Dạng 1. TRẮC NGHIỆM KHÁCH QUAN: mỗi câu hỏi chỉ có một đáp án đúng.
Câu 1 [309554]: Dãy nào gồm các polymer có cấu trúc mạch phân nhánh?
A, Nhựa resol; cao su lưu hóa.
B, Amylopectin; glycogen.
C, Tơ nylon-6,6; tơ lapsan; tơ olon.
D, Cao su buna-S; cellulose; PS.
Polymer có cấu trúc mạch phân nhánh: amylopectin; glycogen,…
Polymer có cấu trúc mạch không gian: nhựa bakelite, cao su lưu hóa,…
Các polymer còn lại hầu hết sẽ có mạch không phân nhánh. Đáp án: B
Polymer có cấu trúc mạch không gian: nhựa bakelite, cao su lưu hóa,…
Các polymer còn lại hầu hết sẽ có mạch không phân nhánh. Đáp án: B
Câu 2 [309555]: Polymer nào dưới đây có cấu trúc mạng lưới không gian?
A, Cao su lưu hóa.
B, Polyethylene.
C, Amylopectin.
D, Poly(vinyl chloride).
Polymer có cấu trúc mạch phân nhánh: amylopectin; glycogen,…

Polymer có cấu trúc mạch không gian: nhựa bakelite, cao su lưu hóa,…

Các polymer còn lại hầu hết sẽ có mạch không phân nhánh.
⇒ Chọn đáp án A Đáp án: A

Polymer có cấu trúc mạch không gian: nhựa bakelite, cao su lưu hóa,…

Các polymer còn lại hầu hết sẽ có mạch không phân nhánh.
⇒ Chọn đáp án A Đáp án: A
Câu 3 [309556]: Quá trình nào sau đây giữ nguyên mạch carbon của polymer?
A, Depolymer hóa polystyren.
B, Thủy phân cellulose.
C, Hydrochloride hóa polyisoprene.
D, Thủy phân tơ nylon-6,6.
Phản ứng hydrochloride hóa polyisoprene cộng phân tử HCl vào nối đôi C=C, không ảnh hưởng đến mạch carbon. Đáp án: C
Câu 4 [309557]: Đun nóng polymer
với dung dịch HCl loãng, sau phản ứng thu được sản phẩm là
với dung dịch HCl loãng, sau phản ứng thu được sản phẩm là A, CH2=CH2 và CH3COOH.
B,
và CH3OH.
và CH3OH.C,
và CH3COOH.
và CH3COOH.D, CH3CH2OH và CH3COOH.
Phản ứng xảy ra:
Đáp án: C
Đáp án: C
Câu 5 [309558]: Cho phản ứng sau:

Phản ứng cho trên có tên là

Phản ứng cho trên có tên là
A, Phản ứng phân cắt mạch polymer.
B, Phản ứng tăng mạch polymer.
C, Phản ứng giữ nguyên mạch polymer.
D, Phản ứng trùng ngưng.
Các “nhóm thế” đính vào mạch polymer có thể tham gia các phản ứng mà không làm thay
đổi mạch polymer. Đáp án: C
Câu 6 [1010041]: Cho phản ứng hóa học sau:

Phản ứng trên thuộc loại phản ứng nào sau đây?

Phản ứng trên thuộc loại phản ứng nào sau đây?
A, Phản ứng cắt mạch polymer.
B, Phản ứng tăng mạch polymer.
C, Phản ứng trùng ngưng.
D, Phản ứng giữ nguyên mạch polymer.
Chất đầu: Một polymer có nối đôi liên hợp hoặc liên kết ba → chứa liên kết π (có thể cộng).
Sản phẩm: Polymer mới có thêm các nguyên tử H và Cl vào các vị trí của liên kết đôi, nhưng không thay đổi chiều dài mạch chính (vẫn là n mắc xích, không thêm, không cắt).
Phân tích các đáp án:
+ Không phải cắt mạch (A): Không phá vỡ mạch polymer.
+ Không tăng mạch (B): Không nối thêm đơn vị monomer nào.
+ Không phải trùng ngưng (C): Trùng ngưng là phản ứng hình thành polymer từ monomer kèm theo giải phóng phân tử nhỏ (như nước, HCl), ở đây polymer đã có sẵn và không tạo thêm polymer mới.
✅ Chính là phản ứng giữ nguyên mạch polymer (D): chỉ biến đổi hóa học trên mạch mà không thay đổi chiều dài chuỗi.
Chọn đáp án D Đáp án: D
Sản phẩm: Polymer mới có thêm các nguyên tử H và Cl vào các vị trí của liên kết đôi, nhưng không thay đổi chiều dài mạch chính (vẫn là n mắc xích, không thêm, không cắt).
Phân tích các đáp án:
+ Không phải cắt mạch (A): Không phá vỡ mạch polymer.
+ Không tăng mạch (B): Không nối thêm đơn vị monomer nào.
+ Không phải trùng ngưng (C): Trùng ngưng là phản ứng hình thành polymer từ monomer kèm theo giải phóng phân tử nhỏ (như nước, HCl), ở đây polymer đã có sẵn và không tạo thêm polymer mới.
✅ Chính là phản ứng giữ nguyên mạch polymer (D): chỉ biến đổi hóa học trên mạch mà không thay đổi chiều dài chuỗi.
Chọn đáp án D Đáp án: D
Câu 7 [1010042]: Phản ứng của polyisoprene với bromine xảy ra theo phương trình hóa học sau:

Phản ứng trên thuộc loại phản ứng

Phản ứng trên thuộc loại phản ứng
A, cắt mạch polymer.
B, giữ nguyên mạch polymer.
C, tăng mạch polymer.
D, trùng hợp polymer.
Chất đầu: Polyisoprene — một polyme có liên kết đôi C=C trong mạch.
Sản phẩm: Mạch polymer vẫn giữ nguyên, nhưng mỗi mắc xích có chứa 2 nguyên tử brom gắn vào vị trí liên kết đôi → phản ứng cộng không cắt mạch và không nối thêm mắc xích mới.
- Không phải phản ứng trùng hợp → vì không hình thành polymer mới từ monomer.
- Không cắt mạch → không phá vỡ liên kết trong chuỗi polymer.
- Không tăng mạch → không làm polymer dài hơn.
- Chỉ thêm nhóm thế vào mắc xích mà vẫn giữ nguyên cấu trúc chuỗi → đây là phản ứng giữ nguyên mạch polymer.
Chọn đáp án B Đáp án: B
Sản phẩm: Mạch polymer vẫn giữ nguyên, nhưng mỗi mắc xích có chứa 2 nguyên tử brom gắn vào vị trí liên kết đôi → phản ứng cộng không cắt mạch và không nối thêm mắc xích mới.
- Không phải phản ứng trùng hợp → vì không hình thành polymer mới từ monomer.
- Không cắt mạch → không phá vỡ liên kết trong chuỗi polymer.
- Không tăng mạch → không làm polymer dài hơn.
- Chỉ thêm nhóm thế vào mắc xích mà vẫn giữ nguyên cấu trúc chuỗi → đây là phản ứng giữ nguyên mạch polymer.
Chọn đáp án B Đáp án: B
Câu 8 [309559]: Chất bị thủy phân trong môi trường kiềm là
A, polyethylene.
B, tinh bột.
C, Gly-Ala-Gly.
D, saccharose.
Phân tích các đáp án:
❌A. Polyethylene có cấu trúc chỉ chứa các liên kết C-C và C-H nên Polyethylene rất bền trong môi trường kiềm và không bị thủy phân.
❌B. Tinh bột là một polysaccharide gồm các đơn vị glucose liên kết với nhau bằng liên kết glycosidic (liên kết ester giữa các nhóm hydroxyl) nên thuỷ phân trong môi trường acid, không bị thuỷ phân trong môi trường kiềm.
✔️C. Gly-Ala-Gly là một tripeptide, với các đơn vị amino acid Glycine (Gly) và Alanine (Ala) liên kết với nhau qua liên kết peptide (liên kết amide). Trong môi trường kiềm, liên kết peptide có thể bị thủy phân, phá vỡ các liên kết giữa các amino acid.
❌D. Saccharose là disaccharide, liên kết giữa glucose và fructose qua liên kết glycosidic nên có thể bị thủy phân trong môi trường acid,không bị thuỷ phân trong môi trường kiềm.
⇒ Chọn đáp án C Đáp án: C
❌A. Polyethylene có cấu trúc chỉ chứa các liên kết C-C và C-H nên Polyethylene rất bền trong môi trường kiềm và không bị thủy phân.
❌B. Tinh bột là một polysaccharide gồm các đơn vị glucose liên kết với nhau bằng liên kết glycosidic (liên kết ester giữa các nhóm hydroxyl) nên thuỷ phân trong môi trường acid, không bị thuỷ phân trong môi trường kiềm.
✔️C. Gly-Ala-Gly là một tripeptide, với các đơn vị amino acid Glycine (Gly) và Alanine (Ala) liên kết với nhau qua liên kết peptide (liên kết amide). Trong môi trường kiềm, liên kết peptide có thể bị thủy phân, phá vỡ các liên kết giữa các amino acid.
❌D. Saccharose là disaccharide, liên kết giữa glucose và fructose qua liên kết glycosidic nên có thể bị thủy phân trong môi trường acid,không bị thuỷ phân trong môi trường kiềm.
⇒ Chọn đáp án C Đáp án: C
Câu 9 [1010043]: Polymer nào dưới đây có thể bị thủy phân cắt mạch polymer?
A, Cao su.
B, Polyethylene.
C, Polypropylene.
D, Tinh bột.
Tinh bột là polymer thiên nhiên được tạo thành từ nhiều đơn vị glucose liên kết với nhau bằng liên kết glycosid (C–O–C).
→ Các liên kết này có thể bị thủy phân (bởi nước, axit hoặc enzyme như amylase), cắt đứt mạch polymer.
Cao su, polyethylene, polypropylene là polyme mạch không phân cực, được tạo thành từ các liên kết C–C và C–H bền vững, không dễ bị thủy phân trong điều kiện thường.
Chọn đáp án D Đáp án: D
→ Các liên kết này có thể bị thủy phân (bởi nước, axit hoặc enzyme như amylase), cắt đứt mạch polymer.
Cao su, polyethylene, polypropylene là polyme mạch không phân cực, được tạo thành từ các liên kết C–C và C–H bền vững, không dễ bị thủy phân trong điều kiện thường.
Chọn đáp án D Đáp án: D
Câu 10 [1010044]: Polymer nào dưới đây có thể bị thủy phân cắt mạch polymer?
A, Tinh bột.
B, PE.
C, PP.
D, cao su.
Tinh bột là polymer thiên nhiên được tạo thành từ nhiều đơn vị glucose liên kết với nhau bằng liên kết glycosid (C–O–C).
→ Các liên kết này có thể bị thủy phân (bởi nước, axit hoặc enzyme như amylase), cắt đứt mạch polymer.
Cao su, polyethylene, polypropylene là polyme mạch không phân cực, được tạo thành từ các liên kết C–C và C–H bền vững, không dễ bị thủy phân trong điều kiện thường.
Chọn đáp án A Đáp án: A
→ Các liên kết này có thể bị thủy phân (bởi nước, axit hoặc enzyme như amylase), cắt đứt mạch polymer.
Cao su, polyethylene, polypropylene là polyme mạch không phân cực, được tạo thành từ các liên kết C–C và C–H bền vững, không dễ bị thủy phân trong điều kiện thường.
Chọn đáp án A Đáp án: A
Câu 11 [1010045]: Polymer nào dưới đây không bị thủy phân cắt mạch polymer?
A, cellulose.
B, PVC.
C, Capron.
D, Tơ tằm.
Phân tích các đáp án:
❌A. Cellulose:
Là polymer thiên nhiên cấu tạo từ nhiều đơn vị glucose liên kết bằng liên kết (C–O–C).
→ Có thể bị thủy phân (bởi acid mạnh hoặc enzyme).
✔️B. PVC (Polyvinyl chloride):
Là polymer tổng hợp có mạch chính chỉ gồm các liên kết C–C và C–H, rất bền.
→ Không bị thủy phân cắt mạch.
❌C. Capron (hay Nylon-6):
Là polyamide, chứa liên kết -CO-NH- trong mạch.
→ Có thể bị thủy phân bởi acid hoặc base mạnh, cắt tại liên kết amide.
❌D. Tơ tằm:
Là protein thiên nhiên, bản chất là polyamide, có các liên kết peptide (-CO-NH-).
→ Bị thủy phân bởi enzyme hoặc acid/base. Đáp án: B
❌A. Cellulose:
Là polymer thiên nhiên cấu tạo từ nhiều đơn vị glucose liên kết bằng liên kết (C–O–C).
→ Có thể bị thủy phân (bởi acid mạnh hoặc enzyme).
✔️B. PVC (Polyvinyl chloride):
Là polymer tổng hợp có mạch chính chỉ gồm các liên kết C–C và C–H, rất bền.
→ Không bị thủy phân cắt mạch.
❌C. Capron (hay Nylon-6):
Là polyamide, chứa liên kết -CO-NH- trong mạch.
→ Có thể bị thủy phân bởi acid hoặc base mạnh, cắt tại liên kết amide.
❌D. Tơ tằm:
Là protein thiên nhiên, bản chất là polyamide, có các liên kết peptide (-CO-NH-).
→ Bị thủy phân bởi enzyme hoặc acid/base. Đáp án: B
Câu 12 [309561]: Polymer nào sau đây không bị thủy phân trong môi trường kiềm?
A, Poly(vinyl acetate).
B, Tơ nilon-6,6.
C, Tơ capron.
D, Cao su thiên nhiên.
Cao su không bị thủy phân trong môi trường kiềm vì cấu trúc của nó không chứa các nhóm chức có thể bị thủy phân (như ester hoặc amid), mà chỉ gồm chuỗi hydrocarbon không phân cực.
⇒ Chọn đáp án D Đáp án: D
⇒ Chọn đáp án D Đáp án: D
Câu 13 [1010046]: Cho phản ứng hóa học:

Phản ứng trên thuộc loại phản ứng nào sau đây?

Phản ứng trên thuộc loại phản ứng nào sau đây?
A, Phản ứng cắt mạch polymer.
B, Phản ứng tăng mạch polymer.
C, Phản ứng trùng ngưng.
D, Phản ứng giữ nguyên mạch polymer.
Khi nhiệt phân (thường > 400oC, không có oxygen), các liên kết C–C trong mạch chính bị bẻ gãy.
Quá trình này làm cho chuỗi polymer bị cắt thành các đoạn nhỏ hơn, hoặc trở về monomer và các phân tử nhỏ khác.
⟹ Chọn đáp án A Đáp án: A
Quá trình này làm cho chuỗi polymer bị cắt thành các đoạn nhỏ hơn, hoặc trở về monomer và các phân tử nhỏ khác.
⟹ Chọn đáp án A Đáp án: A
Câu 14 [1010047]: Phản ứng thủy phân capron xảy ra theo phương trình hóa học sau:

Phản ứng trên thuộc loại phản ứng

Phản ứng trên thuộc loại phản ứng
A, cắt mạch polymer.
B, tăng mạch polymer.
C, trùng hợp polymer.
D, giữ nguyên mạch polymer.
Capron (hay nylon-6) là một loại polyamide, được tạo ra từ ε-caprolactam (một hợp chất vòng có 6 nguyên tử C). Khi thủy phân, capron cũng bị cắt mạch giống như các polyamide khác.
⟹ Chọn đáp án A Đáp án: A
⟹ Chọn đáp án A Đáp án: A
Câu 15 [309729]: Trong các phản ứng sau, phản ứng nào làm giảm mạch carbon?
A, Poly(vinyl chloride) + Cl2.
B, Cao su thiên nhiên + HCl.
C, Poly(vinyl acetate) + H2O.
D, Amylose + H2O.
A. [−CH2−CH(Cl)−]n + nCl2 −to→ [−CH2−C(Cl)2−]n + nHCl
⇒ phản ứng giữ nguyên mạch polymer.
B. Cao su thiên nhiên là polymer của isoprene [-CH2-C(CH3)=CH-CH2-]n.
[−CH2−C(CH3)=CH−CH2−]n + HCl −to→ [−CH2−C(CH3)(Cl)−CH2−CH2−]n
⇒ phản ứng giữ nguyên mạch polymer.
C. [−CH2−CH(OOCCH3)−]n + nH2O −OH−, to→ [−CH2-CH(OH)−]n + nCH3COOH
⇒ phản ứng giữ nguyên mạch polymer.
D. Amylose là polysaccharide, gồm các gốc α-glucose nối với nhau bởi liên kết α-1,4-glycosidic → chuỗi không phân nhánh.
(C6H10O5)n (amylose) + nH2O −H+, to→ nC6H12O6 (glucose)
⇒ phản ứng phân cắt mạch polymer làm giảm mạch carbon. Đáp án: D
⇒ phản ứng giữ nguyên mạch polymer.
B. Cao su thiên nhiên là polymer của isoprene [-CH2-C(CH3)=CH-CH2-]n.
[−CH2−C(CH3)=CH−CH2−]n + HCl −to→ [−CH2−C(CH3)(Cl)−CH2−CH2−]n
⇒ phản ứng giữ nguyên mạch polymer.
C. [−CH2−CH(OOCCH3)−]n + nH2O −OH−, to→ [−CH2-CH(OH)−]n + nCH3COOH
⇒ phản ứng giữ nguyên mạch polymer.
D. Amylose là polysaccharide, gồm các gốc α-glucose nối với nhau bởi liên kết α-1,4-glycosidic → chuỗi không phân nhánh.
(C6H10O5)n (amylose) + nH2O −H+, to→ nC6H12O6 (glucose)
⇒ phản ứng phân cắt mạch polymer làm giảm mạch carbon. Đáp án: D
Câu 16 [309730]: Khi chúng ta ăn các thực phẩm có chứa chất béo, tinh bột hoặc protein thì phản ứng hoá học xảy ra đầu tiên của các loại thực phẩm trên trong cơ thể là phản ứng
A, thuỷ phân.
B, oxi hoá.
C, khử.
D, polymer hoá.
Vì cơ thể chúng ta không thể chuyển hóa được các chất có cấu trúc phức tạp như protein, tinh bột hay chất béo mà cần được cắt nhỏ thành những phân tử nhỏ hơn : đường đơn, amino acid, acid béo,....để dễ chuyển hóa. Các chất này có vai trò cung cấp năng lượng và xây dựng các cấu trúc cơ thể. Chúng được hấp thụ chủ yếu ở ruột non, rồi theo máu hoặc bạch huyết đến các cơ quan để sử dụng.Quá trình cắt nhỏ là quá trình thủy phân.
⇒ Chọn đáp án A Đáp án: A
⇒ Chọn đáp án A Đáp án: A
Câu 17 [309737]: Giải trùng hợp polymer có cấu tạo

ta sẽ thu được monome nào sau đây?

