Dạng 1. TRẮC NGHIỆM KHÁCH QUAN: mỗi câu hỏi chỉ có một đáp án đúng.
Câu 1 [310478]: Tơ viscose thuộc loại tơ?
A, Polyamide.
B, Polyester.
C, Thiên nhiên.
D, Bán tổng hợp.
Tơ viscose là tơ bán tổng hợp, điều chế bằng cách hòa tan cellulose với NaOH.
⇒ Chọn đáp án D Đáp án: D
⇒ Chọn đáp án D Đáp án: D
Câu 2 [310479]: Tơ lapsan thuộc loại tơ
A, polyalcohol.
B, polyamide.
C, polyether.
D, polyester.
Tơ Lapsan là một loại tơ tổng hợp thuộc loại tơ polieste. Tổng hợp từ ethylene glycol và acid terephthalic (hoặc dimethyl terephthalate) thông qua phản ứng trùng ngưng.

⇒ Chọn đáp án D Đáp án: D

⇒ Chọn đáp án D Đáp án: D
Câu 3 [310480]: Nylon-6,6 thuộc loại tơ
A, acetate.
B, bán tổng hợp.
C, polyamide.
D, thiên nhiên.
Tơ Nylon-6,6 là một loại sợi tổng hợp thuộc nhóm polyamide và được điều chế qua phản ứng trùng ngưng giữa hexamethylenediamine và acid adipic.

⇒ Chọn đáp án C
Đáp án: C

⇒ Chọn đáp án C
Đáp án: C
Câu 4 [310481]: Tơ nào sau đây được sản xuất từ cellulose?
A, Tơ nitron.
B, Tơ capron.
C, Tơ viscose.
D, Tơ nylon-6,6.
Phân tích các đáp án:
❌A. Tơ nitron điều chế từ polyacrylonitrile.
❌B. Tơ capron điều chế từ caprolactam
✔️C. Tơ viscose điều chế từ cellulose.
❌D. Tơ nylon - 6,6 điều chế từ hexamethylenediamine và acid adipic.
⇒ Chọn đáp án C Đáp án: C
❌A. Tơ nitron điều chế từ polyacrylonitrile.
❌B. Tơ capron điều chế từ caprolactam
✔️C. Tơ viscose điều chế từ cellulose.
❌D. Tơ nylon - 6,6 điều chế từ hexamethylenediamine và acid adipic.
⇒ Chọn đáp án C Đáp án: C
Câu 5 [310482]: Polymer nào sau đây được dùng để chế tạo tơ bán tổng hợp (tơ nhân tạo)?
A, Poly(ethylen-terephthalate).
B, Cellulose triacetate.
C, Poly(hexamethylene-adipamide).
D, Polyacrylonitrile.
Phân tích các đáp án:
❌A. Poly(ethylen-terephthalate) điều chế nhựa PET.
✔️B. Cellulose triacetate là polymer bán tổng hợp.
❌C. Poly(hexamethylene-adipamide) điều chế nylon - 6,6.
❌D. Polyacrylonitrile điều chế tơ tổng hợp.
⇒ Chọn đáp án B Đáp án: B
❌A. Poly(ethylen-terephthalate) điều chế nhựa PET.
✔️B. Cellulose triacetate là polymer bán tổng hợp.
❌C. Poly(hexamethylene-adipamide) điều chế nylon - 6,6.
❌D. Polyacrylonitrile điều chế tơ tổng hợp.
⇒ Chọn đáp án B Đáp án: B
Câu 6 [310483]: Hợp chất hữu cơ được dùng để sản xuất tơ tổng hợp là
A, polystyrene.
B, polyisoprene.
C, poly(vinyl cyanide).
D, poly(vinyl chloride).
Tơ tổng hợp là poly(vinyl cyanide) ( tơ nitron), còn các polymer còn lại đều là chất dẻo.
❌A. polystyrene điều chế nhựa PS.
❌B. polyisoprene điều chế cao su.
❌D. poly(vinyl chloride) điều chế nhựa PVC.
⇒ Chọn đáp án C Đáp án: C
❌A. polystyrene điều chế nhựa PS.
❌B. polyisoprene điều chế cao su.
❌D. poly(vinyl chloride) điều chế nhựa PVC.
⇒ Chọn đáp án C Đáp án: C
Câu 7 [310484]: Polymer nào sau đây được dùng để sản xuất tơ tổng hợp?
A, Poly(methyl methacrylate).
B, Polyacrylonitrile.
C, Cellulose triacetate.
D, Polyisoprene.
Phân tích các đáp án:
❌A. Poly(methyl methacrylate) điều chế thủy tinh hữu cơ.
✔️B. Polyacrylonitrile điều chế tơ tổng hợp.
❌C. Cellulose triacetate điều chế tơ acetate.
❌D. Polyisoprene điều chế cao su.
⇒ Chọn đáp án B Đáp án: B
❌A. Poly(methyl methacrylate) điều chế thủy tinh hữu cơ.
✔️B. Polyacrylonitrile điều chế tơ tổng hợp.
❌C. Cellulose triacetate điều chế tơ acetate.
❌D. Polyisoprene điều chế cao su.
⇒ Chọn đáp án B Đáp án: B
Câu 8 [310485]: Poly(ethylen terephthalate) được điều chế bằng phản ứng với terephthalic acid với chất nào sau đây?
A, Ethylen glycol.
B, Ethylene.
C, Glycerol.
D, Ethyl alcohol.

