Dạng 1: TRẮC NGHIỆM KHÁCH QUAN: mỗi câu hỏi chỉ có một đáp án đúng.
Câu 1 [308505]: Khi thay nguyên tử H trong phân tử NH3 bằng gốc hydrocarbon, thu được
A, amine.
B, lipid.
C, ester.
D, amino acid.
Khi thay thế một hay nhiều nguyên tử H trong phân tử NH3 bằng gốc hydrocarbon thì thu được amine.

⇒ Chọn đáp án A Đáp án: A

⇒ Chọn đáp án A Đáp án: A
Câu 2 [704300]: “Khi thay đổi mạch carbon, vị trí nhóm chức hoặc số nhóm …(1)… liên kết với nguyên tử …(2)… thu được các đồng phân amine”. Nội dung phù hợp trong ô trống (1), (2) lần lượt là
A, chức, hydrogen.
B, chức, carbon.
C, thế, carbon.
D, thế, nitrogen.
Khi thay đổi mạch carbon, vị trí nhóm chức hoặc số nhóm thế liên kết với nguyên tử nitrogen thu được các đồng phân amine
Giải thích:
Amine là hợp chất hữu cơ có chứa nhóm chức NH2, hoặc nhóm chứa nitrogen liên kết với các gốc hydrocarbon. Các đồng phân của amine được tạo ra khi có sự thay đổi:
- Thay đổi độ dài hoặc cấu trúc của mạch carbon gắn với nguyên tử nitrogen.
- Vị trí nhóm chức.
- Số nhóm alkyl liên kết với nguyên tử nitrogen.
⇒ Chọn đáp án D Đáp án: D
Giải thích:
Amine là hợp chất hữu cơ có chứa nhóm chức NH2, hoặc nhóm chứa nitrogen liên kết với các gốc hydrocarbon. Các đồng phân của amine được tạo ra khi có sự thay đổi:
- Thay đổi độ dài hoặc cấu trúc của mạch carbon gắn với nguyên tử nitrogen.
- Vị trí nhóm chức.
- Số nhóm alkyl liên kết với nguyên tử nitrogen.
⇒ Chọn đáp án D Đáp án: D
Câu 3 [1009859]: Chất nào dưới đây là một amine?
A, CH3NH3Cl.
B, CH3NH2.
C, H2NCH2COOH.
D, H2NCH2COOCH3.
Khi thay thế một hay nhiều nguyên tử H trong phân tử NH3 bằng gốc hydrocarbon thì thu được amine.

❌A. CH3NH3Cl là muối amonia
✔️B. CH3NH2 là amine
❌C. H2NCH2COOH là carboxylic acid
❌D. H2NCH2COOCH3 là muối của amino acid
⇒ Chọn đáp án B Đáp án: B

❌A. CH3NH3Cl là muối amonia
✔️B. CH3NH2 là amine
❌C. H2NCH2COOH là carboxylic acid
❌D. H2NCH2COOCH3 là muối của amino acid
⇒ Chọn đáp án B Đáp án: B
Câu 4 [1009860]: Chất nào dưới đây không phải là amine?
A, C6H5NH2.
B, (CH3)2NH.
C, CH3CONHCH3.
D, (CH3)3N.
Khi thay thế một hay nhiều nguyên tử H trong phân tử NH3 bằng gốc hydrocarbon thì thu được amine.

✔️A. C6H5NH2 là aniline
✔️B. (CH3)2NH là amine
❌C. CH3CONHCH3 là amino acid
✔️D. (CH3)3N là amine
⇒ Chọn đáp án C Đáp án: C

✔️A. C6H5NH2 là aniline
✔️B. (CH3)2NH là amine
❌C. CH3CONHCH3 là amino acid
✔️D. (CH3)3N là amine
⇒ Chọn đáp án C Đáp án: C
Câu 5 [1009861]: Công thức chung của amine no, đơn chức, mạch hở là
A, CnH2n-5N (n ≥ 6).
B, CnH2n+1N (n ≥ 2).
C, CnH2n-1N (n ≥ 2).
D, CnH2n+3N (n ≥ 1).
Amine đơn chức nên có 1 nhóm amine; no, mạch hở nên có công thức chung là CnH2n+3N (n ≥ 1).
⟹ Chọn đáp án D Đáp án: D
⟹ Chọn đáp án D Đáp án: D
Câu 6 [308507]: Luminol (C8H7N3O2) là 1 chất hóa học linh hoạt có thể phát quang, với ánh sáng xanh nổi bật khi trộn với tác nhân oxi hóa thích hợp. Luminol được sử dụng bởi các nhà điều tra pháp y để phát hiện dấu vết của máu tại địa điểm phạm tội vì nó phản ứng với sắt trong hemoglobin. Trong Luminol không có nhóm chức nào?