ta sẽ thu được monome nào sau đây?
A, 2-Methyl–3–phenylbut-2-ene.
B, 2–Methyl–3–phenylbutane.
C, Propylene và styrene.
D, Isoprene và toluene.
Đây là cấu trúc của một đồng trùng hợp giữa propylene (CH2=CH-CH3) và styrene (C6H5CH=CH2).
Nên khi giải trùng hợp polymer này, các monomer thu được là:
+ Propylene (CH2=CH-CH3)
+ Styrene (C6H5CH=CH2).
⟹ Chọn đáp án C Đáp án: C
Nên khi giải trùng hợp polymer này, các monomer thu được là:
+ Propylene (CH2=CH-CH3)
+ Styrene (C6H5CH=CH2).
⟹ Chọn đáp án C Đáp án: C
Câu 18 [309739]: Phản ứng lưu hóa cao su thuộc loại phản ứng
A, depolymer hóa.
B, giảm mạch polymer.
C, giữ nguyên mạch polymer.
D, tăng mạch polymer.
Phân tích các phát biểu:
❌A. depolymer hóa: Depolymer hóa là quá trình phân hủy polymer thành các monome nhỏ hơn. Phản ứng lưu hóa cao su không phải là phản ứng depolymer hóa.
❌A. depolymer hóa: Depolymer hóa là quá trình phân hủy polymer thành các monome nhỏ hơn. Phản ứng lưu hóa cao su không phải là phản ứng depolymer hóa.
❌B. giảm mạch polymer: Phản ứng lưu hóa cao su không làm giảm mạch polymer. Thay vào đó, nó tạo ra các liên kết chéo giữa các mạch polymer, làm tăng kích thước và độ phức tạp của phân tử.
❌C. giữ nguyên mạch polymer: Phản ứng lưu hóa cao su làm thay đổi cấu trúc của mạch polymer bằng cách tạo ra các liên kết chéo.
✔️D. tăng mạch polymer : Phản ứng lưu hóa cao su tạo ra các liên kết chéo giữa các mạch polymer, làm tăng kích thước và độ phức tạp của phân tử.
⟹ Chọn đáp án D
Đáp án: D ⟹ Chọn đáp án D
Câu 19 [309747]: Tính chất hoá học nào sau đây không phải tính chất hoá học của polymer?
A, Phản ứng phân cắt mạch carbon.
B, Phản ứng giữ nguyên mạch polymer.
C, Phản ứng tăng mạch polymer.
D, Phản ứng trùng hợp.
Các polymer được điều chế bằng phản ứng trùng hợp nên sẽ có khả năng bị nhiệt phân hoàn toàn
ở nhiệt độ thích hợp tạo thành các monomer ban đầu, gọi là phản ứng giải trùng hợp. Đáp án: D
Câu 20 [309741]: Trong các phản ứng sau, phản ứng nào tăng mạch polymer?
A, Poly(vinyl acetate) + nH2O
poly(vinyl alcohol) + nCH3COOH.
poly(vinyl alcohol) + nCH3COOH.B, Polystyrene
n.Styrene.
n.Styrene.C, Cao su thiên nhiên + nHCl
cao su hydrochloride.
cao su hydrochloride.D, Nhựa resol
nhựa Bakelite + nH2O.
nhựa Bakelite + nH2O.
A. Poly(vinyl acetate) + nH2O
poly(vinyl alcohol) + nCH3COOH.
→ Phản ứng thuỷ phân không làm tăng mạch polymer mà chỉ thay đổi nhóm thế (acetate thành hydroxyl) → Không có sự tăng mạch polymer trong phản ứng này.
B. Polystyrene
n.Styrene.
→ Phản ứng này làm giảm mạch polymer vì polymer bị phân cắt thành các monomer
C. Cao su thiên nhiên + nHCl
cao su hydrochloride.
→ Phản ứng này chỉ thay đổi tính chất của polymer nhưng không làm tăng hay giảm mạch polymer.
D. Nhựa resol
nhựa Bakelite + nH2O.
→ Phản ứng này làm tăng liên kết giữa các chuỗi polymer, dẫn đến sự hình thành một polymer ba chiều cứng chắc (Bakelite). Do đó, phản ứng này tăng mạch polymer.
Đáp án: D
poly(vinyl alcohol) + nCH3COOH.→ Phản ứng thuỷ phân không làm tăng mạch polymer mà chỉ thay đổi nhóm thế (acetate thành hydroxyl) → Không có sự tăng mạch polymer trong phản ứng này.
B. Polystyrene
n.Styrene.→ Phản ứng này làm giảm mạch polymer vì polymer bị phân cắt thành các monomer
C. Cao su thiên nhiên + nHCl
cao su hydrochloride.→ Phản ứng này chỉ thay đổi tính chất của polymer nhưng không làm tăng hay giảm mạch polymer.
D. Nhựa resol
nhựa Bakelite + nH2O.→ Phản ứng này làm tăng liên kết giữa các chuỗi polymer, dẫn đến sự hình thành một polymer ba chiều cứng chắc (Bakelite). Do đó, phản ứng này tăng mạch polymer.
Đáp án: D
Dạng 2: TRẮC NGHIỆM ĐÚNG SAI – mỗi ý a), b), c), d) chọn đúng hoặc sai.
Câu 21 [309773]: Polyisoprene phản ứng với hydrogen chloride (HCl) theo phương trình dưới đây:
Phân tích các phát biểu:
✔️ a. Đúng. Phản ứng không làm thay đổi mạch carbon vì HCl chỉ tham gia cộng vào liên kết đôi C=C chứ không làm thay đổi số lượng hoặc các liên kết giữa các nguyên tử carbon trong mạch chính của polymer.
✔️ b. Đúng. Số lượng carbon trong polymer không thay đổi.
❌ c. Sai. Mỗi mắt xích của phân tử polyisoprene chứa 5 nguyên tử carbon. Mỗi phân tử polyisoprene sẽ chứa 5n nguyên tử carbon.
✔️ d. Đúng. Một mắt xích phản ứng tối đa được với 1 phân tử HCl.
✔️ a. Đúng. Phản ứng không làm thay đổi mạch carbon vì HCl chỉ tham gia cộng vào liên kết đôi C=C chứ không làm thay đổi số lượng hoặc các liên kết giữa các nguyên tử carbon trong mạch chính của polymer.
✔️ b. Đúng. Số lượng carbon trong polymer không thay đổi.
❌ c. Sai. Mỗi mắt xích của phân tử polyisoprene chứa 5 nguyên tử carbon. Mỗi phân tử polyisoprene sẽ chứa 5n nguyên tử carbon.
✔️ d. Đúng. Một mắt xích phản ứng tối đa được với 1 phân tử HCl.
Câu 22 [310267]: Các polymer được điều chế bằng phản ứng trùng hợp sẽ có khả năng bị nhiệt phân hoàn toàn ở nhiệt độ thích hợp tạo thành các monomer ban đầu, gọi là phản ứng giải trùng hợp hay depolymer hóa, ví dụ:
Phân tích các phát biểu:
✔️ a. Đúng. Phản ứng depolymer hóa cắt mạch polymer tạo thành monomer ban đầuvà làm giảm carbon.
✔️ b. Đúng. Phản ứng giải trùng hợp giúp tái tạo monomer ban đầu.
❌ c. Sai. Polymer gồm nhiều monomer nên tổng số nguyên tử carbon của polymer lớn hơn từng monomer. Không thể bằng nhau được.
❌ d. Sai. Mỗi monomer styrene đã có 8 nguyên tử carbon (6 trong vòng benzene + 2 ngoài mạch chính). Polymer gồm nhiều monomer → số C lớn hơn 8.
✔️ a. Đúng. Phản ứng depolymer hóa cắt mạch polymer tạo thành monomer ban đầuvà làm giảm carbon.
✔️ b. Đúng. Phản ứng giải trùng hợp giúp tái tạo monomer ban đầu.
❌ c. Sai. Polymer gồm nhiều monomer nên tổng số nguyên tử carbon của polymer lớn hơn từng monomer. Không thể bằng nhau được.
❌ d. Sai. Mỗi monomer styrene đã có 8 nguyên tử carbon (6 trong vòng benzene + 2 ngoài mạch chính). Polymer gồm nhiều monomer → số C lớn hơn 8.
Câu 23 [310306]: Ở điều kiện thích hợp (về nhiệt độ, áp suất và có mặt xúc tác), các mạch polymer có thể phản ứng với nhau để tạo thành mạch dài hơn hoặc tạo thành mạng lưới (như phản ứng lưu hoá cao su). Lưu hóa cao su: tạo ra các cầu nối –S–S– giữa các phân tử polymer thành mạng lưới không gian. Phản ứng xảy ra ở nhiệt độ khoảng 150oC, cấu trúc tại mắt xích có cầu nối như bên.