⇒ Chọn đáp án A Đáp án: A
Câu 9 [310486]: Tiến hành phản ứng trùng ngưng ε-aminocaproic acid thu được polymer dùng để sản xuất tơ nào sau đây?
A, Tơ nylon-6.
B, Tơ nylon-6,6.
C, Tơ nitron.
D, Tơ viscose.
Khi tiến hành phản ứng trùng ngưng ε–aminocaproic acid,thu được polycaproamide dùng để sản xuất tơ nylon-6 Đáp án: A
Câu 10 [310487]: Tơ nylon-6,6 là sản phẩm trùng ngưng của
A, urea và formaldehyde.
B, adipic acid và hexamethylenediamine.
C, phenol và formaldehyde.
D, ethylen glycol và terephthalic acid.
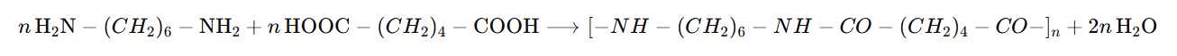
nHOOC-[CH2]4-COOH + nH2N-[CH2]6-NH2 -to,p,xt→NH-[CH2]6-NH-CO-[CH2]4-COn + 2nH2O
Trùng ngưng adipic acid và hexamethylenediamine thu được sản phẩm là tơ nylon-6,6. Đáp án: B
Trùng ngưng adipic acid và hexamethylenediamine thu được sản phẩm là tơ nylon-6,6. Đáp án: B
Câu 11 [310488]: Tơ lapsan là sản phẩm của phản ứng trùng ngưng giữa
A, terephthalic acid và ethylen glycol.
B, terephthalic acid và hexamethylenediamine.
C, caproic acid và vinyl cyanide.
D, adipic acid và ethylen glycol.
Tơ lapsan là sản phẩm của phản ứng đồng trùng ngưng giữa terephthalic acid và ethylen glycol.
nHOOC-C6H4-COOH + nHO-CH2-CH2-OH → (-OC-C6H4-COO-CH2-CH2-O-)n + 2nH2O Đáp án: A
nHOOC-C6H4-COOH + nHO-CH2-CH2-OH → (-OC-C6H4-COO-CH2-CH2-O-)n + 2nH2O Đáp án: A
Câu 12 [310489]: Khi đun nóng có xúc tác, các phân tử caprolactam mở vòng tại vị trí liên kết amide (–CO–NH–) rồi kết hợp lại với nhau tạo thành polymer dùng sản xuất tơ capron theo phản ứng trùng hợp:

Mắt xích tạo thành polymer trên giống với mắt xích của polymer trong vật liệu nào?

Mắt xích tạo thành polymer trên giống với mắt xích của polymer trong vật liệu nào?
A, Tơ nylon-6,6.
B, Tơ nylon-6.
C, Tơ acetate.
D, Tơ olon.
Mắt xích tạo thành polymer trên giống với mắt xích của polymer trong vật liệu tơ nylon-6.

⇒ Chọn đáp án B Đáp án: B

⇒ Chọn đáp án B Đáp án: B
Câu 13 [310491]:
Polymer dùng để sản xuất tơ lapsan có cấu tạo như sau: 
Tên gọi của polymer trên là
A, polyacrylonitrile.
B, poly(hexamethylene adipamide).
C, poly(ethylene terephthalate).
D, polycaproamide.
- Khi tiến hành đồng trùng ngưng ethylene glycol và terephthalic acid thu được polymer dùng để sản xuất tơ lapsan (poly(ethylene terephthalate))
- Polyethylene terephthalate, viết tắt là PET, PETE hay PETP, PET-P, là loại nhựa polymer nhiệt nhôm phổ biến nhất của polyester và được sử dụng trong sợi may quần áo, hộp đựng chất lỏng và thực phẩm, khuôn đúc nhựa và kết hợp với sợi thủy tinh sản xuất nhựa kỹ thuật.
⟹Chọn đáp án C Đáp án: C
- Polyethylene terephthalate, viết tắt là PET, PETE hay PETP, PET-P, là loại nhựa polymer nhiệt nhôm phổ biến nhất của polyester và được sử dụng trong sợi may quần áo, hộp đựng chất lỏng và thực phẩm, khuôn đúc nhựa và kết hợp với sợi thủy tinh sản xuất nhựa kỹ thuật.
⟹Chọn đáp án C Đáp án: C
Câu 14 [310492]: Trồng dâu, nuôi tằm là một nghề vất vả đã được dân gian đúc kết trong câu: “Nuôi lợn ăn cơm nằm, nuôi tằm ăn cơm đứng”. Con tằm sau khi nhả tơ tạo thành kén tằm được sử dụng để dệt thành những tấm tơ lụa có giá trị kinh tế cao, đẹp và mềm mại. Theo bạn, tơ tằm thuộc loại tơ nào?
A, Tơ tổng hợp.
B, Tơ bán tổng hợp (tơ nhân tạo).
C, Tơ thiên nhiên.
D, Tơ hóa học.
Tơ tằm thuộc loại tơ thiên nhiên. Đáp án: C
Câu 15 [310493]: Trong những năm 30 của thế kỉ XX, các nhà hóa học của hãng Du Pont (Mỹ) đã thông báo phát minh ra một loại vật liệu ‘‘mỏng hơn tơ nhện, bền hơn thép và đẹp hơn lụa’’. Theo thời gian, vật liệu này đã có mặt trong cuộc sống hàng ngày của con người, phổ biến trong các sản phẩm như lốp xe, dù, quần áo, tất, … Hãng Du Pont đã thu được hàng tỷ đô la mỗi năm bằng sáng chế về loại vật liệu này. Một trong số vật liệu đó là tơ nylon-6. Công thức một đoạn mạch của tơ nylon-6 là
A, 