A, ester.
B, amine.
C, amide.
D, carbonyl.
Trong Luminol có các nhóm chức amine, carbonyl (C=O), amide (CONH) và không có nhóm chức ester (COO) Đáp án: A
Câu 7 [308508]: Bậc của amine là
A, bậc của nguyên tử carbon liên kết với nhóm chức NH2.
B, số nguyên tử hydrogen liên kết trực tiếp với nguyên tử nitrogen.
C, số nguyên tử hydrogen trong phân tử amoniac bị thay thế bởi gốc hydrocarbon.
D, số gốc hydrocarbon liên kết trực tiếp với nguyên tử nitrogen.
Bậc của amine được tính bằng số nguyên tử Hydrogen trong phân tử ammonia bị thay thế bởi gốc hydrocarbon. Đáp án: C
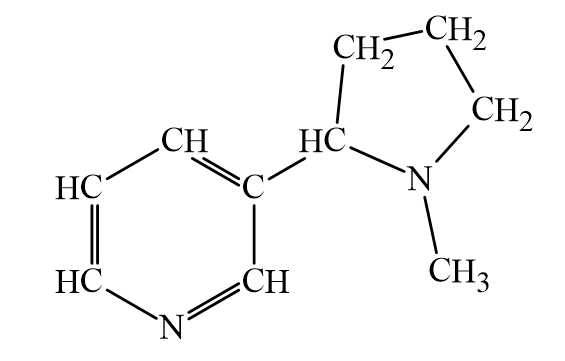
Câu 8 [1009862]: Nicotine là chất gây nghiện có trong thuốc lá. Nicotine là một amine và có công thức cấu tạo như hình. Công thức phân tử của nicotine là

A, C10H12N2.
B, C10H14N2.
C, C12H14N2.
D, C12H12N2.
HƯỚNG DẪN GIẢI:
Nicotine là chất gây nghiện có trong thuốc lá. Nicotine là một amine và có công thức cấu tạo như hình.

Công thức phân tử của nicotine là C10H14N2.
⟹ Chọn đáp án B Đáp án: B
Nicotine là chất gây nghiện có trong thuốc lá. Nicotine là một amine và có công thức cấu tạo như hình.

Công thức phân tử của nicotine là C10H14N2.
⟹ Chọn đáp án B Đáp án: B
Câu 9 [308509]: Cho các amine có công thức cấu tạo sau:

Amine nào là amine bậc hai?

Amine nào là amine bậc hai?
A, (4).
B, (1).
C, (3).
D, (2).
Các amine trong phân tử có chứa nhóm:
NH2 ⇒ amine bậc 1
NH ⇒ amine bậc 2
N ⇒ amine bậc 3
Đáp án: C
NH2 ⇒ amine bậc 1
NH ⇒ amine bậc 2
N ⇒ amine bậc 3
Đáp án: C
Câu 10 [308510]: Cho các amine có công thức cấu tạo sau:

Amine nào là amine bậc ba?

Amine nào là amine bậc ba?
A, (2).
B, (3).
C, (1).
D, (4).
Các amine trong phân tử có chứa nhóm:
NH2 ⇒ amine bậc 1
NH ⇒ amine bậc 2
N ⇒ amine bậc 3 Đáp án: D
NH2 ⇒ amine bậc 1
NH ⇒ amine bậc 2
N ⇒ amine bậc 3 Đáp án: D
Câu 11 [308511]: Cho các amine có công thức cấu tạo sau:

Số amine bậc một là

Số amine bậc một là
A, 5.
B, 3.
C, 2.
D, 4.
Các amine bậc một trong phân tử có chứa nhóm NH2: (1) (3) (4) Đáp án: B
Câu 12 [308512]: Cho các amine có công thức cấu tạo sau:

Amine nào cùng bậc với isopropyl alcohol?