Phân tích các phát biểu:
✔️ a. Đúng. Cầu nối –S–S– giúp liên kết các phân tử polymer thành phân tử polymer lớn hơn, hình thành mạng lưới polymer bền hơn.
✔️ b. Đúng. Quá trình lưu hóa chủ yếu liên quan đến việc tạo liên kết giữa các mạch polymer thông qua các nguyên tử lưu huỳnh và làm tăng chiều dài mạch polymer.
✔️ c. Đúng. Số lượng cầu nối càng nhiều, phân tử polymer tạo thành càng lớn.
❌ d. Sai. Ở nhiệt độ quá cao, phản ứng có thể dẫn đến sự phá vỡ của chuỗi polymer (quá trình phân hủy nhiệt), dẫn đến việc giảm kích thước phân tử thay vì tăng lên.
✔️ a. Đúng. Cầu nối –S–S– giúp liên kết các phân tử polymer thành phân tử polymer lớn hơn, hình thành mạng lưới polymer bền hơn.
✔️ b. Đúng. Quá trình lưu hóa chủ yếu liên quan đến việc tạo liên kết giữa các mạch polymer thông qua các nguyên tử lưu huỳnh và làm tăng chiều dài mạch polymer.
✔️ c. Đúng. Số lượng cầu nối càng nhiều, phân tử polymer tạo thành càng lớn.
❌ d. Sai. Ở nhiệt độ quá cao, phản ứng có thể dẫn đến sự phá vỡ của chuỗi polymer (quá trình phân hủy nhiệt), dẫn đến việc giảm kích thước phân tử thay vì tăng lên.
Dạng 3: TRẮC NGHIỆM YÊU CẦU TRẢ LỜI NGẮN
Câu 24 [310454]: Cho dãy gồm các polymer: (1) poly(vinyl chloride), (2) poly(hexamethylen adipamide), (3) poly(ethylen terephthalate), (4) cellulose. Polymer không bị thủy phân trong môi trường acid là
Sự thủy phân của polymer trong môi trường axit phụ thuộc vào loại liên kết trong cấu trúc polymer. Một số loại polymer có thể bị thủy phân trong môi trường acid như: polyester; polyamide; polysaccharide; polypeptide
Polymer không bị thủy phân trong môi trường acid là poly(vinyl chloride).
Xét từng polymer trong dãy:
✔️Poly(vinyl chloride) - PVC (1)
Cấu trúc: (-CH2-CHCl-)n
Là polymer chuỗi carbon no, không có liên kết dễ bị thủy phân.
Không bị thủy phân trong môi trường acid.
❌Poly(hexamethylen adipamide) - Nylon-6,6 (2)
Có liên kết amide (-CONH-), dễ bị thủy phân trong môi trường acid.
❌Poly(ethylen terephthalate) - PET (3)
Có liên kết ester (-COO-), bị thủy phân trong môi trường acid.
❌Cellulose (4)
Là polysaccharide với liên kết glycosid (-O-), bị thủy phân trong môi trường acid.
⟹ Điền đáp án: 1
Polymer không bị thủy phân trong môi trường acid là poly(vinyl chloride).
Xét từng polymer trong dãy:
✔️Poly(vinyl chloride) - PVC (1)
Cấu trúc: (-CH2-CHCl-)n
Là polymer chuỗi carbon no, không có liên kết dễ bị thủy phân.
Không bị thủy phân trong môi trường acid.
❌Poly(hexamethylen adipamide) - Nylon-6,6 (2)
Có liên kết amide (-CONH-), dễ bị thủy phân trong môi trường acid.
❌Poly(ethylen terephthalate) - PET (3)
Có liên kết ester (-COO-), bị thủy phân trong môi trường acid.
❌Cellulose (4)
Là polysaccharide với liên kết glycosid (-O-), bị thủy phân trong môi trường acid.
⟹ Điền đáp án: 1
Câu 25 [310455]: Cho dãy gồm các polymer: (1) polybutadiene, (2) polyacrylonitrile, (3) poly(vinyl chloride), (4) poly(hexamethylen adipamide). Polymer bị thuỷ phân trong môi trường acid là
Phân tích cấu tạo các polymer:
(1) Polybutadiene là một polymer tổng hợp có cấu trúc đơn vị butadiene (CH2=CH−CH=CH2) có các liên kết C-C và C-H, rất bền và không dễ bị thủy phân trong môi trường acid.
(2) Polyacrylonitrile là polymer có cấu trúc từ acrylonitrile C-C và nitrile (-CN) và các liên kết này cũng không bị thủy phân dễ dàng trong môi trường acid.
(3) Poly(vinyl chloride) (PVC) là một polymer tổng hợp có cấu trúc đơn vị vinyl chloride (CH2=CHCl) viuws liên kết C-C và C-Cl rất bền nên không dễ bị thủy phân trong môi trường acid.
(4) Poly(hexamethylen adipamide) (Nylon-6,6) là một polyamide chứa các liên kết amide (-CONH-) có thể bị thủy phân trong môi trường acid, dẫn đến sự phân hủy của polymer thành các monomer acid và amine.
→ Chỉ có Poly(hexamethylen adipamide) bị thủy phân trong môi trường acid.
⇒ Điền đáp án: 1
(1) Polybutadiene là một polymer tổng hợp có cấu trúc đơn vị butadiene (CH2=CH−CH=CH2) có các liên kết C-C và C-H, rất bền và không dễ bị thủy phân trong môi trường acid.
(2) Polyacrylonitrile là polymer có cấu trúc từ acrylonitrile C-C và nitrile (-CN) và các liên kết này cũng không bị thủy phân dễ dàng trong môi trường acid.
(3) Poly(vinyl chloride) (PVC) là một polymer tổng hợp có cấu trúc đơn vị vinyl chloride (CH2=CHCl) viuws liên kết C-C và C-Cl rất bền nên không dễ bị thủy phân trong môi trường acid.
(4) Poly(hexamethylen adipamide) (Nylon-6,6) là một polyamide chứa các liên kết amide (-CONH-) có thể bị thủy phân trong môi trường acid, dẫn đến sự phân hủy của polymer thành các monomer acid và amine.
→ Chỉ có Poly(hexamethylen adipamide) bị thủy phân trong môi trường acid.
⇒ Điền đáp án: 1
Câu 26 [310456]: Cho dãy polymer: polyethylene, poly(vinyl chloride), cao su buna, polystyrene, amylose, amylopectin, cellulose, nhựa novolac, tơ nylon-6. Số polymer có cấu tạo mạch không phân nhánh là
- Polymer có cấu trúc không phân nhánh là: polyethylene (PE), poly(vinyl chloride) (PVC), cao su buna, polystyrene, amylose, cellulose, nhựa novolac, tơ nylon-6.
- Polymer có cấu trúc phân nhánh: amylopectin.
→ Số polymer có cấu tạo mạch không phân nhánh là 8.
⇒ Điền đáp án: 8
- Polymer có cấu trúc phân nhánh: amylopectin.
→ Số polymer có cấu tạo mạch không phân nhánh là 8.
⇒ Điền đáp án: 8
Câu 27 [1010048]: Môt loại cao su chứa 2% S về khối lượng. Hỏi cứ bao nhiêu mắt xích isoprene thì có một cầu nối disulfide (–S–S–)?
Giải: Cao su thiên nhiên có công thức là –(–C5H8–)–n.
Ta có phản ứng: (C5H8)n + 2S → (C5nH8n–2n)S2.
⇒ %mS/Cao su =
× 100 ≈ 46
Điền đáp án: 46
Ta có phản ứng: (C5H8)n + 2S → (C5nH8n–2n)S2.
⇒ %mS/Cao su =
× 100 ≈ 46 Điền đáp án: 46
Câu 28 [1010049]: Khi cho polyisoprene tham gia phản ứng cộng với HCl thu được một loại polymer có chứa 14,76% chlorine về khối lượng. Trung bình một phân tử HCl phản ứng với k mắt xích trong mạch polymer theo sơ đồ: (C5H8)k + HCl
C5kH8k+1Cl. Tính giá trị của k (làm tròn kết quả đến hàng đơn vị).
C5kH8k+1Cl. Tính giá trị của k (làm tròn kết quả đến hàng đơn vị).
Phương trình xảy ra theo sơ đồ:

Phần trăm khối lượng chlorine trong polymer là:
%mCl = 35,5 : ( 68k + 36,5 ) = 14,76%
⟶ k = 3
⟶ Điền đáp án: 3

Phần trăm khối lượng chlorine trong polymer là:
%mCl = 35,5 : ( 68k + 36,5 ) = 14,76%
⟶ k = 3
⟶ Điền đáp án: 3
Dạng 4: BÀI TẬP ĐỌC HIỂU – đọc thông tin và trả lời các câu hỏi sau đó
POLYETHYLENE
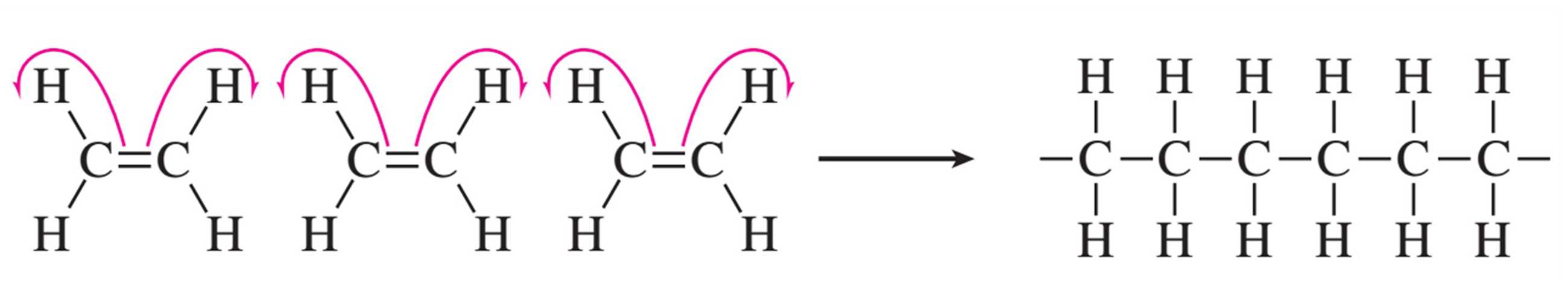
Loại phản ứng trùng hợp đơn giản nhất liên quan đến việc liên kết các phân tử monomer bằng sự di chuyển của các electron từ liên kết bội thành liên kết đơn, liên kết mới được hình thành giữa các phân tử. Hình IV.4. cho thấy sơ đồ trùng hợp ethylene thành polyethylene. (Mũi tên có một nửa đầu nhọn biểu thị chuyển động của một electron).
Hình IV.4. Phản ứng trùng hợp để tạo thành polyethylene từ ethylene.
Cấu trúc của polyethylene có thể được biểu diễn dưới dạng
, trong đó n là số lượng phân tử monomer ethylene đã phản ứng (có thể là hàng trăm, hàng nghìn hoặc hơn). Tuy nhiên, phần đầu chuỗi, nguyên tử carbon vẫn không được liên kết với các phân tử ethylene khác, tức là liên kết vẫn bỏ trống. Do đó nó phải được đóng lại bằng cách liên kết với một nguyên tử khác. Đây có thể là một nguyên tử hydrogen (ví dụ, –CH2–CH2–H), nhưng nó cũng có thể là một phần của phân tử ban đầu (ví dụ, –CH2–CH2–OR). Mặc dù các phần đầu này của phân tử có tính chất hóa học rất khác so với chuỗi polymer chính nhưng sẽ không ảnh hưởng đáng kể đến tính chất của polymer vì chuỗi polyethylene quá dài.Polyethylene chứa chủ yếu các chuỗi không phân nhánh được gọi là polyethylene mật độ cao (high-density polyethylene, kí hiệu HDPE), trong khi polyethylene chứa chủ yếu các chuỗi phân nhánh được gọi là polyethylene mật độ thấp (low-density polyethylene, kí hiệu LDPE). HDPE được sử dụng trong chai và hộp nhựa để duy trì hình dạng, trong khi LDPE được sử dụng trong túi và màng bọc thực phẩm bằng nhựa.