B, 

C, 

D, 

Công thức của tơ nylon-6 là (-NH-[CH2]5-CO-)n. Đáp án: B
Câu 16 [310494]: Vật liệu polymer tổng hợp E có hình sợi dài, mảnh và giữ nhiệt tốt nên thường được dùng để dệt vải may quần áo ấm hoặc bện thành sợi “len” đan áo rét. Biết E bền với nhiệt và bền trong môi trường acid và base. Vật liệu E là
A, tơ nitron.
B, bông.
C, tơ tằm.
D, tơ nylon-6,6.
Khi tiến hành phản ứng trùng hợp vinyl cyanide (thường gọi là acrylonitrile), thu được polymer dùng để sản xuất tơ nitron.
Tơ nitron có đặc tính dai, bên với nhiệt, giữ nhiệt tốt
⇒ Dùng để may quần áo ấm, bện thành sợi "len" đan áo rét. Đáp án: A
Tơ nitron có đặc tính dai, bên với nhiệt, giữ nhiệt tốt
⇒ Dùng để may quần áo ấm, bện thành sợi "len" đan áo rét. Đáp án: A
Câu 17 [310495]: Phát biểu nào sau đây là sai?
A, Tơ viscose là tơ bán tổng hợp.
B, Tơ cellulose triacetate là tơ hóa học.
C, Tơ nylon-6,6 là tơ nhân tạo.
D, Sợi bông, tơ tằm đều là tơ thiên nhiên.
Tơ nylon-6,6 thuộc loại tơ tổng hợp Đáp án: C
Câu 18 [1010072]: Qiana là tên thương mại của một loại tơ nylon được sửdụng để sản xuất vải lụa chống nhăn cao cấp. Qiana có công thức cấu tạo sau đây:

Nhận xét nào sau đây đúng?

Nhận xét nào sau đây đúng?
A,
Các monomer dùng để tổng hợp Qiana có cấu tạo như sau:
B, Tơ này kém bền trong môi trường acid hoặc base mạnh.
C, Tơ nylon làm từ tơ Qiana thuộc loại tơ nhân tạo.
D, Qiana thuộc loại loại polyamide được điều chế từ phản ứng trùng hợp các monomer đa chức tương ứng.
Phân tích các đáp án:
❌A. Sai, các monomer dùng để tổng hợp Qiana có cấu tạo như sau:
✔️B. Đúng, qiana có các nhóm amide nên kém bền trong môi trường acid hoặc base mạnh.
❌C. Sai, tơ nylon làm từ tơ Qiana thuộc loại tơ tổng hợp.
❌D. Sai, qiana thuộc loại loại polyamide được điều chế từ phản ứng trùng ngưng các monomer đa chức tương ứng.
Chọn đáp án B Đáp án: B
❌A. Sai, các monomer dùng để tổng hợp Qiana có cấu tạo như sau:
✔️B. Đúng, qiana có các nhóm amide nên kém bền trong môi trường acid hoặc base mạnh.
❌C. Sai, tơ nylon làm từ tơ Qiana thuộc loại tơ tổng hợp.
❌D. Sai, qiana thuộc loại loại polyamide được điều chế từ phản ứng trùng ngưng các monomer đa chức tương ứng.
Chọn đáp án B Đáp án: B
Câu 19 [1010073]: Keo dán là vật liệu polymer
A, có khả năng kết dính hai mảnh vật liệu rắn với nhau.
B, có khả năng tạo liên kết hydrogen giữa các vật liệu được kết dính.
C, có thành phần gồm vật liệu cốt và vật liệu nền là chất kết dính.
D, có khả năng kết dính khi thêm chất đóng rắn.
Keo dán là một loại vật liệu polymer có tính kết dính, được sử dụng để liên kết hai bề mặt rắn lại với nhau thông qua các tương tác vật lý hoặc hóa học như lực liên kết bề mặt, liên kết hóa học, hoặc sự xuyên thấm vào bề mặt vật liệu.
Chọn đáp án A Đáp án: A
Chọn đáp án A Đáp án: A
Câu 20 [310497]: Poly(vinyl acetate) (PVA) được dùng chế tạo sơn, keo dán. Monomer dùng để trùng hợp PVA là
A, CH3COOCH=CH2.
B, CH2=CHCOOCH3.
C, HCOOCH=CH2.
D, CH3COOCH3.
Poly(vinyl acetate) (PVA) được điều chế từ monomer: vinyl acetate: CH3COOCH=CH2

⇒ Chọn đáp án A Đáp án: A

⇒ Chọn đáp án A Đáp án: A
Câu 21 [310496]: Chất nào sau đây dùng làm cao su?
A, Nylon-6.
B, Polybuta-1,3-diene.
C, Poly(vinyl chloride).
D, Poly(methyl methacrylate).
- Nylon-6 được dùng làm tơ (thuộc loại tơ polyamide).
- Polybuta-1,3-diene được dùng làm cao su (cao su buna).
- Poly(vinyl chloride) – PVC được dùng làm chất dẻo.
- Poly(methyl methacrylate) được dùng làm chất dẻo.
⇒ Chọn đáp án B Đáp án: B
- Polybuta-1,3-diene được dùng làm cao su (cao su buna).
- Poly(vinyl chloride) – PVC được dùng làm chất dẻo.
- Poly(methyl methacrylate) được dùng làm chất dẻo.
⇒ Chọn đáp án B Đáp án: B
Câu 22 [310498]: Đồng trùng hợp buta-1,3-diene với chất nào sau đây thu được polymer dùng sản xuất cao su buna-S?
A, Isoprene.
B, Lưu huỳnh.
C, Vinyl cyanide.
D, Styrene.
Đồng trùng hợp buta-1,3-diene với styrene thu được polymer dùng sản xuất cao su buna-S theo phương trình:
CH2=CH-CH=CH2 + C6H5-CH=CH2 → (-CH2-CH=CH-CH2-CH(C6H5)-CH2-)n
⟹ Chọn đáp án D Đáp án: D
CH2=CH-CH=CH2 + C6H5-CH=CH2 → (-CH2-CH=CH-CH2-CH(C6H5)-CH2-)n
⟹ Chọn đáp án D Đáp án: D
Câu 23 [310499]: Cho polymer có cấu trúc hình học hình bên. Theo bạn, vật liệu polymer nào sau đây được tạo bởi polymer trên?
A, Cao su buna-S.
B, Cao su buna-N.
C, Cao su thiên nhiên.
D, Cao su buna.
Cao su thiên nheien là polymer có cấu trúc
Đáp án: C
Đáp án: C
Câu 24 [310500]: Cho hợp chất cao phân tử có cấu tạo như sau:

Theo bạn, hợp chất trên được dùng để chế tạo vật liệu polymer nào?

Theo bạn, hợp chất trên được dùng để chế tạo vật liệu polymer nào?
A, Tơ lapsan.
B, Keo dán urea-formaldehyde.
C, Nhựa novolac.
D, Cao su buna-S.
Đồng trùng hợp buta-1,3-diene với styrene, thu được cao su buna-S có cấu tạo như sau:
CH2=CH-CH=CH2 + C6H5-CH=CH2 → (-CH2-CH=CH-CH2-CH(C6H5)-CH2-)n
Đáp án: D
CH2=CH-CH=CH2 + C6H5-CH=CH2 → (-CH2-CH=CH-CH2-CH(C6H5)-CH2-)n
Đáp án: D
Câu 25 [310501]: Cho hợp chất cao phân tử có cấu tạo như sau:

Hợp chất trên được dùng để sản xuất loại vật liệu polymer nào?

Hợp chất trên được dùng để sản xuất loại vật liệu polymer nào?
A, Chất dẻo.
B, Keo dán.
C, Cao su.
D, Tơ.
Hợp chất cao phân tử trên được dùng để sản xuất tơ nylon - 6,6 – một loại polyamide, thường dùng làm sợi vải, nhựa kỹ thuật, dây cáp, bàn chải, linh kiện cơ khí,...