Amine nào cùng bậc với isopropyl alcohol?
A, (3).
B, (4).
C, (1).
D, (2).
Isopropyl alcohol là alcohol bậc hai có CTCT: CH3-CH(OH)-CH3
Amine bậc hai cùng bậc với Isopropyl alcohol là Dimethylamine có CTCT: CH3-NH-CH3 Đáp án: A
Amine bậc hai cùng bậc với Isopropyl alcohol là Dimethylamine có CTCT: CH3-NH-CH3 Đáp án: A
Câu 13 [308514]: Chất nào sau đây thuộc loại amine bậc một ?
A, (CH3)3N.
B, CH3NHCH3.
C, CH3NH2.
D, CH3CH2NHCH3.
Bậc của amine được xác định đơn giản bằng cách dựa vào công thức cấu tạo:
+ Bậc một: có nhóm chức dạng –NH2 đính với một gốc hydrocarbon.
+ Bậc hai: có nhóm chức dạng –NH– đính với hai gốc hydrocarbon.
+ Bậc ba: có nhóm chức dạng ≡N đính với ba gốc hydrocarbon.
Chất thuộc loại amine bậc một là CH3NH2.
CH3NHCH3 và CH3CH2NHCH3 là 2 amine bậc hai.
(CH3)3N là amine bậc ba.
⇒ Chọn đáp án C Đáp án: C
+ Bậc một: có nhóm chức dạng –NH2 đính với một gốc hydrocarbon.
+ Bậc hai: có nhóm chức dạng –NH– đính với hai gốc hydrocarbon.
+ Bậc ba: có nhóm chức dạng ≡N đính với ba gốc hydrocarbon.
Chất thuộc loại amine bậc một là CH3NH2.
CH3NHCH3 và CH3CH2NHCH3 là 2 amine bậc hai.
(CH3)3N là amine bậc ba.
⇒ Chọn đáp án C Đáp án: C
Câu 14 [308516]: Alcohol và amine nào sau đây cùng bậc?
A, (CH3)3COH và (CH3)2NH.
B, (CH3)2CHCH2OH và CH3NHCH(CH3)2.
C, CH3CH(NH2)CH3 và CH3CH2OH.
D, (CH3)2CHOH và (CH3)2CHNH2.
Chọn đáp án C
A. Alcohol bậc ba, amine bậc hai
B. Alcohol bậc một, amine bậc hai
C. Alcohol bậc một, amine bậc một
D. Alcohol bậc hai, amine bậc một Đáp án: C
A. Alcohol bậc ba, amine bậc hai
B. Alcohol bậc một, amine bậc hai
C. Alcohol bậc một, amine bậc một
D. Alcohol bậc hai, amine bậc một Đáp án: C
Câu 15 [308519]: Cho các amine có công thức như sau:

Amine nào không thuộc loại amine thơm?

Amine nào không thuộc loại amine thơm?
A, (3).
B, (2).
C, (4).
D, (1).
Benzylamine không thuộc loại arylamine vì nguyên tử nitrogen không liên kết với nhóm aryl Đáp án: A
Dạng 2: TRẮC NGHIỆM ĐÚNG SAI – mỗi ý a), b), c), d) chọn đúng hoặc sai.
Câu 16 [308534]: Amphetamine là chất kích thích (mạnh hơn caffeine) làm tăng sự tỉnh táo và giảm cảm giác thèm ăn. Nó được sử dụng rộng rãi trong thế chiến thứ hai để ngăn chặn sự mệt mỏi khi chiến đấu. Công thức của amphetamine như sau:

HD: Phân tích các phát biểu
✔ a. Đúng. Công thức phân tử của amphetamine là C9H13N.
✔ b. Đúng. Amphetamine là amine bậc một (Dấu hiệu nhận biết: trong phân tử có nhóm NH2)
✘ c. Sai. Gọi CTTQ của amphetamine là CxHyNt thì độ bất bão hòa được tính theo công thức:
k = (2x-y+t+2) ÷ 2 = (2.9 -13 + 1 + 2) ÷ 2 = 4 → Độ bất bão hòa trong amphetamine là 4.
✘ d. Sai. Amphetamine không phải arylamine vì nguyên tử nitrogen không liên kết với nhóm aryl
✔ a. Đúng. Công thức phân tử của amphetamine là C9H13N.
✔ b. Đúng. Amphetamine là amine bậc một (Dấu hiệu nhận biết: trong phân tử có nhóm NH2)
✘ c. Sai. Gọi CTTQ của amphetamine là CxHyNt thì độ bất bão hòa được tính theo công thức:
k = (2x-y+t+2) ÷ 2 = (2.9 -13 + 1 + 2) ÷ 2 = 4 → Độ bất bão hòa trong amphetamine là 4.
✘ d. Sai. Amphetamine không phải arylamine vì nguyên tử nitrogen không liên kết với nhóm aryl
Câu 17 [308535]: Nicotine là một hợp chất gây nghiện và có độc tính cao. Với liều lượng nhỏ, nó hoạt động như một chất kích thích, nhưng với liều lượng lớn, nó gây trầm cảm, buồn nôn và thậm chí tử vong. Công thức cấu tạo của Nicotine như sau:
HD: Phân tích các phát biểu
✔ a. Đúng. Nicotine là amine bậc ba
✘ b. Sai. CTPT của nicotine là C10H14N2 → Khối lượng phân tử của nicotine là 162
✔ c. Đúng. Nicotine là một alkaloid được tìm thấy trong các cây họ Cà (Solanaceae), chủ yếu trong cây thuốc lá.
✔ d. Đúng. Với liều lượng nhỏ (trung bình một điếu thuốc tẩm một lượng khoảng 1 mg nicotine), chất này hoạt động như một chất kích thích cho các động vật có vú và là một trong những nhân tố chính chịu trách nhiệm cho việc lệ thuộc vào việc hút thuốc lá.
✔ a. Đúng. Nicotine là amine bậc ba
✘ b. Sai. CTPT của nicotine là C10H14N2 → Khối lượng phân tử của nicotine là 162
✔ c. Đúng. Nicotine là một alkaloid được tìm thấy trong các cây họ Cà (Solanaceae), chủ yếu trong cây thuốc lá.
✔ d. Đúng. Với liều lượng nhỏ (trung bình một điếu thuốc tẩm một lượng khoảng 1 mg nicotine), chất này hoạt động như một chất kích thích cho các động vật có vú và là một trong những nhân tố chính chịu trách nhiệm cho việc lệ thuộc vào việc hút thuốc lá.
Câu 18 [308537]: Amodiaquine thường được sử dụng để điều trị bệnh sốt rét.

