ Tripeptide Gly-Ala-Aly
⇒ A. H2NCH2CONHCH(CH3)COOH thỏa mãn là dipeptide. Đáp án: A
→ Dipeptide: Gly-Ala
B. H2NCH2CO ⋮ NHCH2CH2COOH.
→ Gốc β-amino acid
C. H2NCH(CH3)CO ⋮ NHCH2CO ⋮ NHCH(CH3)COOH.
→ Tripeptide Ala-Gly-Ala
D. H2NCH2CO ⋮ NHCH(CH3)CO ⋮ NHCH2COOH.
→ Tripeptide Gly-Ala-Aly
⇒ A. H2NCH2CONHCH(CH3)COOH thỏa mãn là dipeptide. Đáp án: A
Câu 8 [308768]: Hợp chất nào sau đây thuộc loại tripeptide?
A, H2NCH2CONHCH(CH3)COOH.
B, H2NCH2CONHCH2CONHCH2COOH.
C, H2NCH2CH2CONHCH2COOH.
D, H2NCH2CH2CONHCH2CH2COOH.
Tripeptide là peptide được tạo bởi 3 mắt xích α-amino acid.
❌A. Không phải là tripeptide vì chỉ được tạo bởi từ 2 mắt xích α-amino acid.
✔️B. Là tripeptide vì được tạo bởi 3 mắt xích Glycine (H2N-CH2-COOH)
❌C. Không phải là peptide vì mắt xích đầu N không phải là α-amino acid
❌D. Không phải là peptide vì không được tạo từ α-amino acid.
⟹ Chọn đáp án B Đáp án: B
❌A. Không phải là tripeptide vì chỉ được tạo bởi từ 2 mắt xích α-amino acid.
✔️B. Là tripeptide vì được tạo bởi 3 mắt xích Glycine (H2N-CH2-COOH)
❌C. Không phải là peptide vì mắt xích đầu N không phải là α-amino acid
❌D. Không phải là peptide vì không được tạo từ α-amino acid.
⟹ Chọn đáp án B Đáp án: B
Câu 9 [1009909]: Cho peptide Z có công thức cấu tạo sau:

Trong peptide Z, amino acid đầu N là

Trong peptide Z, amino acid đầu N là
A, Glu.
B, Ala.
C, Gly.
D, Val.