⟹ Chọn đáp án D Đáp án: D

⟹ Chọn đáp án D Đáp án: D
Câu 26 [310502]: Polymer nào sau đây có tính đàn hồi?
A, PVC.
B, PS.
C, Polybuta-1,3-diene.
D, Polyacrylonitrile.
Phân tích các đáp án:
❌A,B. PS, PVC: chất dẻo
✔️C. Polibuta-1,3-đien: cao su
❌D. Polyacrylonitrile: tơ
Cao su là vật liệu polymer có tính đàn hồi nên Polybuta-1,3-diene cũng có tính đàn hồi.
⇒ Chọn đáp án C Đáp án: C
❌A,B. PS, PVC: chất dẻo
✔️C. Polibuta-1,3-đien: cao su
❌D. Polyacrylonitrile: tơ
Cao su là vật liệu polymer có tính đàn hồi nên Polybuta-1,3-diene cũng có tính đàn hồi.
⇒ Chọn đáp án C Đáp án: C
Câu 27 [310503]: Vật liệu polymer nào sau đây có cấu trúc mạng lưới không gian?
A, Cao su thiên nhiên.
B, Cao su lưu hóa.
C, Cao su buna-S.
D, Cao su buna-N.
Phân tích các đáp án:
❌ A. Cao su thiên nhiên: Là polyisopren, có cấu trúc mạch thẳng hoặc mạch nhánh, không phải mạng lưới không gian.
✔️ B. Cao su lưu hóa: Là cao su thiên nhiên được lưu hóa bằng lưu huỳnh (S), tạo cầu nối -S-S- giữa các mạch polymer, hình thành cấu trúc mạng lưới không gian.
❌ C,D. Cao su buna-S (C) và Cao su buna-N: Là các cao su tổng hợp có cấu trúc mạch thẳng, không phải mạng lưới không gian.
⇒ Chọn đáp án B Đáp án: B
❌ A. Cao su thiên nhiên: Là polyisopren, có cấu trúc mạch thẳng hoặc mạch nhánh, không phải mạng lưới không gian.
✔️ B. Cao su lưu hóa: Là cao su thiên nhiên được lưu hóa bằng lưu huỳnh (S), tạo cầu nối -S-S- giữa các mạch polymer, hình thành cấu trúc mạng lưới không gian.
❌ C,D. Cao su buna-S (C) và Cao su buna-N: Là các cao su tổng hợp có cấu trúc mạch thẳng, không phải mạng lưới không gian.
⇒ Chọn đáp án B Đáp án: B
Câu 28 [310504]: Trùng hợp chất E thu được polymer dùng để sản xuất vật liệu hình sợi dài và mảnh với độ bền nhiệt nhất định. Khi đồng trùng hợp chất E với butadiene-1,3 thu được polymer dùng để sản xuất vật liệu có tính đàn hồi. Chất nào sau đây thỏa mãn tính chất của E?
A, Styrene.
B, Lưu huỳnh.
C, Isoprene.
D, Acrylonitrile.
Hợp chất E chính là Acrylonitrile (vinyl cyanide)
Khi tiến hành phản ứng trùng hợp vinyl cyanide (thường gọi là Acrylonitrile), thu được polymer dùng để sản xuất tơ nitron.
Tơ nitron hình sợi dài và mành với độ bền nhiệt nhất định.
Mặt khác, khi đồng trùng hợp Acrylonitrile với buta-1,3-diene thu được polymer dùng để sản xuất vật liệu có tính đàn hồi (cao su buna-N) Đáp án: D
Khi tiến hành phản ứng trùng hợp vinyl cyanide (thường gọi là Acrylonitrile), thu được polymer dùng để sản xuất tơ nitron.
Tơ nitron hình sợi dài và mành với độ bền nhiệt nhất định.
Mặt khác, khi đồng trùng hợp Acrylonitrile với buta-1,3-diene thu được polymer dùng để sản xuất vật liệu có tính đàn hồi (cao su buna-N) Đáp án: D
Câu 29 [310505]: Cây cao su là loại cây công nghiệp có giá trị kinh tế cao. Chất lỏng thu được từ cây cao su giống như nhựa cây (gọi là mủ cao su) được dùng để sản xuất cao su tự nhiên. Polymer trong cao su tự nhiên là
A, polystyrene.
B, polyisoprene.
C, polyethylene.
D, polybutadiene.
Polymer thiên nhiên có trong mủ cao su tự nhiên là polyisoprene. Đáp án: B
Câu 30 [310506]: Cây cao su là loại cây công nghiệp có giá trị kinh tế lớn, được đưa vào trồng ở nước ta từ cuối thể kỉ 19. Chất lỏng thu được từ cây cao su giống như nhựa cây (gọi là mủ cao su) là nguyên liệu sản xuất cao su thiên nhiên. Mắt xích của cao su thiên nhiên được viết thu gọn là
A, C4H8.
B, C5H8.
C, C5H10.
D, C4H6.
Polymer thiên nhiên có trong mủ cao su là polyisoprene, có cấu tạo 1 mắt xích là: CH3-C(CH2)-CH-CH2 (C5H8) Đáp án: B
Câu 31 [310507]: Công ty The Goodyear Tire & Rubber là một trong những công ty lốp xe lớn nhất thế giới khởi lập năm 1898. Năm 1971, lốp Goodyear trở thành bánh xe đầu tiên lăn trên Mặt Trăng...Tên công ty được đặt theo tên của nhà tiên phong Charles Goodyear, người khám phá ra phương pháp kết hợp giữa nguyên tố S (lưu huỳnh) với cao su để tạo ra một loại cao su có cấu trúc dạng mạch không gian, làm tăng cao tính bền cơ học, khả năng chịu được sự ma sát, va chạm. Loại cao su này có tên là
A, cao su buna-S.
B, cao su buna-N.
C, cao su buna.
D, cao su lưu hóa.
Khi kết hợp nguyên tố S (sulfur) với cao su để tạo ra cao su lưu hóa có cấu trúc mạch không gian. Đáp án: D
Câu 32 [1010074]: Phát biểu nào sau đây không đúng?
A, Nylon-6,6 thuộc loại tơ tổng hợp.
B, Cao su là những vật liệu polymer có tính đàn hồi.
C, Thành phần của vật liệu composite chỉ chứa polymer.
D, Tơ tằm thuộc loại tơ thiên nhiên.
Phân tích các đáp án:
✔️A. Nylon-6,6 thuộc loại tơ tổng hợp → nhận định A Đúng.
Nylon-6,6 được tổng hợp từ phản ứng trùng ngưng giữa hexamethylenediamin và axit adipic → là tơ tổng hợp.
✔️B. Cao su là những vật liệu polymer có tính đàn hồi → Nhận định B Đúng.
Cao su (tự nhiên hay tổng hợp) đều có tính đàn hồi do cấu trúc mạch polymer linh hoạt.
❌C. Thành phần của vật liệu composite chỉ chứa polymer → Nhận định C Không đúng.
Vật liệu composite là vật liệu tổ hợp, gồm ít nhất hai thành phần khác loại:
- Vật liệu cốt (ví dụ: sợi thủy tinh, sợi carbon, hạt gốm, kim loại,...);
- Vật liệu nền (matrix) thường là polymer.
→ Do đó, thành phần không chỉ chứa polymer mà còn chứa các vật liệu khác.
✔️D. Tơ tằm thuộc loại tơ thiên nhiên → Nhận định D Đúng.
Chọn đáp án C Đáp án: C
✔️A. Nylon-6,6 thuộc loại tơ tổng hợp → nhận định A Đúng.
Nylon-6,6 được tổng hợp từ phản ứng trùng ngưng giữa hexamethylenediamin và axit adipic → là tơ tổng hợp.
✔️B. Cao su là những vật liệu polymer có tính đàn hồi → Nhận định B Đúng.
Cao su (tự nhiên hay tổng hợp) đều có tính đàn hồi do cấu trúc mạch polymer linh hoạt.
❌C. Thành phần của vật liệu composite chỉ chứa polymer → Nhận định C Không đúng.
Vật liệu composite là vật liệu tổ hợp, gồm ít nhất hai thành phần khác loại:
- Vật liệu cốt (ví dụ: sợi thủy tinh, sợi carbon, hạt gốm, kim loại,...);
- Vật liệu nền (matrix) thường là polymer.
→ Do đó, thành phần không chỉ chứa polymer mà còn chứa các vật liệu khác.