HD: Phân tích các phát biểu
✘ a. Sai. Trong phân tử amodiaquine chứa cả amine bậc hai và amine bậc ba.
✔ b. Đúng. Theo CTCT ở hình trên, amodiaquine chứa 3 nguyên tử nitrogen (CTPT: C20H22ClN3O)
✘ c. Sai. Ngoài nhóm chức amine, amodiaquine còn chứa nhóm chức phenol.
✘ d. Sai. Amodiaquine chưa nhóm chức amine bậc hai và bậc ba.
✘ a. Sai. Trong phân tử amodiaquine chứa cả amine bậc hai và amine bậc ba.
✔ b. Đúng. Theo CTCT ở hình trên, amodiaquine chứa 3 nguyên tử nitrogen (CTPT: C20H22ClN3O)
✘ c. Sai. Ngoài nhóm chức amine, amodiaquine còn chứa nhóm chức phenol.
✘ d. Sai. Amodiaquine chưa nhóm chức amine bậc hai và bậc ba.
Câu 19 [308538]: Chloroquine là một loại thuốc dùng để phòng và điều trị sốt rét.
HD: Phân tích các phát biểu
✔ a. Đúng. Theo công thức cấu tạo ở hình trên, nguyên tử nitrogen trong vòng thuộc nhóm amine bậc ba.
✔ b. Đúng. Các nguyên tử nitrogen ngoài vòng thuộc nhóm amine bậc hai và bậc ba.
✘ c. Sai. Chloroquine không chứa nhóm chức aldehyde
✘ d. Sai. Chloroquine chứa 3 nguyên tử nitrogen (CTPT: C18H26ClN3)
✔ a. Đúng. Theo công thức cấu tạo ở hình trên, nguyên tử nitrogen trong vòng thuộc nhóm amine bậc ba.
✔ b. Đúng. Các nguyên tử nitrogen ngoài vòng thuộc nhóm amine bậc hai và bậc ba.
✘ c. Sai. Chloroquine không chứa nhóm chức aldehyde
✘ d. Sai. Chloroquine chứa 3 nguyên tử nitrogen (CTPT: C18H26ClN3)
Câu 20 [1009863]: Histamine là một trong những chất có liên quan mật thiết tới tình trạng sốc phản vệ, phản ứng viêm, dị ứng, dẫn truyền thần kinh và sự bài tiết dịch vị. Histamine có công thức cấu tạo được biểu diễn dưới đây:
Phân tích các đáp án:
✔️A. Đúng. Histamine là một amine, được tạo thành từ quá trình khử carboxyl của acid amine dưới tác dụng của enzyme histidine decarboxylase.
✔️B. Đúng. Công thức phân tử của histamine là C5H9N3.
✔️C. Đúng. Histamine là một amine sinh học có cấu tạo đặc biệt, gồm một chuỗi ethylamine (-CH2-CH2-NH2) gắn với vòng imidazole – một dị vòng 5 cạnh chứa hai nguyên tử nitrogen. Nhờ chứa nhóm amine và vòng dị vòng, histamine được xếp vào loại amine có cấu tạo dị vòng. Chất này đóng vai trò quan trọng trong cơ thể, đặc biệt trong phản ứng dị ứng, dẫn truyền thần kinh và điều hòa tiết acid dạ dày.
✔️D. Đúng. Trong phân tử histamine, số sóng hấp thụ cường độ 3500 -3200 cm-1 đặc trưng cho liên kết N-H.
✔️A. Đúng. Histamine là một amine, được tạo thành từ quá trình khử carboxyl của acid amine dưới tác dụng của enzyme histidine decarboxylase.
✔️B. Đúng. Công thức phân tử của histamine là C5H9N3.
✔️C. Đúng. Histamine là một amine sinh học có cấu tạo đặc biệt, gồm một chuỗi ethylamine (-CH2-CH2-NH2) gắn với vòng imidazole – một dị vòng 5 cạnh chứa hai nguyên tử nitrogen. Nhờ chứa nhóm amine và vòng dị vòng, histamine được xếp vào loại amine có cấu tạo dị vòng. Chất này đóng vai trò quan trọng trong cơ thể, đặc biệt trong phản ứng dị ứng, dẫn truyền thần kinh và điều hòa tiết acid dạ dày.
✔️D. Đúng. Trong phân tử histamine, số sóng hấp thụ cường độ 3500 -3200 cm-1 đặc trưng cho liên kết N-H.
Dạng 3: TRẮC NGHIỆM YÊU CẦU TRẢ LỜI NGẮN
Câu 21 [1009864]: Cho các chất có cấu tạo sau:
(1) CH3–CH2–NH2; (2) CH3–NH–CH3; (3) CH3–CO–NH2;
(4) NH2–CO–NH2; (5) H2N–CH2–COOH; (6) C6H5–NH2;
(7) C6H5NH3Cl; (8) C6H5 – NH – CH3; (9) CH2=CHNH2.
Có bao nhiêu chất là amine?
(1) CH3–CH2–NH2; (2) CH3–NH–CH3; (3) CH3–CO–NH2;
(4) NH2–CO–NH2; (5) H2N–CH2–COOH; (6) C6H5–NH2;
(7) C6H5NH3Cl; (8) C6H5 – NH – CH3; (9) CH2=CHNH2.
Có bao nhiêu chất là amine?
Khi thay thế một hay nhiều nguyên tử H trong phân tử NH3 bằng gốc hydrocarbon thì thu được amine.

Phân tích các đáp án:
✔️(1) CH3–CH2–NH2
✔️(2) CH3–NH–CH3
❌(3) CH3–CO–NH2 là amide
❌(4) NH2–CO–NH2 là amide
❌(5) H2N–CH2–COOH là amino acid
✔️(6) C6H5–NH2
❌(7) C6H5NH3Cl là muối amoni
✔️(8) C6H5 – NH – CH3
✔️(9) CH2=CHNH2.
⟹ Điền đáp án: 5

Phân tích các đáp án:
✔️(1) CH3–CH2–NH2
✔️(2) CH3–NH–CH3
❌(3) CH3–CO–NH2 là amide
❌(4) NH2–CO–NH2 là amide
❌(5) H2N–CH2–COOH là amino acid
✔️(6) C6H5–NH2
❌(7) C6H5NH3Cl là muối amoni
✔️(8) C6H5 – NH – CH3
✔️(9) CH2=CHNH2.
⟹ Điền đáp án: 5
Câu 22 [1009865]: Amodiaquine thường được sử dụng để điều trị bệnh sốt rét. Cấu tạo của amodiaquine như hình bên. Số nguyên tử H có trong amodiaquine là bao nhiêu?
Công thức phân tử của Amodiaquine là C20H22ClN3O.
Số nguyên tử H của Amodiaquine là 22.

