Dạng 1. TRẮC NGHIỆM KHÁCH QUAN: mỗi câu hỏi chỉ có một đáp án đúng.
Câu 1 [704019]: “Trong pin điện hoá, điện năng được sinh ra từ phản ứng ..(1).. là một quá trình ..(2)..”. Nội dung phù hợp trong ô trống (1), (2) lần lượt là
A, oxi hoá, không tự diễn biến.
B, oxi hoá - khử, tự diễn biến.
C, khử, tự diễn biến.
D, trao đổi, oxi hóa - khử.
- Trong pin điện hóa, điện năng được sinh ra nhờ vào sự chuyển đổi năng lượng hóa học thành năng lượng điện. Phản ứng xảy ra trong pin là một phản ứng oxi hóa - khử do có sự chuyển electron từ chất khử (bị oxi hóa) sang chất oxi hóa (bị khử).
- Phản ứng trong pin điện hóa là một phản ứng tự diễn biến, tức là nó có thể diễn ra mà không cần cung cấp năng lượng từ bên ngoài.
⇒ Trong pin điện hoá, điện năng được sinh ra từ phản ứng oxi hoá - khử là một quá trình tự diễn biến.
⇒ Chọn đáp án B Đáp án: B
- Phản ứng trong pin điện hóa là một phản ứng tự diễn biến, tức là nó có thể diễn ra mà không cần cung cấp năng lượng từ bên ngoài.
⇒ Trong pin điện hoá, điện năng được sinh ra từ phản ứng oxi hoá - khử là một quá trình tự diễn biến.
⇒ Chọn đáp án B Đáp án: B
Câu 2 [560468]: Cho pin điện Zn-Cu được tạo thành từ hai điện cực Cu2+/Cu và Zn2+/Zn với thế điện cực tương ứng 
Anode của pin là điện cực của cặp oxi hóa – khử nào?

Anode của pin là điện cực của cặp oxi hóa – khử nào? A, Cu2+/Cu.
B, Zn2+/Zn.
C, Cu2+/Zn.
D, Zn2+/Cu.
Cặp oxi hoá – khử có thế điện cực lớn hơn sẽ là cathode ⇝ Điện cực
là cathode.
Cặp oxi hoá – khử có thế điện cực nhỏ hơn sẽ là anode ⇝ Điện cực
là anode.
⟹ Chọn đáp án B Đáp án: B
là cathode.Cặp oxi hoá – khử có thế điện cực nhỏ hơn sẽ là anode ⇝ Điện cực
là anode.⟹ Chọn đáp án B Đáp án: B
Câu 3 [560469]: Cho pin điện Fe-Cu được tạo thành từ hai điện cực Cu2+/Cu và Fe2+/Fe với thế điện cực tương ứng
Cathode của pin là điện cực của cặp oxi hóa – khử nào?
Cathode của pin là điện cực của cặp oxi hóa – khử nào? A, Cu2+/Cu.
B, Fe2+/Fe.
C, Cu2+/Fe.
D, Fe2+/Cu.
Cặp oxi hoá – khử có thế điện cực lớn hơn sẽ là cathode ⇝ Điện cực
là cathode.
Cặp oxi hoá – khử có thế điện cực nhỏ hơn sẽ là anode ⇝ Điện cực
là anode.
⟹ Chọn đáp án A Đáp án: A
là cathode.Cặp oxi hoá – khử có thế điện cực nhỏ hơn sẽ là anode ⇝ Điện cực
là anode.⟹ Chọn đáp án A Đáp án: A
Câu 4 [560470]: Phát biểu nào sau đây là đúng khi nói về pin Galvani?
A, Anode là điện cực dương.
B, Cathode là điện cực âm.
C, Ở cực âm xảy ra quá trình oxi hoá.
D, Dòng electron di chuyển từ cathode sang anode.
- Nguyên tắc hoạt động của pin Galvani dựa trên phản ứng oxi hóa – khử tự diễn biến, tạo từ hai cặp oxi hoá – khử Xm+/X và Yn⁺/Y (
) trong đó electron chuyển từ cực âm sang cực dương thông qua một dây dẫn điện.
Anode (-): X → Xm+ + me
Cathode (+) Yn+ + ne → Y
- Sức điện động chuẩn của pin (Eopin) tạo từ hai cặp oxi hoá – khử Xm+/X và Yn⁺/Y (trong đó
) được tính theo công thức sau:

⇒ Chọn đáp án C Đáp án: C
) trong đó electron chuyển từ cực âm sang cực dương thông qua một dây dẫn điện.Anode (-): X → Xm+ + me
Cathode (+) Yn+ + ne → Y
- Sức điện động chuẩn của pin (Eopin) tạo từ hai cặp oxi hoá – khử Xm+/X và Yn⁺/Y (trong đó
) được tính theo công thức sau:
⇒ Chọn đáp án C Đáp án: C
Câu 5 [560471]: Trong pin điện hoá, sự oxi hoá
A, Chỉ xảy ra ở cực âm (anode).
B, Chỉ xảy ra ở cực dương (cathode).
C, Xảy ra ở cực âm (anode) và cực dương (cathode).
D, Không xảy ra ở cực âm (anode) và cực dương (cathode).
Trong pin điện hóa anode là cực âm nơi xảy ra quá trình oxi hóa, cathode là cực dương là nơi xảy ra quá trình khử.
Đáp án: A
Câu 6 [560472]: Cho một pin điện hoá được tạo bởi các cặp oxi hoá khử Fe2+/Fe, Ag+/Ag ở điều kiện chuẩn. Quá trình xảy ra ở cực âm khi pin hoạt động là
A, Fe(s)
Fe2+(aq) +2e.
Fe2+(aq) +2e.B, Fe2+(aq) + 2e
Fe(s).
Fe(s).C, Ag+(aq) + 1e
Ag(s).
Ag(s).D, Ag(s)
Ag+(aq) + 1e.
Ag+(aq) + 1e.
Phản ứng oxi hoá – khử diễn ra trong pin: Fe + 2Ag+ → Fe2+ + 2Ag
Trong pin điện hoá, cực âm là anode, xảy ra quá trình nhường electron.
Vậy quá trình xảy ra ở cực âm khi pin hoạt động là:Fe(s) → Fe2+(aq) + 2e.
⟹ Chọn đáp án A
Đáp án: A
Trong pin điện hoá, cực âm là anode, xảy ra quá trình nhường electron.
Vậy quá trình xảy ra ở cực âm khi pin hoạt động là:Fe(s) → Fe2+(aq) + 2e.
⟹ Chọn đáp án A
Câu 7 [560473]: Cathode trong pin điện hoá là điện cực nơi xảy ra
A, Quá trình nhường electron.
B, Quá trình oxi hóa.
C, Quá trình khử.
D, Quá trình các chất tăng số oxi hóa.
Cathode (cực dương) là điện cực tại đó xảy ra quá trình khử: Nm+(aq) + me ⟶ M(s).
⟹ Chọn đáp án C Đáp án: C
⟹ Chọn đáp án C Đáp án: C
Câu 8 [560474]: Quá trình tổng quát xảy ra ở cathode trong pin điện có thể biểu diễn bằng bán phương trình nào sau đây?
A, M+(aq) + 1e
M(s).
M(s).B, Mn+(aq) + ne
M(s).
M(s).C, M(s)
Mn+(aq) + ne.
Mn+(aq) + ne.D, M(s)
M+(aq) + 1e.
M+(aq) + 1e.
Cathode (cực dương) là điện cực tại đó xảy ra quá trình khử:
Mn+(aq) + ne ⟶ M(s).
⟹ Chọn đáp án B Đáp án: B
Mn+(aq) + ne ⟶ M(s).
⟹ Chọn đáp án B Đáp án: B
Câu 9 [560475]: Dây dẫn có tác dụng dẫn các hạt X gián tiếp từ cực âm về cực dương để xảy ra quá trình oxi hóa khử tại các điện cực. Hạt X là
A, Proton.
B, Electron.
C, Neutron.
D, Electron và neutron.
Dây dẫn có tác dụng dẫn các hạt X gián tiếp từ cực âm về cực dương để xảy ra quá trình oxi hóa khử tại các điện cực. Vì trong pin xảy ra quá trình oxi hóa và khử nên có sự trao đổi electron.
⟹ Chọn đáp án B
Đáp án: B
⟹ Chọn đáp án B
Đáp án: B
Câu 10 [560476]: Trong pin điện Zn-Cu, tại anode, Zn chuyển thành ion Zn2+(aq), chúng đồng thời cho đi các electron. Các electron này chạy qua X đến cathode, nơi chúng bị ion Cu2+(aq) nhận lấy và chuyển thành kim loại Cu. X là
A, Cầu muối.
B, Dây dẫn.
C, Dung dịch.
D, Ion.
Trong pin điện Zn-Cu, tại cực dương, Zn chuyển thành ion Zn2+(aq) đồng thời cho các electron đi. Các electron này sẽ chuyển đến cực âm, nơi chúng nhận được ion Cu2+(aq) và chuyển thành kim loại Cu. Vì vậy X trong trường hợp này chính là dây dẫn .
Dây dẫn có vai trò quan trọng trong công việc kết nối cực dương và cực âm, tạo thành mạch kín cho phép dòng electron chuyển từ cực âm sang cực dương.
⟹Chọn đáp án B Đáp án: B
Dây dẫn có vai trò quan trọng trong công việc kết nối cực dương và cực âm, tạo thành mạch kín cho phép dòng electron chuyển từ cực âm sang cực dương.
⟹Chọn đáp án B Đáp án: B
Câu 11 [560477]: Vai trò của cầu muối trong pin điện hóa là
A, Giữ cho nồng độ của tất cả các ion không đổi.
B, Cân bằng điện tích trong các dung dịch.
C, Làm chất xúc tác cho phản ứng oxi hóa – khử xảy ra khi pin hoạt động.
D, Con đường di chuyển của các electron từ cực âm sang cực dương.
Vai trò của cầu muối trong pin điện hóa là
- Duy trì tính trung hòa điện
- Đóng mạch điện
- Ngăn chặn sự trộn lẫn các dịch chuyển.
⟹Chọn đáp án B Đáp án: B
- Duy trì tính trung hòa điện
- Đóng mạch điện
- Ngăn chặn sự trộn lẫn các dịch chuyển.
⟹Chọn đáp án B Đáp án: B
Câu 12 [705910]: Trong pin Galvani, nếu rút cầu muối ra thì hiệu điện thế giữa hai điện cựccủa pin sẽ
A, bằng 0.
B, không thay đổi.
C, tăng từ từ.
D, giảm từ từ.