✔️D. Tơ tằm thuộc loại tơ thiên nhiên → Nhận định D Đúng.
Chọn đáp án C Đáp án: C
Câu 33 [1010075]: Phát biểu nào sau đây đúng?
A, Polyethylene được điều chế bằng phản ứng trùng ngưng ethylene.
B, Tơ cellulose acetate thuộc loại tơ bán tổng hợp.
C, Tơ polyamide rất bền trong môi trường acid.
D, Cao su lưu hóa có tính đàn hồi kém hơn cao su chưa lưu hóa.
Phân tích các đáp án:
❌A – Sai. Polyethylene được điều chế bằng phản ứng trùng hợp (không phải trùng ngưng) của monomer ethylene (CH2=CH2). Trùng ngưng là phản ứng loại phân tử nhỏ (như H2O) ra ngoài – không xảy ra ở polyethylene.
✔️B – Đúng. Tơ cellulose acetate được tạo ra bằng cách biến tính cellulose (tơ thiên nhiên) bằng phản ứng với acid acetic hoặc anhydride acetic → tơ bán tổng hợp.
Gọi là “bán tổng hợp” vì nguyên liệu ban đầu là tự nhiên nhưng đã qua biến đổi hóa học.
❌C – Sai. Tơ polyamide (như nylon) không bền trong môi trường acid mạnh, dễ bị thủy phân liên kết amide → mất tính chất cơ học.
❌D Sai. Ngược lại, cao su lưu hóa có tính đàn hồi tốt hơn, bền hơn, chịu nhiệt và mài mòn tốt hơn do có liên kết ngang giữa các mạch polymer.
Chọn đáp án B Đáp án: B
❌A – Sai. Polyethylene được điều chế bằng phản ứng trùng hợp (không phải trùng ngưng) của monomer ethylene (CH2=CH2). Trùng ngưng là phản ứng loại phân tử nhỏ (như H2O) ra ngoài – không xảy ra ở polyethylene.
✔️B – Đúng. Tơ cellulose acetate được tạo ra bằng cách biến tính cellulose (tơ thiên nhiên) bằng phản ứng với acid acetic hoặc anhydride acetic → tơ bán tổng hợp.
Gọi là “bán tổng hợp” vì nguyên liệu ban đầu là tự nhiên nhưng đã qua biến đổi hóa học.
❌C – Sai. Tơ polyamide (như nylon) không bền trong môi trường acid mạnh, dễ bị thủy phân liên kết amide → mất tính chất cơ học.
❌D Sai. Ngược lại, cao su lưu hóa có tính đàn hồi tốt hơn, bền hơn, chịu nhiệt và mài mòn tốt hơn do có liên kết ngang giữa các mạch polymer.
Chọn đáp án B Đáp án: B
Câu 34 [1010076]: Phát biểu nào sau đầy đúng?
A, Poly(vinyl chloride) được điều chế bằng phản ứng cộng HCl vào ethylene.
B, Polyacrylonitrile được điều chế bằng phản ứng trùng ngưng.
C, Amylose có cấu trúc mạch phân nhánh.
D, Polybuta-1,3-diene được dùng để sản xuất cao su buna.
Phân tích các đáp án:
❌A – Sai. Poly(vinyl chloride) (PVC) được điều chế bằng phản ứng trùng hợp vinyl chloride (CH2=CHCl), không phải bằng phản ứng cộng HCl vào ethylene. Phản ứng cộng HCl vào ethylene tạo ra chloroethane, không phải vinyl chloride.
❌B – Sai. Polyacrylonitrile được điều chế bằng phản ứng trùng hợp monomer acrylonitrile (CH2=CH–CN), không phải trùng ngưng.
❌C – Sai. Amylose là polysaccharide có cấu trúc mạch thẳng, liên kết α-1,4-glycoside. Amylopectin mới là dạng mạch phân nhánh (có liên kết α-1,6).
✔️D – Đúng. Polybuta-1,3-diene là polymer của buta-1,3-diene, dùng làm nguyên liệu để sản xuất cao su buna (cao su tổng hợp), như: Buna-S (copolymer với styrene); Buna-N (copolymer với acrylonitrile).
Chọn đáp án D Đáp án: D
❌A – Sai. Poly(vinyl chloride) (PVC) được điều chế bằng phản ứng trùng hợp vinyl chloride (CH2=CHCl), không phải bằng phản ứng cộng HCl vào ethylene. Phản ứng cộng HCl vào ethylene tạo ra chloroethane, không phải vinyl chloride.
❌B – Sai. Polyacrylonitrile được điều chế bằng phản ứng trùng hợp monomer acrylonitrile (CH2=CH–CN), không phải trùng ngưng.
❌C – Sai. Amylose là polysaccharide có cấu trúc mạch thẳng, liên kết α-1,4-glycoside. Amylopectin mới là dạng mạch phân nhánh (có liên kết α-1,6).
✔️D – Đúng. Polybuta-1,3-diene là polymer của buta-1,3-diene, dùng làm nguyên liệu để sản xuất cao su buna (cao su tổng hợp), như: Buna-S (copolymer với styrene); Buna-N (copolymer với acrylonitrile).
Chọn đáp án D Đáp án: D
Dạng 2: TRẮC NGHIỆM ĐÚNG SAI – mỗi ý a), b), c), d) chọn đúng hoặc sai.
Câu 35 [310508]: Tơ nylon–6,6 có tính dai, mềm, óng mượt, ít thấm nước, giặt mau khô, được dùng để dệt vải may mặc, dệt bít tất, đan lưới, bện dây cáp, dây dù.
Phân tích các phát biểu:
✔️ a. Đúng. Tơ nylon-6,6 còn có tên gọi là poly(hexamethylene adipamide).
❌ b. Sai Một mắt xích của tơ nylon–6,6 có 12 nguyên tử carbon. Tơ nylon-6,6 có 12.n nguyên tử carbon.
✔️ c. Đúng. Tơ nylon–6,6 chứa liên kết amide.
✔️ d. Đúng. Tơ nylon–6,6 ứng dụng để dệt vải may mặc, vải lót săm lốp xe, dệt bít tất, đan lưới, bện dây cáp, dây dù.
✔️ a. Đúng. Tơ nylon-6,6 còn có tên gọi là poly(hexamethylene adipamide).
❌ b. Sai Một mắt xích của tơ nylon–6,6 có 12 nguyên tử carbon. Tơ nylon-6,6 có 12.n nguyên tử carbon.
✔️ c. Đúng. Tơ nylon–6,6 chứa liên kết amide.
✔️ d. Đúng. Tơ nylon–6,6 ứng dụng để dệt vải may mặc, vải lót săm lốp xe, dệt bít tất, đan lưới, bện dây cáp, dây dù.
Câu 36 [310509]: Mọi người có thể thấy polymer tồn tại trong ngành dệt may, văn phòng phẩm, bao bì, đồ chơi, xây dựng, máy bay, nhựa,… Đặc biệt, polymer đang có 4 ứng dụng nổi bật nhất trong sản xuất và đời sống đó là làm cao su, tơ, chất dẻo và keo dán.
Phân tích các phát biểu:
✔️ a. Đúng. Polybutadiene được dùng làm cao su.
✔️ b. Đúng. Poly(methyl methacrylate) được dùng làm thủy tinh hữu cơ.
❌ c. Sai. Nhựa PP, PE được dùng làm túi nylon.
✔️ d. Đúng. Poly(vinyl chloride) được dùng làm ống nước.
✔️ a. Đúng. Polybutadiene được dùng làm cao su.
✔️ b. Đúng. Poly(methyl methacrylate) được dùng làm thủy tinh hữu cơ.
❌ c. Sai. Nhựa PP, PE được dùng làm túi nylon.
✔️ d. Đúng. Poly(vinyl chloride) được dùng làm ống nước.
Câu 37 [310510]: Tơ được sử dụng trong quá trình sản xuất các đồ nội thất như vải, nệm. Đặc điểm của tơ khiến các sản phẩm này dễ làm sạch, có độ bền cao hơn, giá thành rẻ hơn nhiều so với tơ tự nhiên. Đặc biệt, chúng cũng có kết cấu và hoa văn đa dạng hơn hẳn.
Phân tích các phát biểu:
✔️ a. Đúng. Tơ nylon-6 và tơ nylon-6,6 đều thuộc loại tơ polyamide.
✔️ b. Đúng. Tơ viscose và tơ cellulose triacetate đều là tơ nhân tạo.
❌ c. Sai.