⟹ Điền đáp án: 22
Số nguyên tử H của Amodiaquine là 22.

⟹ Điền đáp án: 22
Câu 23 [308539]: Cho các amine có công thức cấu tạo sau:

Số amine bậc một là

Số amine bậc một là
Hướng dẫn:
Các amine bậc một là: (1) (3) (4) (5)
Amine số (2) là amine bậc ba
⇒ Điền đáp án: 4
Các amine bậc một là: (1) (3) (4) (5)
Amine số (2) là amine bậc ba
⇒ Điền đáp án: 4
Câu 24 [308540]: Cho các amine có công thức cấu tạo sau:

Số amine bậc hai là

Số amine bậc hai là
Hướng dẫn:
Amine bậc một: (1) (3) (5)
Amine bậc hai: (4)
Amine bậc ba: (2)
→ Có 1 amine bậc hai
⇒ Điền đáp án: 1
Amine bậc một: (1) (3) (5)
Amine bậc hai: (4)
Amine bậc ba: (2)
→ Có 1 amine bậc hai
⇒ Điền đáp án: 1
Câu 25 [308541]: Ethylamine hay còn gọi là ethanamine là một hợp chất hữu cơ có công thức CH3CH2NH2. Ethylamine là khí không màu, có mùi giống ammonia nồng nặc. Nó ngưng tụ ngay dưới nhiệt độ phòng thành chất lỏng có thể trộn được với hầu hết tất cả các dung môi.
(1) Phân tử ethylamine chứa nhóm chức –NH2.
(2) Ethylamine tan tốt trong nước.
(3) Ethylamine là amine bậc 1.
(4) Ethylamine có mùi khai.
Số phát biểu đúng là
(1) Phân tử ethylamine chứa nhóm chức –NH2.
(2) Ethylamine tan tốt trong nước.
(3) Ethylamine là amine bậc 1.
(4) Ethylamine có mùi khai.
Số phát biểu đúng là
Hướng dẫn:
Công thức cấu tạo của Ethylamine: CH3-CH2-NH2
Phân tích các phát biểu:
✔ a. Đúng. Phân tử ethylamine chứa 1 nhóm -NH2
✔ b. Đúng. Ethylamine là chất khí tan nhiều trong nước
✔ c. Đúng. Ethylamine là amine bậc một
✔ d. Đúng. Ethylamine có mùi khai giống amonia
→ Cả 4 phát biểu đều đúng
⇒ Điền đáp án: 4
Công thức cấu tạo của Ethylamine: CH3-CH2-NH2
Phân tích các phát biểu:
✔ a. Đúng. Phân tử ethylamine chứa 1 nhóm -NH2
✔ b. Đúng. Ethylamine là chất khí tan nhiều trong nước
✔ c. Đúng. Ethylamine là amine bậc một
✔ d. Đúng. Ethylamine có mùi khai giống amonia
→ Cả 4 phát biểu đều đúng
⇒ Điền đáp án: 4
Câu 26 [1009866]: Cho các amine có công thức cấu tạo dưới đây:

Sắp xếp các amine bậc một thành một bộ số theo số thứ tự tăng dần.

Sắp xếp các amine bậc một thành một bộ số theo số thứ tự tăng dần.

Các phân tử amine bậc 1 là:

(5) là amine bậc 2
(6) là amine bậc 3
⟹ Điền đáp án: 1234
Câu 27 [1009867]: Kết quả phân tích nguyên tố của hợp chất arylamine X có phần trăm khối lượng các nguyên tố như sau: %C = 78,51%; %H = 8,41% còn lại là nitrogen. Từ phổ khối lượng xác định được phân tử khối của X bằng 107. Ứng với công thức phân tử của X, có bao nhiêu đồng phân cấu tạo của arylamine bậc một?
Gọi công thức phân tử của amine là CaHbNc
Từ phổ khối lượng phân tử khối của amine là 107 amu.
Công thức phân tử của amine là C7H9N.
Các đồng phân cấu tạo arylamine bậc I là