Dựa vào lí thuyết về pin điện hoá. Trong pin Galvani, nếu rút cầu muối ra thì hiệu điện thế giữa hai điện cực của pin sẽ bằng 0 vì mạch điện không khép kín, nên sẽ không có dòng điện chạy qua hai điện cực.
⟹ Chọn đáp án A Đáp án: A
⟹ Chọn đáp án A Đáp án: A
Câu 13 [824903]: Trong pin Galvani, thành phần nào dưới đây không phải là một phần cấu tạo nhất định phải có trong pin?
A, Điện cực dương.
B, Cầu muối.
C, Dây dẫn.
D, Điện cực âm.
Trong pin Galvani, thành phần không phải là một phần cấu tạo nhất định phải có trong pin: Cầu muối.
Giải thích:
- Một pin Galvani được tạo nên từ hai cặp oxi hoá - khử khác nhau (ví dụ Cu2+/Cu và Zn2+/Zn, gọi là pin Galvani Zn – Cu). Trong đó, kim loại mạnh hơn đóng vai trò anode (điện cực âm của pin), kim loại yếu hơn đóng vai trò cathode (điện cực dương của pin).
- Trong hầu hết các loại pin hiện đại, cả hai điện cực đều cùng một nhóm chất điện phân, vì vậy bất cứ khi nào một cation bị khử ở cực dương, một cation khác sẽ bật ra khỏi cực âm và điện tích dung dịch không bao giờ thay đổi (nhìn chung, nó có thể thay đổi cục bộ nếu dòng điện của bạn quá cao)..
⟹ Chọn đáp án B Đáp án: B
Giải thích:
- Một pin Galvani được tạo nên từ hai cặp oxi hoá - khử khác nhau (ví dụ Cu2+/Cu và Zn2+/Zn, gọi là pin Galvani Zn – Cu). Trong đó, kim loại mạnh hơn đóng vai trò anode (điện cực âm của pin), kim loại yếu hơn đóng vai trò cathode (điện cực dương của pin).
- Trong hầu hết các loại pin hiện đại, cả hai điện cực đều cùng một nhóm chất điện phân, vì vậy bất cứ khi nào một cation bị khử ở cực dương, một cation khác sẽ bật ra khỏi cực âm và điện tích dung dịch không bao giờ thay đổi (nhìn chung, nó có thể thay đổi cục bộ nếu dòng điện của bạn quá cao)..
⟹ Chọn đáp án B Đáp án: B
Câu 14 [560478]: Một viên pin có ghi thông số 1,5 V con số này có nghĩa là
A, Sức điện động của pin.
B, Điện trở của pin.
C, Dung lượng của pin.
D, Cường độ dòng điện tối đa mà pin chịu được.
Vôn kế là dụng cụ đo sức điện động, đơn vị là Volt (V).
Viên pin có ghi thông số 1,5 V con số này có nghĩa là sức điện động của pin là 1,5V.
Chọn đáp án A Đáp án: A
Viên pin có ghi thông số 1,5 V con số này có nghĩa là sức điện động của pin là 1,5V.
Chọn đáp án A Đáp án: A
Câu 15 [560479]: Trường hợp nào sau đây xuất hiện sức điện động?
A, Hai thanh copper và zinc nối bằng dây dẫn cùng nhúng vào dung dịch sulfuric acid.
B, Ngâm 2 thanh aluminium vào dung dịch sulfuric acid.
C, Ngâm một thanh nhựa và một thanh thủy tinh vào dung dịch sulfuric acid.
D, Ngâm một thanh copper và một thanh zinc vào nước nguyên chất.
✔️A.Kim loại zinc (Zn) có thế điện cực nhỏ hơn copper (Cu), tạo ra sự chênh lệch về thế điện cực. Khi nhúng vào dung dịch sulfuric acid, quá trình điện phân diễn ra và sức điện động được hình thành.
❌ B: Hai thanh Al (aluminium) cùng loại nên không tạo thành pin điện hóa.
❌C: Thanh nhựa và thanh thủy tinh không phải kim loại dẫn điện nên không tạo suất điện động.
❌D: Cu và Zn có tính chất điện hóa khác nhau, nhưng nước nguyên chất không phải chất điện ly mạnh nên không tạo ra suất điện động đáng kể. Đáp án: A
❌ B: Hai thanh Al (aluminium) cùng loại nên không tạo thành pin điện hóa.
❌C: Thanh nhựa và thanh thủy tinh không phải kim loại dẫn điện nên không tạo suất điện động.
❌D: Cu và Zn có tính chất điện hóa khác nhau, nhưng nước nguyên chất không phải chất điện ly mạnh nên không tạo ra suất điện động đáng kể. Đáp án: A
Câu 16 [560480]: Cho pin điện hoá tạo bởi hai cặp oxi hoá – khử ở điều kiện chuẩn: Pb2+/Pb và Zn2+/Zn với thế điện cực chuẩn tương ứng là –0,126 V và –0,762 V. Phương trình hoá học của phản ứng xảy ra khi pin hoạt động là
A, Pb + Zn
Pb2+ + Zn2+.
Pb2+ + Zn2+.B, Pb2+ + Zn2+
Pb + Zn.
Pb + Zn.C, Pb2+ + Zn
Pb + Zn2+.
Pb + Zn2+.D, Pb + Zn2+
Pb2+ + Zn.
Pb2+ + Zn.
Quá trình xảy ra ở mỗi điện cực:
Tại anode: Zn ⟶ Zn 2+ + 2e
Tại cathode: Pb2+ +2e ⟶ Pb
Phản ứng hoá học xảy ra khi pin hoạt động:
Tại anode: Zn ⟶ Zn 2+ + 2e
Tại cathode: Pb2+ +2e ⟶ Pb
Phản ứng hoá học xảy ra khi pin hoạt động:
Pb2+ + Zn ⟶ Pb + Zn2+
Đáp án: C
Câu 17 [560481]: Một miếng kim loại nickel được thêm vào dung dịch gồm ba muối chloride khác nhau có cùng nồng độ 1,0 M: CoCl2, NiCl2 và SnCl2. Đồ thị nào sau đây thể hiện đúng nhất nồng độ ion kim loại trong dung dịch theo thời gian?
A, 