Khi tiến hành phản ứng trùng hợp vinyl cyanide, thu được polymer dùng để sản xuất tơ nitron: thành phần tơ olon như trên, không chứa nhóm -CO-NH-.
✔️ d. Đúng. Tơ tổng hợp và tơ bán tổng hợp đều thuộc loại tơ hóa học.
✔️ a. Đúng. Tơ nylon-6 và tơ nylon-6,6 đều thuộc loại tơ polyamide.
✔️ b. Đúng. Tơ viscose và tơ cellulose triacetate đều là tơ nhân tạo.
❌ c. Sai.

Khi tiến hành phản ứng trùng hợp vinyl cyanide, thu được polymer dùng để sản xuất tơ nitron: thành phần tơ olon như trên, không chứa nhóm -CO-NH-.
✔️ d. Đúng. Tơ tổng hợp và tơ bán tổng hợp đều thuộc loại tơ hóa học.
Dạng 3: TRẮC NGHIỆM YÊU CẦU TRẢ LỜI NGẮN
Câu 38 [310511]: Cho dãy gồm các tơ: (1) tơ nitron, (2) tơ tằm, (3) tơ nylon-6,6, (4) tơ nylon-6. Có bao nhiêu tơ thuộc loại tơ thiên nhiên?
Phân loại tơ:


Chỉ có tơ tằm thuộc loại tơ thiên nhiên.
⇒ Điền đáp án: 1
Câu 39 [310512]: Cho các loại tơ: (1) tơ tằm, (2) tơ nylon-6,6, (3) tơ viscose, (4) tơ acetate, (5) tơ capron. Số tơ hóa học là
Phân loại tơ:

Có (2) tơ nylon-6,6, (3) tơ viscose, (4) tơ acetate, (5) tơ capron là tơ hoá học.
⇒ Điền đáp án: 4