Hình IV.5. Polyethylene không phân nhánh (HDPE) được sử dụng để làm chai lọ bằng nhựa. Túi nhựa và màng bọc thực phẩm, áo mưa được làm từ polyethylene phân nhánh (LDPE).
Câu 29 [310457]: Dựa vào bài đọc, sự khác biệt giữa hai loại polymer HDPE và LDPE là
A, HDPE có phân tử khối lớn hơn LDPE.
B, HDPE có số lượng mắt xích monomer lớn hơn LDPE.
C, HDPE có mạch không phân nhánh, LDPE có mạch phân nhánh.
D, HDPE có mạch không gian, LDPE có mạch phân nhánh.
Polyethylene chứa chủ yếu các chuỗi không phân nhánh trong khi polyethylene chứa chủ yếu các chuỗi phân nhánh. Đáp án: C
Câu 30 [310458]: Một phần polyethylene có khối lượng phân tử là 5.000 g/mol. Số lượng phân tử monomer ethylene đã phản ứng để tạo thành polyethylene là
A, 50.
B, 500.
C, 178.
D, 190.
Khối lượng phân tử của monomer ethylene CH2=CH2 là: 12.2 + 1.4 = 28 (g/mol)
→ Số lượng phân tử monomer ethylene đã phản ứng để tạo thành polyethylene là:

Đáp án: C
→ Số lượng phân tử monomer ethylene đã phản ứng để tạo thành polyethylene là:

Đáp án: C
Câu 31 [310459]: Cho cấu trúc của một polymer X sau:

Giải trùng hợp polymer X thu được monomer có tên gọi là

Giải trùng hợp polymer X thu được monomer có tên gọi là
A, Ethylene.
B, Propylene.
C, Toluene.
D, Styrene.
Giải trùng hợp polymer X thu được monomer CH(C6H5)CH2 có tên gọi là styrene Đáp án: D
POLYMER DẪN ĐIỆN
Cho đến nay bạn đã thấy rằng có thể polymer hóa các hợp chất hữu cơ bằng liên kết đôi C=C trong các hợp chất alkene. Các polymer thu được (ví dụ, polyethylene) có liên kết đơn C–C. Tuy nhiên, cũng có thể trùng hợp các hợp chất hữu cơ bằng liên kết ba C≡C. Hợp chất đơn giản nhất (thuộc alkyne) là acetylene (C2H2), thường được sử dụng trong kĩ thuật hàn. Phản ứng trùng hợp acetylene rất giống với phản ứng trùng hợp ethylene. Nghĩa là, một phân tử ban đầu gắn vào một trong các nguyên tử carbon của phân tử tiếp theo và phá vỡ một liên kết π giữa hai nguyên tử carbon trong acetylene. Do đó, polymer thu được, polyacetylene, vẫn giữ được liên kết đôi C=C:
Dạng tổng quát của phản ứng có thể được biểu diễn như sau:

Bằng cách di chuyển các electron trên liên kết π từ đầu này sang đầu kia của chuỗi polymer, polyacetylene có thể dẫn điện giống như dây dẫn. Tức là polyacetylene là một loại nhựa dẫn điện!
Câu 32 [310460]: Một liên kết ba C≡C trong acethylene chứa bao nhiêu liên kết π?
A, 1.
B, 2.
C, 3.
D, 4.
Một liên kết ba C≡C trong acethylene chứa một liên kết sigma và hai liên kết pi. Đáp án: B
Câu 33 [310461]: Monomer nào sau đây có thể trùng hợp để tạo thành polymer có khả năng dẫn điện?
A, Butadiene.
B, Propylene.
C, But-1-ene.
D, Styrene.
Butadiene có khả năng trùng hợp để tạo thành polybutadiene, một loại polymer có khả năng dẫn điện do sự hiện diện của các liên kết đôi trong cấu trúc của nó, cho phép di chuyển các điện tử tự do trong cấu trúc polymer. Polybutadiene cũng thường được sử dụng trong sản xuất cao su. Đáp án: A
Câu 34 [310462]: Polyacetylene có khả năng phản ứng với các chất nào sau đây?
A, HCl.
B, Cl2.
C, Br2.
D, NaOH.
Polyacetylene không dễ dàng phản ứng với HCl và Cl2 ở điều kiện thường và không dễ bị thủy phân hoặc phản ứng với các base mạnh.
Đáp án: C
Đáp án: C
Dạng 5. Tự luận
Câu 35 [1010406]: [KNTT - SBT] Poly(vinyl alcohol) (viết tắt là PVA) được dùng làm chất kết dính, sợi vinylon, vật liệu ứng dụng trong y tế,... Polyvinyl acetate (viết tắt là PVAc) được sử dụng phổ biến làm keo dán gỗ, keo dán giấy,... PVAc và PVA được tổng hợp theo sơ đồ sau đây:
CH≡CH
A
PVAc
PVA
a) Viết phương trình hoá học hoàn thành sơ đồ chuyển hoá trên.
b) PVA là một polymer có khả năng hoà tan được trong nước. Giải thích.
CH≡CH
A
PVAc
PVAa) Viết phương trình hoá học hoàn thành sơ đồ chuyển hoá trên.
b) PVA là một polymer có khả năng hoà tan được trong nước. Giải thích.
a, Sơ đồ phản ứng:

b, PVA (polyvinyl alcohol) tan được trong nước vì:
- Trong mỗi mắt xích của PVA có nhóm –OH (hydroxyl).
- Nhóm –OH có khả năng tạo liên kết hydro với phân tử nước, làm cho phân tử PVA tương tác mạnh với nước, từ đó hòa tan được.