B, 

C, 

D, 

- Độ mạnh tính khử của Ni lớn hơn Sn nên xảy ra phản ứng
- Độ mạnh tính khử của Ni < Co nên Ni không thể đẩy Co2+ ra khỏi dung dịch muối.
⇒ Do đó [Co2+] giữ nguyên.
⇒ Chọn đáp án B Đáp án: B
Ni + Sn2+ → Ni2+ + Sn
⇒ [Sn2+] giảm; [Ni2+] tăng- Độ mạnh tính khử của Ni < Co nên Ni không thể đẩy Co2+ ra khỏi dung dịch muối.
⇒ Do đó [Co2+] giữ nguyên.
⇒ Chọn đáp án B Đáp án: B
Câu 18 [560482]: Đối với một pin điện gồm điện cực Zn ngâm trong dung dịch Zn2+(aq) 1 M và điện cực Cu được ngâm trong dung dịch Cu2+(aq) 1 M. Đồ thị nào sau đây thể hiện đúng nhất nồng độ của ion kim loại theo thời gian?
A, 

B, 

C, 

D, 

Ta có: Eo Cu2+/Cu = 0,34 (V) ; Eo Zn+2/Zn = -0,76 (V)
=> Eo Cu2+/Cu > Eo Zn+2/Zn
=> Cu2+/Cu là điện cực dương (cathode) và Zn2+/Zn là điện cực âm (anode).Tại cathode (+): Zn → Zn2+ + 2e ∣ Tại anode (-) : Cu2+ + 2e → Cu
=> Eo Cu2+/Cu > Eo Zn+2/Zn
=> Cu2+/Cu là điện cực dương (cathode) và Zn2+/Zn là điện cực âm (anode).Tại cathode (+): Zn → Zn2+ + 2e ∣ Tại anode (-) : Cu2+ + 2e → Cu
Dựa vào phản ứng tại điện cực: [Zn2+] tăng dần
[Cu2+] giảm dần
⇒ Chọn đáp án B
Câu 19 [705439]: Sức điện động chuẩn của ...(1)... được tính bằng ...(2)... của thế điện cực chuẩn tương ứng của điện cực dương và điện cực âm. Nội dung phù hợp trong ô trống (1), (2) lần lượt là
A, pin Galvani, hiệu.
B, pin Galvani, tổng.
C, acquy, hiệu.
D, acquy, tổng.
Sức điện động chuẩn của pin Galvani được tính bằng hiệu của thế điện cực chuẩn tương ứng của điện cực dương và điện cực âm.
Công thức:
Eopin = Eocathode − Eoanode
Trong đó:
Eocathode là thế điện cực chuẩn của điện cực dương (nơi xảy ra quá trình khử).
Eoanode là thế điện cực chuẩn của điện cực âm (nơi xảy ra quá trình oxi hóa).
⇒ Chọn đáp án: A Đáp án: A
Công thức:
Eopin = Eocathode − Eoanode
Trong đó:
Eocathode là thế điện cực chuẩn của điện cực dương (nơi xảy ra quá trình khử).
Eoanode là thế điện cực chuẩn của điện cực âm (nơi xảy ra quá trình oxi hóa).
⇒ Chọn đáp án: A Đáp án: A
Câu 20 [705989]: Cho bán phản ứng và giá trị thế điện cực chuẩn như sau:
Fe2+(aq) + 2e ⇌ Fe(s) Eo = –0,44 V
Cu2+(aq) + 2e ⇌ Cu(s) Eo = +0,34 V
Giá trị suất điện động của pin Fe-Cu là
Fe2+(aq) + 2e ⇌ Fe(s) Eo = –0,44 V
Cu2+(aq) + 2e ⇌ Cu(s) Eo = +0,34 V
Giá trị suất điện động của pin Fe-Cu là
A, +1,52 V.
B, +0,78 V.
C, –0,10 V.
D, –0,95 V.
Ta có:
Trong pin Fe - Cu, điện cực Fe đóng vai trò là Anode và Cu đóng vai trò là cathode
Anode (-) : Fe → Fe2+ + 2e
Cathode (+) : Cu2+ + 2e → Cu
→ EPin = E(+) – E(-) = 0,34 – (-0,44) = 0,78 V
⟹Chọn đáp án B Đáp án: B
Trong pin Fe - Cu, điện cực Fe đóng vai trò là Anode và Cu đóng vai trò là cathode
Anode (-) : Fe → Fe2+ + 2e
Cathode (+) : Cu2+ + 2e → Cu
→ EPin = E(+) – E(-) = 0,34 – (-0,44) = 0,78 V
⟹Chọn đáp án B Đáp án: B
Câu 21 [560484]: Cho bán phản ứng và giá trị thế điện cực chuẩn như sau:

Pin điện hóa nào dưới đây có giá trị sức điện động bằng 0,87 V.

Pin điện hóa nào dưới đây có giá trị sức điện động bằng 0,87 V.
A, Ag – Pb2+.
B, Al – Cu.
C, Cu – Ag.
D, Al – Pb.
★ Sức điện động của pin: Epin = Ecathode - Eanode
★ Trong pin điện hóa: Eo lớn hơn là cathode, Eo bé hơn là anode.
Xét pin Ag – Pb2+ :
⇒ Pb4+/Pb2+ là cathode, Ag+/Ag là anode
⇒ Epin= 1,67 - 0,80 = 0,87 (V)
⇒ Chọn đáp án A Đáp án: A
★ Trong pin điện hóa: Eo lớn hơn là cathode, Eo bé hơn là anode.
Xét pin Ag – Pb2+ :

⇒ Pb4+/Pb2+ là cathode, Ag+/Ag là anode
⇒ Epin= 1,67 - 0,80 = 0,87 (V)
⇒ Chọn đáp án A Đáp án: A
Câu 22 [560485]: Sự chênh lệch điện thế giữa điện cực của một số kim loại với điện cực hydrogen chuẩn được cho dưới đây:

Cặp kim loại nào dưới đây khi lắp thành pin Galvani sẽ cho giá trị sức điện động của pin là lớn nhất?

Cặp kim loại nào dưới đây khi lắp thành pin Galvani sẽ cho giá trị sức điện động của pin là lớn nhất?
A, Nickel và silver.
B, Iron và silver.
C, Copper và silver.
D, Copper và nickel.
A.
= 0,8 - (-0,26) = 1,06 V
B.
= 0,8 - (-0,04) = 0,84 V
C.
= 0,8 - 0,34 = 0,46 V
D.
= 0,34 - (-0,26) = 0,6 V
⟶ Cặp kim loại nickel và silver khi lắp thành pin Galvani sẽ cho giá trị sức điện động của pin là lớn nhất.
(sức điện động của pin lớn nhất khi thế điện cực chuẩn ở cathode lớn nhất và thế điện cực ở anode nhỏ nhất.) Đáp án: A
= 0,8 - (-0,26) = 1,06 VB.
= 0,8 - (-0,04) = 0,84 VC.
= 0,8 - 0,34 = 0,46 VD.
= 0,34 - (-0,26) = 0,6 V⟶ Cặp kim loại nickel và silver khi lắp thành pin Galvani sẽ cho giá trị sức điện động của pin là lớn nhất.
(sức điện động của pin lớn nhất khi thế điện cực chuẩn ở cathode lớn nhất và thế điện cực ở anode nhỏ nhất.) Đáp án: A
Câu 23 [560486]: Cho bảng thông tin sau:

Biết sức điện động chuẩn của pin điện hoá gồm hai điện cực M2+/M và Ag+/Ag bằng 1,056 V. Kim loại nào sau đây phù hợp với M?