⟹ Điền đáp án: 3
Từ phổ khối lượng phân tử khối của amine là 107 amu.
Công thức phân tử của amine là C7H9N.
Các đồng phân cấu tạo arylamine bậc I là

⟹ Điền đáp án: 3
Dạng 4: BÀI TẬP ĐỌC HIỂU – đọc thông tin và trả lời các câu hỏi sau đó
ALKALOID
Hình bên dưới cho thấy cấu trúc của một số amine quan trọng về mặt công nghiệp và sinh học. Ví dụ, aniline là một amine thơm được sử dụng rộng rãi trong sản xuất thuốc nhuộm. Một số lượng lớn các amine có nguồn gốc từ nguyên liệu thực vật như rễ, lá và vỏ cây thường được gọi là alkaloid. Alkaloid tạo thành một nhóm hợp chất khổng lồ có đặc tính sinh lý đã được nghiên cứu chuyên sâu trong hơn 150 năm.

Ví dụ, coniine là một loại alkaloid có độc tính cao. Nicotine là một loại alkaloid gây nghiện cao được tìm thấy trong phần lá của cây thuốc lá. Codeine và morphine đều là thuốc giảm đau và alkaloid được chiết xuất từ cây thuốc phiện.
Adrenaline là hợp chất chính trong nhóm hợp chất được gọi là phenylethylamines. Adrenaline không phải là một alkaloid; nó là một loại hormone được giải phóng vào cơ thể để đáp ứng với căng thẳng. Nó làm tăng lưu lượng máu đến cơ và não, tăng tốc độ hô hấp và nhịp tim, đồng thời kích thích giải phóng năng lượng dự trữ vào máu. Khi cơ thể bị tổn thương, nó sẽ thúc đẩy quá trình chữa lành. Đôi khi, adrenaline cũng có chức năng như một chất dẫn truyền thần kinh.
Pyridoxamine, hay vitamin B6, là một loại vitamin tan trong nước tồn tại ở ba dạng hóa học chính: pyridoxine, pyridoxal và pyridoxamine. Vai trò của nó trong cơ thể rất đa dạng nhưng cần thiết cho sức khỏe tốt.
Benzocain là một loại thuốc gây tê cục bộ và tại chỗ hiệu quả được sử dụng trong thuốc trị vết đốt, kem trị cháy nắng và được nha sĩ sử dụng trong mô niêm mạc.
Câu 28 [308544]: Có bao nhiêu chất chỉ chứa nhóm chức amine?
A, 1.
B, 2.
C, 3.
D, 4.
Aniline, coniine và nicotine chỉ chứa nhóm chức amine Đáp án: C
Câu 29 [308545]: Chất nào có nhiều loại nhóm chức nhất?
A, Aniline.
B, Coniine.
C, Benzocaine.
D, Pyridoxamine.
Hướng dẫn:
- Pyridoxamine có nhiều loại nhóm chức nhất (3 nhóm), gồm: nhóm hydroxyl, amine (pyridine vẫn tính là amine bậc 1), alcohol.
- Trong khi:
+ Aniline và coniine chỉ chứa 1 nhóm chức là nhóm amine.
+ Benzocaine chứa 2 nhóm là amine và ester. Đáp án: D
- Pyridoxamine có nhiều loại nhóm chức nhất (3 nhóm), gồm: nhóm hydroxyl, amine (pyridine vẫn tính là amine bậc 1), alcohol.
- Trong khi:
+ Aniline và coniine chỉ chứa 1 nhóm chức là nhóm amine.
+ Benzocaine chứa 2 nhóm là amine và ester. Đáp án: D
Câu 30 [308546]: Có bao nhiêu chất chứa nhóm chức amine bậc một?
A, 1.
B, 2.
C, 3.
D, 4.
3 chất chứa nhóm chức amine bậc một là aniline, benzocaine và pyridoxamine. Đáp án: C
CÁC CHẤT ĐỘC AMINE
(S)-Coniine là tác nhân gây độc của cây huyết dụ nước (một loài cây thuộc họ cà rốt). Việc nuốt phải nó có thể gây suy nhược, khó thở, tê liệt và cuối cùng là tử vong. (S)-Nicotine có trong cây tabacco (cây thuốc lá). Với liều lượng nhỏ, nó là một chất kích thích gây nghiện. Ở liều lượng lớn hơn, chất này gây trầm cảm, buồn nôn và chết người. Dung dịch nicotine trong nước được sử dụng làm thuốc trừ sâu.