Peptide trên amino acid đầu N là Valine.
⟹ Chọn đáp án D Đáp án: D
Câu 10 [308769]: Trong phân tử tetrapeptide Gly-Glu-Ala-Val, amino acid đầu N là
A, Valine.
B, Alanine.
C, Glutamic acid.
D, Glycine.
Trong phân tử peptide, ta quy ước :
- amino acid đầu N (nằm bên trái, chứa nhóm -NH2)
- amino acid đầu C (nằm bên phải, chứa nhóm -COOH).
Vậy trong peptide Gly-Glu-Ala-Val, amino acid đầu N là Glycine.
⟹ Chọn đáp án D Đáp án: D
- amino acid đầu N (nằm bên trái, chứa nhóm -NH2)
- amino acid đầu C (nằm bên phải, chứa nhóm -COOH).
Vậy trong peptide Gly-Glu-Ala-Val, amino acid đầu N là Glycine.
⟹ Chọn đáp án D Đáp án: D
Câu 11 [308770]: Trong phân tử tetrapeptide Gly-Val-Glu-Ala, amino acid đầu C là
A, Gly.
B, Val.
C, Glu.
D, Ala.
Trong phân tử peptide, ta quy ước:
- amino acid đầu N (nằm bên trái, chứa nhóm -NH2)
- amino acid đầu C (nằm bên phải, chứa nhóm -COOH).
Vậy trong peptide Gly-Val-Glu-Ala, amino acid đầu C là Ala.
⟹ Chọn đáp án D Đáp án: D
- amino acid đầu N (nằm bên trái, chứa nhóm -NH2)
- amino acid đầu C (nằm bên phải, chứa nhóm -COOH).
Vậy trong peptide Gly-Val-Glu-Ala, amino acid đầu C là Ala.
⟹ Chọn đáp án D Đáp án: D
Câu 12 [308771]: Phân tử khối của tetrapeptide mạch hở Gly-Ala-Val-Glu là
A, 428.
B, 374.
C, 410.
D, 392.
Phân tử khối của tetrapeptide mạch hở Gly-Ala-Val-Glu là: (75 + 89 + 117 + 147) - 18 x 3 = 374 Đáp án: B
Câu 13 [308773]: Phân tử khối của pentapeptide mạch hở Ala-Ala-Val-Val-Gly là
A, 451.
B, 487.
C, 415.
D, 397.
Phân tử khối của pentapeptide mạch hở Ala-Ala-Val-Val-Gly là:
89 × 2 + 117 × 2 + 75 – 4 × 18 = 415 Đáp án: C
Câu 14 [308774]: Peptide X chỉ do các gốc alanyl tạo nên có khối lượng phân tử là 231. X là
A, dipeptide.
B, tripeptide.
C, tetrapeptide.
D, pentapeptide.
Peptide X do n gốc alanyl tạo thành
MX = n x 89 - (n - 1) x 18 = 231 → n = 3
Vậy X là tripeptide. Đáp án: B
MX = n x 89 - (n - 1) x 18 = 231 → n = 3
Vậy X là tripeptide. Đáp án: B
Câu 15 [308775]: Cho một peptide X được tạo nên bởi n gốc alanine có khối lượng phân tử là 302 g/mol. Peptide X thuộc loại
A, pentapeptide.
B, dipeptide.
C, tetrapeptide.
D, tripeptide.
Câu 16 [308776]: Peptide X được tạo từ các gốc glycyl và alanyl có khối lượng phân tử 345. X là
A, Tripeptide.
B, Tetrapeptide.
C, Pentapeptide.
D, Hexapeptide.
Peptide X + (n + m - 1) H2O → nGly + mAla
M(peptit) = M(Gly) + M(Ala) - M(H2O) = 75n + 89m - 18 (n + m -1)
⇒ 57n + 71m = 327.
Kẻ bảng với các cặp m, n. (trong đó m < 5)
Với m = 4 → n=
( loại)
Với m = 3 → n = 2.
Với m = 2 → n =
Với m = 1 → n =
Nên X là pentapeptide. Đáp án: C
M(peptit) = M(Gly) + M(Ala) - M(H2O) = 75n + 89m - 18 (n + m -1)
⇒ 57n + 71m = 327.
Kẻ bảng với các cặp m, n. (trong đó m < 5)
Với m = 4 → n=
( loại)Với m = 3 → n = 2.
Với m = 2 → n =

Với m = 1 → n =

Nên X là pentapeptide. Đáp án: C
Câu 17 [308777]: Peptide X có công thức cấu tạo như sau:

Tên gọi của peptide X là

Tên gọi của peptide X là
A, Ala–Gly–Ser.
B, Ala–Gly–Ala.
C, Ser–Gly–Gly.
D, Ala–Glu–Ser.
Peptide X được tạo bởi 2 liên kết peptide và 3 amino acid:

Từ phân cắt thấy 3 amino acid tạo thành peptide là Ala (CH3CH(NH2)COOH) - Gly (H2NCH2COOH) - Ala (CH3CH(NH2)COOH).
⇒ Tên gọi của pepetide X là Ala–Gly–Ala.
⇒ Chọn đáp án B Đáp án: B

Từ phân cắt thấy 3 amino acid tạo thành peptide là Ala (CH3CH(NH2)COOH) - Gly (H2NCH2COOH) - Ala (CH3CH(NH2)COOH).
⇒ Tên gọi của pepetide X là Ala–Gly–Ala.
⇒ Chọn đáp án B Đáp án: B
Câu 18 [1009910]: Cho peptide X có công thức cấu tạo sau:

Tên gọi của peptide X là

Tên gọi của peptide X là
A, Gly-Gly.
B, Ala-Ala.
C, Ala-Gly.
D, Gly-Ala.

Peptide trên có tên gọi là Ala – Gly.
⟹ Chọn đáp án C Đáp án: C
Câu 19 [1009911]: Cho peptide Y có công thức cấu tạo sau:

Tên gọi của peptide Y là

Tên gọi của peptide Y là
A, Val-Gly-Ala.
B, Ala-Gly-Ala.
C, Glu-Ala-Gly.
D, Val-Gly-Val.