Biết sức điện động chuẩn của pin điện hoá gồm hai điện cực M2+/M và Ag+/Ag bằng 1,056 V. Kim loại nào sau đây phù hợp với M?
A, Fe.
B, Sn.
C, Ni.
D, Cu.
TH1: Ag+/Ag đóng vai trò là điện cực âm (anode)
➝ Epin = Eo M2+/M - Eo Ag+/Ag
➝ Eo M2+/M = Eo Ag+/Ag + Epin = 0,799 + 1,056 = 1,855 (V)
➝ Không có giá trị Eo thỏa mãn.
TH2: Ag+/Ag đóng vai trò là điện cực dương (cathode)
➝ Epin = Eo Ag+/Ag - Eo M2+/M
➝ Eo M2+/M = Eo Ag+/Ag - Epin = 0,799 - 1,056 = -0,257 (V)
➝ Cặp oxh- khử Ni2+/ Ni thỏa mãn ➝ Chọn C Đáp án: C
➝ Epin = Eo M2+/M - Eo Ag+/Ag
➝ Eo M2+/M = Eo Ag+/Ag + Epin = 0,799 + 1,056 = 1,855 (V)
➝ Không có giá trị Eo thỏa mãn.
TH2: Ag+/Ag đóng vai trò là điện cực dương (cathode)
➝ Epin = Eo Ag+/Ag - Eo M2+/M
➝ Eo M2+/M = Eo Ag+/Ag - Epin = 0,799 - 1,056 = -0,257 (V)
➝ Cặp oxh- khử Ni2+/ Ni thỏa mãn ➝ Chọn C Đáp án: C
Câu 24 [706036]: Một pin điện hoá được thiết lập từ hai điện cực tạo bởi hai cặp oxi hoá khử là Mn+/M và Cu2+/Cu. Cho bảng sau:

Nếu M là kim loại nào thì sức điện động chuẩn của pin tạo ra sẽ lớn nhất?

Nếu M là kim loại nào thì sức điện động chuẩn của pin tạo ra sẽ lớn nhất?
A, Fe.
B, Ni.
C, Sn.
D, Ag.
Phân tích các phát biểu :
✔️A. Fe
Pin Fe-Cu: Anode (-) Fe và Cathode (+) Cu
E pin = E(+) – E(-) = 0,34 – (-0,44) = 0,78 V
❌B. Ni
Pin Ni-Cu: Anode (-) Ni và Cathode (+) Cu
E pin = E(+) – E(-) = 0,34 – (-0,257) = 0,597 V
❌C. Sn
Pin Sn-Cu: Anode (-) Sn và Cathode (+) Cu
E pin = E(+) – E(-) = 0,34 – (-0,137) = 0,477 V
❌D. Ag
Pin Cu-Ag, Anode (-) Cu và cathode (+) Ag
Epin = E(+) – E(-) = 0,799 – 0,34 = 0,459 V
⟹Chọn đáp án A Đáp án: A
✔️A. Fe
Pin Fe-Cu: Anode (-) Fe và Cathode (+) Cu
E pin = E(+) – E(-) = 0,34 – (-0,44) = 0,78 V
❌B. Ni
Pin Ni-Cu: Anode (-) Ni và Cathode (+) Cu
E pin = E(+) – E(-) = 0,34 – (-0,257) = 0,597 V
❌C. Sn
Pin Sn-Cu: Anode (-) Sn và Cathode (+) Cu
E pin = E(+) – E(-) = 0,34 – (-0,137) = 0,477 V
❌D. Ag
Pin Cu-Ag, Anode (-) Cu và cathode (+) Ag
Epin = E(+) – E(-) = 0,799 – 0,34 = 0,459 V
⟹Chọn đáp án A Đáp án: A
Câu 25 [560487]: Pin Galvani được lắp như sau:

Phát biểu nào sau đây là đúng?

Phát biểu nào sau đây là đúng?
A, Quá trình xảy ra ở cathode là: Zn → Zn2+ + 2e.
B, Quá trình xảy ra ở anode là: Cu2+ + 2e → Cu.
C, Sức điện động chuẩn của pin là 1,102 V.
D, Sau phản ứng thấy xuất hiện kim loại màu xám bám trên bề mặt thanh copper.
Ta có: Eo Cu2+/Cu = 0,34 (V); Eo Zn2+/Zn = -0,763 (V)
➝ Cu2+/Cu là điện cực dương (cathode); Zn2+/Zn là điện cực âm (anode)
❌ a. Sai. Quá trình xảy ra ở cathode là: Cu2+ +2e ➝ Cu.
❌ b. Sai. Quá trình xảy ra ở anode là: Zn ➝ Zn2+ +2e.
✔️ c. Đúng. Epin = Eo Cu2+/Cu - Eo Zn+/Zn = 0,34 - (- 0,763) = 1,103 (V)
❌ d. Sai. Sau phản ứng thấy xuất hiện kim loại Cu (đồng đỏ) bám lên bề mặt thanh copper ở cathode sau quá trình khử. Kim loại màu xám thường là zinc, nhưng nó không bám trên thanh copper mà có thể bị hòa tan ở anode (thanh zinc).
Câu 26 [560488]: Hai nửa phản ứng sau đây xảy ra trong pin điện:
• Ni(s)
Ni2+(aq) + 2e (điện cực Ni)
• Cu2+(aq) + 2e
Cu(s) (điện cực Cu)
Mô tả nào sau đây mô tả chính xác nhất những gì đang xảy ra trong nửa pin chứa điện cực Cu và dung dịch Cu2+?
• Ni(s)
Ni2+(aq) + 2e (điện cực Ni)• Cu2+(aq) + 2e
Cu(s) (điện cực Cu)Mô tả nào sau đây mô tả chính xác nhất những gì đang xảy ra trong nửa pin chứa điện cực Cu và dung dịch Cu2+?
A, Điện cực mất khối lượng và các cation từ cầu muối đang chảy vào nửa pin.
B, Điện cực tăng khối lượng và các cation từ cầu muối đang chảy vào nửa pin.
C, Điện cực mất khối lượng và các anion từ cầu muối đang chảy vào nửa pin.
D, Điện cực tăng khối lượng và các anion từ cầu muối đang chảy vào nửa pin.
Xét nửa pin Cu2+/Cu:
+ Điện cực Cu tăng dần khối lượng khi ion Cu2+ bị khử thành Cu rắn.
+ cực dương là Cu ( do có sự nhận e ).
=> cation di chuyển từ cầu muối vào.
=> Chọn đáp án B
Đáp án: B
+ Điện cực Cu tăng dần khối lượng khi ion Cu2+ bị khử thành Cu rắn.
+ cực dương là Cu ( do có sự nhận e ).
=> cation di chuyển từ cầu muối vào.
=> Chọn đáp án B
Đáp án: B
Câu 27 [560489]: Hãy xem xét ba pin điện, mỗi pin đều có cấu tạo như sơ đồ dưới đây:

Trong mỗi pin điện, một nửa pin chứa dung dịch Fe(NO3)2(aq) 1,0 M với điện cực Fe. Thành phần của nửa pin còn lại như sau:
• Pin 1: Dung dịch CuCl2(aq) 1,0 M với điện cực Cu.
• Pin 2: Dung dịch NiCl2(aq) 1,0 M với điện cực Ni.
• Pin 3: Dung dịch ZnCl2(aq) 1,0 M với điện cực Zn.
Sắt đóng vai trò là cực dương trong (các) pin điện nào?

Trong mỗi pin điện, một nửa pin chứa dung dịch Fe(NO3)2(aq) 1,0 M với điện cực Fe. Thành phần của nửa pin còn lại như sau:
• Pin 1: Dung dịch CuCl2(aq) 1,0 M với điện cực Cu.
• Pin 2: Dung dịch NiCl2(aq) 1,0 M với điện cực Ni.
• Pin 3: Dung dịch ZnCl2(aq) 1,0 M với điện cực Zn.
Sắt đóng vai trò là cực dương trong (các) pin điện nào?
A, Pin 1.
B, Pin 2.
C, Pin 3.
D, Pin 1 và 2.
Vì sắt đóng vai trò là cực dương (cathode)
⇒ Điện cực anode phải có Eo bé hơn Eo Fe2+/Fe = -0,44
Biết: Eo Cu2+/Cu = +0,34 (V);
Eo Ni2+/Ni = -0,257 (V);
Eo Zn2+/Zn = -0,76 (V)
➝ Nhận thấy Eo Zn2+/Zn < Eo Fe2+/Fe
➝ Pin 3 là đáp án đúng.
⇒ Chọn đáp án C Đáp án: C
⇒ Điện cực anode phải có Eo bé hơn Eo Fe2+/Fe = -0,44
Biết: Eo Cu2+/Cu = +0,34 (V);
Eo Ni2+/Ni = -0,257 (V);
Eo Zn2+/Zn = -0,76 (V)
➝ Nhận thấy Eo Zn2+/Zn < Eo Fe2+/Fe
➝ Pin 3 là đáp án đúng.
⇒ Chọn đáp án C Đáp án: C
Dạng 2: TRẮC NGHIỆM ĐÚNG SAI – mỗi ý a), b), c), d) chọn đúng hoặc sai.
Câu 28 [560495]: Pin Galvani được coi là một loại nguồn điện hoá học đầu tiên mà con người phát minh ra. Pin Galvani được tạo thành trên nguyên tắc chênh lệch thế giữa hai điện cực để tạo ra năng lượng điện.
Phân tích các phát biểu:
✔️ a. Đúng. Phản ứng hoá học xảy ra trong pin Galvani là phản ứng tự diễn biến.
❌ b. Sai. Trong pin Galvani, điện cực âm là nơi xảy ra quá trình oxi hoá.
❌ c. Sai. Sức điện động của pin Galvani là hiệu thế điện cực chuẩn của cặp oxi hóa – khử.
❌ d. Sai. Pin Galvani tạo ra dòng điện từ quá trình hóa học, thông qua các phản ứng oxi hóa - khử tại hai điện cực.
✔️ a. Đúng. Phản ứng hoá học xảy ra trong pin Galvani là phản ứng tự diễn biến.
❌ b. Sai. Trong pin Galvani, điện cực âm là nơi xảy ra quá trình oxi hoá.
❌ c. Sai. Sức điện động của pin Galvani là hiệu thế điện cực chuẩn của cặp oxi hóa – khử.
❌ d. Sai. Pin Galvani tạo ra dòng điện từ quá trình hóa học, thông qua các phản ứng oxi hóa - khử tại hai điện cực.
Câu 29 [560497]: Giả sử rằng chúng ta muốn xây dựng một pin điện sử dụng các bán phản ứng sau:
A2+(aq) + 2e
A(s);
B2+(aq) + 2e
B(s);
Hình vẽ dưới đây là mô hình pin chưa hoàn chỉnh, cần bổ sung thêm một số thứ để tạo ra một pin ở điều kiện chuẩn (các điện cực đang được nhúng chìm trong nước).
A2+(aq) + 2e
A(s);
B2+(aq) + 2e
B(s);
Hình vẽ dưới đây là mô hình pin chưa hoàn chỉnh, cần bổ sung thêm một số thứ để tạo ra một pin ở điều kiện chuẩn (các điện cực đang được nhúng chìm trong nước).
Phân tích các phát biểu sau:
✔️a. Đúng. Bổ sung dung dịch A2+ vào cốc điện cực kim loại A tương ứng tạo ra đúng một điện cực.
❌ b. Sai. Ngoài NaNO3 có thể sử dụng các muối điện li khác.
✔️ c. Đúng. Các electron chuyển động trong mạch ngoài từ anode(-) sang cathode(+), từ nơi có điện năng cao đến nơi có điện năng thấp
✔️ d. Đúng. Vì EoB2+/B < EoA2+/A => Dựa trên quy tắc alpha ta xác định được phản ứng là A2+ + B ➝ A + B2+ => xảy ra quá trình khử A2+ nên A2+/A là điện cực cathode(+).
✔️a. Đúng. Bổ sung dung dịch A2+ vào cốc điện cực kim loại A tương ứng tạo ra đúng một điện cực.
❌ b. Sai. Ngoài NaNO3 có thể sử dụng các muối điện li khác.
✔️ c. Đúng. Các electron chuyển động trong mạch ngoài từ anode(-) sang cathode(+), từ nơi có điện năng cao đến nơi có điện năng thấp
✔️ d. Đúng. Vì EoB2+/B < EoA2+/A => Dựa trên quy tắc alpha ta xác định được phản ứng là A2+ + B ➝ A + B2+ => xảy ra quá trình khử A2+ nên A2+/A là điện cực cathode(+).
Câu 30 [560498]: Sơ đồ sau thể hiện sự biển đổi của các nguyên tử xảy ra ở một điện cực trong pin điện.