(S)-Coniine (S)-Nicotine Cocaine
Cocaine là chất kích thích hệ thần kinh trung ương được chiết xuất từ lá cây coca. Với liều lượng nhỏ, nó làm giảm mệt mỏi và mang lại cảm giác sảng khoái. Sử dụng cocaine kéo dài dẫn đến nghiện thể chất và trầm cảm.

Câu 31 [308547]: Cả 3 chất Coniine, Nicotine và Cocaine đều chứa nhóm chức nào?
A, Ester.
B, Aldehyde.
C, Amine.
D, Carboxylic acid.
+) Coniine:
Là một alkaloid chứa một vòng 6 cạnh có một nguyên tử N, trong đó nitrogen mang một cặp electron tự do.
→ Nhóm chức: amine bậc hai (trong vòng).
+) Nicotine:
Là một alkaloid có cấu trúc gồm hai vòng: pyridine và pyrrolidine, trong đó vòng pyrrolidine chứa một nguyên tử nitrogen có cặp electron tự do.
→ Nhóm chức: amine bậc ba (trong vòng pyrrolidine).
+) Cocaine:
Là một alkaloid ester phức tạp, nhưng trong cấu trúc của nó có chứa một nguyên tử nitrogen trong vòng, mang đặc điểm của một nhóm chức amine bậc ba.
Ngoài ra, nó còn chứa nhóm chức ester và carbonyl, nhưng nhóm amine là điểm chung với Coniine và Nicotine.
⇒ Chọn đáp án C Đáp án: C
Là một alkaloid chứa một vòng 6 cạnh có một nguyên tử N, trong đó nitrogen mang một cặp electron tự do.
→ Nhóm chức: amine bậc hai (trong vòng).
+) Nicotine:
Là một alkaloid có cấu trúc gồm hai vòng: pyridine và pyrrolidine, trong đó vòng pyrrolidine chứa một nguyên tử nitrogen có cặp electron tự do.
→ Nhóm chức: amine bậc ba (trong vòng pyrrolidine).
+) Cocaine:
Là một alkaloid ester phức tạp, nhưng trong cấu trúc của nó có chứa một nguyên tử nitrogen trong vòng, mang đặc điểm của một nhóm chức amine bậc ba.
Ngoài ra, nó còn chứa nhóm chức ester và carbonyl, nhưng nhóm amine là điểm chung với Coniine và Nicotine.
⇒ Chọn đáp án C Đáp án: C
Câu 32 [308548]: Chất nào chứa amine bậc 2?
A, Coniine.
B, Nicotine.
C, Cocaine.
D, Nicotine và Cocaine.
Cách nhận biết bậc của amine:
- Amine bậc một: có nhóm chức dạng –NH2 đính với một gốc hydrocarbon.
- Amine bậc hai: có nhóm chức dạng –NH– đính với hai gốc hydrocarbon.
- Amine bậc ba: có nhóm chức dạng ≡N đính với ba gốc hydrocarbon.
⟶ Phân tử Coniine có nhóm chức amine dạng –NH nên là amine bậc 2.
⇒ Chọn đáp án A Đáp án: A
- Amine bậc một: có nhóm chức dạng –NH2 đính với một gốc hydrocarbon.
- Amine bậc hai: có nhóm chức dạng –NH– đính với hai gốc hydrocarbon.
- Amine bậc ba: có nhóm chức dạng ≡N đính với ba gốc hydrocarbon.
⟶ Phân tử Coniine có nhóm chức amine dạng –NH nên là amine bậc 2.
⇒ Chọn đáp án A Đáp án: A
Câu 33 [308549]: Chất nào có nhiều loại nhóm chức nhất?
A, Nicotine.
B, Cocaine.
C, Coniine.
D, Coniine và Cocaine.
Cocaine có 2 nhóm chức (ester và amine)
Trong khi (S)-Coniine và (S)-Nicotine chỉ có 1 nhóm chức là amine
⇒ Cocaine có nhiều loại nhóm chức nhất Đáp án: B
Trong khi (S)-Coniine và (S)-Nicotine chỉ có 1 nhóm chức là amine
⇒ Cocaine có nhiều loại nhóm chức nhất Đáp án: B