b, PVA (polyvinyl alcohol) tan được trong nước vì:
- Trong mỗi mắt xích của PVA có nhóm –OH (hydroxyl).
- Nhóm –OH có khả năng tạo liên kết hydro với phân tử nước, làm cho phân tử PVA tương tác mạnh với nước, từ đó hòa tan được.
Câu 36 [1010407]: Hợp chất H có công thức cấu tạo là CH2=CHCH(NH2)COOH. Polymer bao gồm các monomer được nối với nhau bằng cách trải qua quá trình trùng hợp hoặc trùng ngưng. Hợp chất H có thể phản ứng để tạo thành polymer trùng hợp K, hoặc polymer ngưng ngưng L, tùy thuộc vào các điều kiện. Vẽ một đoạn đơn vị mắt xích polymer K và L.
Đây là acid 2-amino-3-butenoic – một amino acid có nhóm NH2 và COOH, đồng thời có nối đôi C=C → có khả năng trùng hợp (giống vinyl) và trùng ngưng (giống amino acid).
Monomer K trùng hợp: Phản ứng trùng hợp xảy ra ở liên kết đôi CH2=CH–, tương tự như các monomer vinyl.
K là:

Monomer L trùng ngưng: Phản ứng trùng ngưng xảy ra giữa nhóm –NH2 và –COOH, giống như cách tạo polyamide (giống như protein hoặc nylon).
L là:
Monomer K trùng hợp: Phản ứng trùng hợp xảy ra ở liên kết đôi CH2=CH–, tương tự như các monomer vinyl.
K là:

Monomer L trùng ngưng: Phản ứng trùng ngưng xảy ra giữa nhóm –NH2 và –COOH, giống như cách tạo polyamide (giống như protein hoặc nylon).
L là:
Câu 37 [1010405]: Polymer và Môi trường
Polymer là các phân tử chuỗi dài có trong tự nhiên có mặt trong các sinh vật sống và cũng có thể được tạo ra bằng các quá trình hóa học trong công nghiệp. Polymer mang tới nhiều ứng dụng trong đời sống, chẳng hạn ethene (C2H4) bao gồm các nguyên tố carbon và hydrogen là hợp chất được dùng để tổng hợp nhiều loại hóa chất từ nhựa (túi nhựa), dung dịch chống đông và dung môi. Nhìn chung, polymer khá trơ về mặt hoá học. Điều này khiến chúng phù hợp để bảo quản thực phẩm và các chất khác một cách an toàn. Tuy nhiên, tính chất này khiến việc phân hủy chúng trở nên khó khăn.
a) Viết phương trình hoá học tạo thành polyethylene từ ethylene.
b) “Polyethylene thu được bằng phản ứng trùng hợp cộng của ethene”. Giải thích cho nhận định trên.
c) Polymer thải, chẳng hạn như túi nhựa, được đốt (đốt ở nhiệt độ cao).
c.1.Viết phương trình đốt cháy ethene.
c.2. Ghép từng thuật ngữ trong cột (A) với các thuật ngữ tương ứng trong cột (B).
Polymer là các phân tử chuỗi dài có trong tự nhiên có mặt trong các sinh vật sống và cũng có thể được tạo ra bằng các quá trình hóa học trong công nghiệp. Polymer mang tới nhiều ứng dụng trong đời sống, chẳng hạn ethene (C2H4) bao gồm các nguyên tố carbon và hydrogen là hợp chất được dùng để tổng hợp nhiều loại hóa chất từ nhựa (túi nhựa), dung dịch chống đông và dung môi. Nhìn chung, polymer khá trơ về mặt hoá học. Điều này khiến chúng phù hợp để bảo quản thực phẩm và các chất khác một cách an toàn. Tuy nhiên, tính chất này khiến việc phân hủy chúng trở nên khó khăn.
a) Viết phương trình hoá học tạo thành polyethylene từ ethylene.
b) “Polyethylene thu được bằng phản ứng trùng hợp cộng của ethene”. Giải thích cho nhận định trên.
c) Polymer thải, chẳng hạn như túi nhựa, được đốt (đốt ở nhiệt độ cao).
c.1.Viết phương trình đốt cháy ethene.
c.2. Ghép từng thuật ngữ trong cột (A) với các thuật ngữ tương ứng trong cột (B).
a, Phương trình phản ứng:
b, Trùng hợp cộng là phản ứng trong đó nhiều phân tử nhỏ giống nhau (monomer) cộng lại tạo thành phân tử lớn (polymer) mà không tạo sản phẩm phụ.
- Ethene (CH2=CH2) là monomer có liên kết đôi → khi trùng hợp, liên kết đôi bị phá vỡ → tạo liên kết đơn giữa các phân tử ethene → chuỗi polymer.
→ Vậy phản ứng tạo polyethylene là phản ứng trùng hợp cộng vì:
Sử dụng các phân tử ethene giống nhau.
Không tạo ra sản phẩm phụ.
c, Ta có:
C1: C2H4 + 3O2⟶ 2CO2 + 2H2O
C2:
- a. Ưu điểm
⟹ Ghép với (3): “Quá trình đốt cháy polymer giải phóng một lượng lớn năng lượng có thể được sử dụng theo nhiều cách.”
→ Vì giải phóng nhiều năng lượng là ưu điểm (có thể dùng làm nhiên liệu,...)
- b. Nhược điểm
⟹ Ghép với:
(2): “Quá trình đốt cháy polymer giải phóng CO2 vào khí quyển, gây ra hiện tượng nóng lên toàn cầu khi được tạo ra với số lượng lớn.”
→ Đây là nhược điểm môi trường (gây hiệu ứng nhà kính)
b, Trùng hợp cộng là phản ứng trong đó nhiều phân tử nhỏ giống nhau (monomer) cộng lại tạo thành phân tử lớn (polymer) mà không tạo sản phẩm phụ.
- Ethene (CH2=CH2) là monomer có liên kết đôi → khi trùng hợp, liên kết đôi bị phá vỡ → tạo liên kết đơn giữa các phân tử ethene → chuỗi polymer.
→ Vậy phản ứng tạo polyethylene là phản ứng trùng hợp cộng vì:
Sử dụng các phân tử ethene giống nhau.
Không tạo ra sản phẩm phụ.
c, Ta có:
C1: C2H4 + 3O2⟶ 2CO2 + 2H2O
C2:
- a. Ưu điểm
⟹ Ghép với (3): “Quá trình đốt cháy polymer giải phóng một lượng lớn năng lượng có thể được sử dụng theo nhiều cách.”
→ Vì giải phóng nhiều năng lượng là ưu điểm (có thể dùng làm nhiên liệu,...)
- b. Nhược điểm
⟹ Ghép với:
(2): “Quá trình đốt cháy polymer giải phóng CO2 vào khí quyển, gây ra hiện tượng nóng lên toàn cầu khi được tạo ra với số lượng lớn.”
→ Đây là nhược điểm môi trường (gây hiệu ứng nhà kính)