Peptide Y được tạo nên bởi 3 amino acdi, có tên là Val - Gly - Ala.
⟹ Chọn đáp án A Đáp án: A
Câu 20 [1009912]: Một tripeptide X có tên gọi là Gly-Ala-Gly. Cấu tạo của tripeptide X là
A, 

B, 

C, 

D, 


⟹ Chọn đáp án C Đáp án: C
Dạng 2: TRẮC NGHIỆM ĐÚNG SAI – mỗi ý a), b), c), d) chọn đúng hoặc sai.
Câu 21 [308804]: Cho peptide T có công thức cấu tạo như sau:


Phân tích các phát biểu:
✔️ a. Đúng. Peptide T được tạo thành từ 9 liên kết peptide.
❌ b. Sai. Peptide T được tạo thành từ 3 phân tử Leu.
✔️ c. Đúng. Peptide T thuộc loại decapeptide.
❌ d. Sai. Peptide T có amino acid đầu C là Tyr (Tyrosine).
✔️ a. Đúng. Peptide T được tạo thành từ 9 liên kết peptide.
❌ b. Sai. Peptide T được tạo thành từ 3 phân tử Leu.
✔️ c. Đúng. Peptide T thuộc loại decapeptide.
❌ d. Sai. Peptide T có amino acid đầu C là Tyr (Tyrosine).
Câu 22 [308805]: Cho hợp chất T có công thức cấu tạo như sau:
Phân tích các phát biểu:
❌ a. Sai. T có chứa một liên kết peptide.
❌ b. Sai. T có công thức phân tử là C11H21O4N3.
❌ c. Sai. T có phân tử khối là 259.
❌ d. Sai. T có amino acid đầu N là Ala.
❌ a. Sai. T có chứa một liên kết peptide.
❌ b. Sai. T có công thức phân tử là C11H21O4N3.
❌ c. Sai. T có phân tử khối là 259.
❌ d. Sai. T có amino acid đầu N là Ala.
Câu 23 [308806]: Cho peptide E có công thức cấu tạo như sau:
Phân tích các phát biểu:
✔️ a. Đúng. Peptide E có amino acid đầu C là alanine.
✔️ b. Đúng. Peptide E có công thức cấu tạo là Gly-Ala-Ala.
✔️ c. Đúng. Peptide E có phân tử khối là 217.
❌ d. Sai. Peptide E có chứa hai liên kết peptide.
✔️ a. Đúng. Peptide E có amino acid đầu C là alanine.
✔️ b. Đúng. Peptide E có công thức cấu tạo là Gly-Ala-Ala.
✔️ c. Đúng. Peptide E có phân tử khối là 217.
❌ d. Sai. Peptide E có chứa hai liên kết peptide.
Dạng 3: TRẮC NGHIỆM YÊU CẦU TRẢ LỜI NGẮN
Câu 24 [308810]: Pentapeptide X mạch hở, được tạo nên từ một loại amino acid Y (trong Y chỉ chứa 1 nhóm NH2 và 1 nhóm COOH). Biết phân tử khối của X là 513 u. Tính phân tử khối của Y.
Phương trình tạo thành pentapeptide X từ amino acid Y là:
5Y → X + 4H2O
Đặt npentapeptide X = 1 mol → nH2O = 4 mol; nY = 5 mol
Áp dụng định luật bảo toàn khối lượng ta có: mY = mX + mH2O
⇒ MY. 5 = 513. 1 + 18.4 → MY = 117
⇒ Điền đáp án: 117
5Y → X + 4H2O
Đặt npentapeptide X = 1 mol → nH2O = 4 mol; nY = 5 mol
Áp dụng định luật bảo toàn khối lượng ta có: mY = mX + mH2O
⇒ MY. 5 = 513. 1 + 18.4 → MY = 117
⇒ Điền đáp án: 117
Câu 25 [308811]: Từ hỗn hợp gồm alanine và valine có thể tạo ra tối đa bao nhiêu dipeptide?
Từ alanine và valine có thể tạo ra các dipeptide là: Ala-Ala, Ala-Val, Val-Ala và Val-Val
⇒ Điền đáp án: 4
⇒ Điền đáp án: 4
Câu 26 [308812]: Từ ba α-amino acid X, Y, Z (phân tử đều chỉ có 1 nhóm NH2 và 1 nhóm COOH) có thể tạo bao nhiêu dipeptide cấu tạo bởi hai gốc amino acid khác nhau?
Các dipeptide cấu tạo bởi 2 gốc amino acid khác nhau là: X-Y, Y-X, X-Z, Z-X, Y-Z, Z-Y.
⇒ Điền đáp án: 6
⇒ Điền đáp án: 6
Câu 27 [1009913]: Peptide (X) có công thức cấu tạo được biểu diễn sau đây:

Có bao nhiêu liên kết peptide trong peptide (X)?

Có bao nhiêu liên kết peptide trong peptide (X)?

Hợp chất trên có 6 liên kết peptide.
⟹ Điền đáp án: 6
Câu 28 [1009914]: Peptide (X) có công thức cấu tạo được biểu diễn sau đây:

Phần trăm khối lượng của nguyên tố nitrogen có trong peptide (X) là bao nhiêu phần trăm (kết quả làm tròn đến hàng đơn vị)?

Phần trăm khối lượng của nguyên tố nitrogen có trong peptide (X) là bao nhiêu phần trăm (kết quả làm tròn đến hàng đơn vị)?
Peptide (X) cấu tạo từ 2 gốc gly
Phần trăm khối lượng nguyên tố nitrogen có trong peptide X là
⟹ Điền đáp án: 21
Phần trăm khối lượng nguyên tố nitrogen có trong peptide X là
⟹ Điền đáp án: 21
Câu 29 [1009915]: Trong phân tử tetrapeptide Gly-Ala-Val-Lys có x nguyên tử nitrogen và y nguyên tử oxygen. Tính tổng giá trị của (x + y).
Cấu tạo của tetrapeptide Gly – Ala – Val – Lys là
Số nguyên tử nitrogen trong peptide là x = 5
Số nguyên tử oxygen trong peptide là y = 5
Tổng giá trị x + y = 5 + 5 = 10
⟹ Điền đáp án: 10
Số nguyên tử nitrogen trong peptide là x = 5
Số nguyên tử oxygen trong peptide là y = 5
Tổng giá trị x + y = 5 + 5 = 10
⟹ Điền đáp án: 10
Dạng 4: BÀI TẬP ĐỌC HIỂU – đọc thông tin và trả lời các câu hỏi sau đó
PEPTIDE
Valine (Val), histidine (His), leucine (Leu), threonine (Thr), proline (Pro) và glutamic acid (Glu) là 6 trong số 20 amino acid tạo nên protein của con người.

Peptide hình thành khi các α-amino acid liên kết với nhau bằng liên kết peptide, trong đó nhóm carboxyl trên amino acid này kết nối với nhóm amino của amino acid tiếp theo. Một phân tử nước bị loại bỏ khi hình thành một liên kết peptide. Một peptide X được hình thành từ các α-amino acid có công thức cấu tạo như sau:

Câu 30 [308820]: Amino acid đầu C trong phân tử peptide X là
A, Valine.
B, Leucine.
C, Proline.
D, Glutamic acid.
Amino acid đầu C trong phân tử peptide X là Glutamic acid. Đáp án: D
Câu 31 [308821]: Peptide X thuộc loại
A, Tripeptide.
B, Tetrapeptide.
C, entapeptide.
D, Hexapeptide.
Peptide X thuộc loại hexapeptide do được tạo bởi 6 đơn vị α-amino acid liên kết với nhau. Đáp án: D
Câu 32 [308822]: Tên gọi của peptide X là
A, Val– Leu–His –Thr–Pro–Glu.
B, Val–His–Leu–Thr–Pro–Glu.
C, Val– Pro–Leu–Thr– His –Glu.
D, Glu–His–Leu–Thr–Pro–Val.
Tên gọi của peptide X là Val–His–Leu–Thr–Pro–Glu. Đáp án: B