Có (2) tơ nylon-6,6, (3) tơ viscose, (4) tơ acetate, (5) tơ capron là tơ hoá học.
⇒ Điền đáp án: 4
Câu 40 [310513]: Trong số các loại tơ sau: tơ nitron, tơ viscose, tơ nylon-6,6; tơ lapsan. Có bao nhiêu loại tơ thuộc tơ nhân tạo (tơ bán tổng hợp)?
Tơ nhân tạo là tơ có nguồn gốc từ thiên nhiên và được con người sử dụng tạo thành tơ: tơ viscose.
⇒ Điền đáp án: 1
⇒ Điền đáp án: 1
Câu 41 [310514]: Cho dãy gồm các tơ: (1) tơ nitron, (2) tơ capron, (3) tơ viscose, (4) tơ nylon-6,6. Có bao nhiêu tơ được sản xuất từ cellulose?
Tơ viscose được sản xuất từ cellulose.
⇒ Điền đáp án: 1
⇒ Điền đáp án: 1
Câu 42 [310515]: Cho dãy gồm các vật liệu: (1) tơ nitron, (2) cao su thiên nhiên, (3) cao su buna, (4) keo dán urea-formaldehyde. Số vật liệu có tính đàn hồi là
các vật liệu cao su: (2) cao su thiên nhiên, (3) cao su buna có tính đàn hồi còn lại: (1) tơ nitron (sợi len); (4) keo dán urea-formaldehyde không có tính đàn hồi.
⇒ Điền đáp án: 2
⇒ Điền đáp án: 2
Câu 43 [1010077]: Tơ nylon-6,6 có tính dai, mềm, óng mượt, ít thấm nước, giặt mau khô, được dùng để dệt vải may mặc, dệt bít tất, đan lưới, bện dây cáp, dây dù. Polymer dùng sản xuất tơ nylon-6,6 là poly(hexamethylene adipamide). Poly(hexamethylene adipamide) được tạo thành bằng phản ứng trùng ngưng giữa hexamethylene diamine (H2N[CH2]6NH2) và adipic acid (HOOC[CH2]4COOH). Phần trăm khối lượng của nitrogen trong poly(hexamethylene adipamide) bằng a%. Giá trị của a bằng bao nhiêu (làm tròn kết quả đến hàng phần mười)?
Poly(hexamethylene adipamide) là (-OC[CH2]4CONH[CH2]6NH-)n
Phân tử khối = 226 amu
Ta có phần trăm khối lượng của N là:
% N = 28/226 = 12,4%
Điền đáp án: 12,4
Phân tử khối = 226 amu
Ta có phần trăm khối lượng của N là:
% N = 28/226 = 12,4%
Điền đáp án: 12,4
Dạng 4: TỰ LUẬN
Câu 44 [1010410]: [CD-SGK] Vì sao không nên dùng xà phòng có độ kiềm cao để giặt quần áo làm bằng nylon, len, tơ tằm và không nên giặt bằng nước quá nóng hoặc là (ủi) quá nóng các đồ dùng trên?
Nylon, len, tơ tằm đều có các nhóm CO-NH trong phân tử. Vì vậy, các loại tơ này dễ bị thuỷ phân trong môi trường kiềm và acid. Do đó, độ bền của quần áo làm bằng các loại tơ này sẽ bị giảm đi khi giặt bằng xà phòng có độ kiềm cao.
Nylon, len, tơ tằm kém bền với nhiệt nên không được giặt chúng bằng nước quá nóng, không là (ủi) quá nóng.
Nylon, len, tơ tằm kém bền với nhiệt nên không được giặt chúng bằng nước quá nóng, không là (ủi) quá nóng.
Câu 45 [1010411]: [CTST - SBT] Keo dán 502 là keo dán thông dụng dùng để dán nhiều loại vật liệu khác nhau. Thành phần chính của loại keo dán này là một loại polymer có tên là poly(methyl α-cyanoacrylate) . Monomer để điều chế polymer này có công thức CH2=C(CN)COOCH3. Xác định công thức cấu tạo của polymer này.
Phương trình tổng hợp polymer là:


Câu 46 [1010412]: [CTST - SBT] Cao su chloroprene có thể tổng hợp từ acelylene theo sơ đồ
Acelylene
vinyl acelylene
chloroprene
cao su chloroprene
a) Xác định công thức cấu tạo của vinyl acetylene
b) Cần bao nhiêu tấn chloroprene để sản xuất 1 tấn cao su chloroprene ? Giả sử hiệu suất của phản ứng trùng hợp là 78%.
Acelylene
vinyl acelylene
chloroprene
cao su chloroprenea) Xác định công thức cấu tạo của vinyl acetylene
b) Cần bao nhiêu tấn chloroprene để sản xuất 1 tấn cao su chloroprene ? Giả sử hiệu suất của phản ứng trùng hợp là 78%.
a, Các phản ứng:

b, Ta có:
Số mol cao su thu được là:
n cao su = m : M = 1 : 88,5 (mol)
n chloroprene = n cao su = 1 : 88,5 : 78% (mol)
Khối lượng chloroprene cần là:
m = n × M = 1 : 88,5 : 78% × 88,5 = 1,28 (tấn)

b, Ta có:
Số mol cao su thu được là:
n cao su = m : M = 1 : 88,5 (mol)
n chloroprene = n cao su = 1 : 88,5 : 78% (mol)
Khối lượng chloroprene cần là:
m = n × M = 1 : 88,5 : 78% × 88,5 = 1,28 (tấn)
Câu 47 [1010078]: Trong những năm 30 của thế kỉ XX, các nhà khoa học của hãng DuPont(Mỹ) đã thông báo phát minh ra một loại vật liệu “mỏng hơn tơ nhện, bền hơn thép và đẹp hơnlụa”. Theo thời gian, vật liệu này đã có mặt trong cuộc sống hàng ngày của con người, phổ biếntrong các sản phẩm như lốp xe, dù, quần áo, tất... Một trong số vật liệu đó là tơ nylon-6 có ứngdụng dùng làm chỉ khâu phẫu thuật. Một hộp chỉ CARELON 7/10 có chứa 12 sợi chỉ, mỗi sợichỉ nặng 0,1664 gam.
a) Viết phương trình hóa học điều chế tơ nylon-6 từ ɛ-aminocaproic acid.
b) Giả sử hiệu suất quá trình tổng hợp nylon-6 là 80%. Tính khối lượng ɛ-aminocaproic acid (gam) cần dùng để sản xuất 2 triệu hộp chỉ CARELON 7/10.
a) Viết phương trình hóa học điều chế tơ nylon-6 từ ɛ-aminocaproic acid.
b) Giả sử hiệu suất quá trình tổng hợp nylon-6 là 80%. Tính khối lượng ɛ-aminocaproic acid (gam) cần dùng để sản xuất 2 triệu hộp chỉ CARELON 7/10.
m nilon-6 = 2.106 × 12 × 0,1664 = 3993600 (g) = 3993,6 (kg)
Số mol acid là :
n acid = n1 mat xich nylon-6 = 3393,6 : 113 = 35, 34 (kmol)
⟶ m acid = 35,34.131 = 4629,54 (kg)
Điền đáp án: 4630
Số mol acid là :
n acid = n1 mat xich nylon-6 = 3393,6 : 113 = 35, 34 (kmol)
⟶ m acid = 35,34.131 = 4629,54 (kg)
Điền đáp án: 4630