Phát biểu nào sau đây không đúng?

Phát biểu nào sau đây không đúng?
A, Quá trình xảy ra ở điện cực này là quá trình oxi hóa.
B, Điện cực này là cathode (cực dương).
C, Các hạt A mất đi các electron sẽ chuyển thành hạt B.
D, Hạt A trong điện cực có kích thước lớn hơn các hạt B trong dung dịch.
Phân tích các phát biểu sau:
✔️a. Đúng. Sơ đồ thể hiện sự biến đổi A ➝ B + ne => quá trình oxi hóa, đây là điện cực âm (anode).
❌ b. Sai. Điện cực này là điện cực âm (anode).
✔️ c. Đúng. Các hạt A nhường electron tạo cation B.
✔️ d. Đúng. Hạt A trong điện cực nhường electron tạo hạt B trong dung dịch nên kích thước hạt A lớn hơn hạt B trong dung dịch.
⇒ Chọn đáp án B Đáp án: B
✔️a. Đúng. Sơ đồ thể hiện sự biến đổi A ➝ B + ne => quá trình oxi hóa, đây là điện cực âm (anode).
❌ b. Sai. Điện cực này là điện cực âm (anode).
✔️ c. Đúng. Các hạt A nhường electron tạo cation B.
✔️ d. Đúng. Hạt A trong điện cực nhường electron tạo hạt B trong dung dịch nên kích thước hạt A lớn hơn hạt B trong dung dịch.
⇒ Chọn đáp án B Đáp án: B
Câu 31 [560500]: Xét pin Galvani tạo bởi hai điện cực kim loại được bố trí như hình vẽ sau:
Phân tích các phát biểu:
(❌a) – Sai. A là thanh Cu nên cathode, E là thanh Zn nên là anode, vị trí C là cầu muối.
❌(b) – Sai. Nếu A là Zn thì dung dịch B chứa ion Zn2+ có thể là Zn(NO3)2, ZnSO4,…
❌(c) – Sai.
Quá trình xảy ra trong pin
Cốc D xảy ra quá trình khử. Anode: Zn → Zn2+ + 2e.
Thì khi pin hoạt động cầu muối sẽ cung cấp ion NO3-.
✔️(d) – Đúng. Trong pin Galvani, dòng điện theo quy ước chạy từ cực dương sang cực âm trong mạch ngoài, còn các electron thực tế lại di chuyển từ cực âm (nơi xảy ra phản ứng oxi hóa) sang cực dương (nơi xảy ra phản ứng khử) qua dây dẫn kim loại.
(❌a) – Sai. A là thanh Cu nên cathode, E là thanh Zn nên là anode, vị trí C là cầu muối.
❌(b) – Sai. Nếu A là Zn thì dung dịch B chứa ion Zn2+ có thể là Zn(NO3)2, ZnSO4,…
❌(c) – Sai.
Quá trình xảy ra trong pin
Cốc D xảy ra quá trình khử. Anode: Zn → Zn2+ + 2e.
Thì khi pin hoạt động cầu muối sẽ cung cấp ion NO3-.
✔️(d) – Đúng. Trong pin Galvani, dòng điện theo quy ước chạy từ cực dương sang cực âm trong mạch ngoài, còn các electron thực tế lại di chuyển từ cực âm (nơi xảy ra phản ứng oxi hóa) sang cực dương (nơi xảy ra phản ứng khử) qua dây dẫn kim loại.
Câu 32 [560501]:
Một pin điện hoá Zn – H2 được thiết lập ở các điều kiện như hình vẽ sau:
Phân tích các phát biểu:
❌ a. Sai. Sức điện động pin là Epin= Ecathode - Eanode= EH2/H+ - EZn2+/Zn= 0,762. Mà EH+/H2= 0 nên EZn2+/Zn= -0,762.
✔️ b. Đúng. Quá trình khử xảy ra ở cathode là: 2H+ + 2e ⟶ H2.
✔️ c. Đúng. Chất điện li trong cầu muối là KCl.
✔️ d. Đúng. Phản ứng hóa học xảy ra trong pin là:
Zn + 2H+ ⟶ Zn2+ + H2.
❌ a. Sai. Sức điện động pin là Epin= Ecathode - Eanode= EH2/H+ - EZn2+/Zn= 0,762. Mà EH+/H2= 0 nên EZn2+/Zn= -0,762.
✔️ b. Đúng. Quá trình khử xảy ra ở cathode là: 2H+ + 2e ⟶ H2.
✔️ c. Đúng. Chất điện li trong cầu muối là KCl.
✔️ d. Đúng. Phản ứng hóa học xảy ra trong pin là:
Zn + 2H+ ⟶ Zn2+ + H2.
Câu 33 [560499]: Một pin Ag-Cu có một nửa pin là điện cực Ag trong dung dịch AgNO3 1 M nối với nửa pin còn lại là một điện cực Cu trong Cu(NO3)2 1 M. Khi pin điện này hoạt động, người ta nhận thấy có sự tăng khối lượng ở một điện cực và điện cực còn lại thì có sự giảm khối lượng.
Phân tích các phát biểu:
✔️ a. Đúng. Vì giá trị thế điện cực của Ag+/Ag lớn hơn Cu2+/Cu nên Ag đóng vai trò là cathode (cực dương) xảy ra quá trình khử ion Ag+ tạo kim loại Ag làm khối lượng điện cực tăng lên.
✔️ b. Đúng. Điện cực đồng (anode) xảy ra quá trình oxi hóa kim loại nên làm khối lượng điện cực giảm.
❌ c. Sai. Khi pin hoạt động, xảy ra quá trình khử ion Ag+ tạo kim loại Ag nên nồng độ Ag+ giảm.
✔️ d. Đúng. Quá trình xảy ra trong pin là quá trình tự diễn biến.
✔️ a. Đúng. Vì giá trị thế điện cực của Ag+/Ag lớn hơn Cu2+/Cu nên Ag đóng vai trò là cathode (cực dương) xảy ra quá trình khử ion Ag+ tạo kim loại Ag làm khối lượng điện cực tăng lên.
✔️ b. Đúng. Điện cực đồng (anode) xảy ra quá trình oxi hóa kim loại nên làm khối lượng điện cực giảm.
❌ c. Sai. Khi pin hoạt động, xảy ra quá trình khử ion Ag+ tạo kim loại Ag nên nồng độ Ag+ giảm.
✔️ d. Đúng. Quá trình xảy ra trong pin là quá trình tự diễn biến.
Câu 34 [560502]: Một pin Galvani được tạo nên từ hai cặp oxi hoá - khử khác nhau (Cu2+/Cu và Zn2+/Zn, gọi là pin Galvani Zn-Cu) thường có cấu tạo như hình dưới đây:
Phân tích các phát biểu:
✔️ a. Đúng. Sức điện động của pin bằng thế chênh lệch giữa cực dương và cực âm.
✔️ c. Đúng. Pin Galvani cung cấp nguồn điện hóa học.
❌ d. Sai. Sức điện động của pin Galvani luôn dương vì Ecathode > Eanode => Epin luôn dương.
✔️ a. Đúng. Sức điện động của pin bằng thế chênh lệch giữa cực dương và cực âm.
Epin= Ecathode - Eanode
❌ b. Sai. Khi pin Galvani hoạt động, phản ứng oxi hóa- khử xảy ra tại 2 điện cực.✔️ c. Đúng. Pin Galvani cung cấp nguồn điện hóa học.
❌ d. Sai. Sức điện động của pin Galvani luôn dương vì Ecathode > Eanode => Epin luôn dương.
Câu 35 [560503]: Một pin điện được chế tạo như sơ đồ dưới đây:

Một nửa pin bao gồm một thanh sắt được đặt trong dung dịch FeSO4 và nửa còn lại có một thanh nhôm được đặt trong dung dịch Al2(SO4)3. Phản ứng tổng thể của pin là
2Al(s) + 3Fe2+(aq)
3Fe(s) + 2Al3+(aq)

Một nửa pin bao gồm một thanh sắt được đặt trong dung dịch FeSO4 và nửa còn lại có một thanh nhôm được đặt trong dung dịch Al2(SO4)3. Phản ứng tổng thể của pin là
2Al(s) + 3Fe2+(aq)
3Fe(s) + 2Al3+(aq)
Phân tích các phát biểu:
✔️ a. Đúng. Theo phương trình phản ứng xảy ra trong pin, Al là chất khử, Fe2+ là chất oxi hóa.
✔️ b. Đúng. Điện cực sắt xảy ra quá trình khử ion Fe2+ => Cathode (cực dương).
❌ c. Sai. Điện cực anode có Al nhường electron => Electron di chuyển từ điện cực nhôm sang điện cực sắt.
❌ d. Sai. Các anion SO42- trong cầu muối di chuyển về phía cốc đựng thanh Al, cation Na+ di chuyển về điện cực sắt.
✔️ a. Đúng. Theo phương trình phản ứng xảy ra trong pin, Al là chất khử, Fe2+ là chất oxi hóa.
✔️ b. Đúng. Điện cực sắt xảy ra quá trình khử ion Fe2+ => Cathode (cực dương).
❌ c. Sai. Điện cực anode có Al nhường electron => Electron di chuyển từ điện cực nhôm sang điện cực sắt.
❌ d. Sai. Các anion SO42- trong cầu muối di chuyển về phía cốc đựng thanh Al, cation Na+ di chuyển về điện cực sắt.
Câu 36 [560504]: Sơ đồ bên dưới thể hiện cách bố trí thử nghiệm cho pin điện Zn–Ni điển hình:

Biết

Biết
Phân tích các phát biểu:
✔️ a. Đúng. Vì ENi2+/Ni > EZn2+/Zn nên khả năng oxi hóa của Ni2+ mạnh hơn Zn2+ => Điện cực X (nhận e) là Ni; điện cực M (nhường e) là Zn.
✔️ b. Đúng. Điện cực Zn2+/Zn đóng vai trò là anode (xảy ra quá trình oxi hóa thanh Zn).
❌ c. Sai. Sức điện động của pin là Epin = ENi2+/Ni - EZn2+/Zn = -0,25 - (-0,76)= 0,51V.
✔️ d. Đúng. Khi loại bỏ cầu muối thì điện tích ở 2 điện cực không được trung hòa dẫn đến sự tích tụ điện tích quá mức và làm dừng phản ứng oxi hóa khử. Do đó, sức điện động của pin sẽ bằng 0.
✔️ a. Đúng. Vì ENi2+/Ni > EZn2+/Zn nên khả năng oxi hóa của Ni2+ mạnh hơn Zn2+ => Điện cực X (nhận e) là Ni; điện cực M (nhường e) là Zn.
✔️ b. Đúng. Điện cực Zn2+/Zn đóng vai trò là anode (xảy ra quá trình oxi hóa thanh Zn).
❌ c. Sai. Sức điện động của pin là Epin = ENi2+/Ni - EZn2+/Zn = -0,25 - (-0,76)= 0,51V.
✔️ d. Đúng. Khi loại bỏ cầu muối thì điện tích ở 2 điện cực không được trung hòa dẫn đến sự tích tụ điện tích quá mức và làm dừng phản ứng oxi hóa khử. Do đó, sức điện động của pin sẽ bằng 0.
Câu 37 [560505]: Xét pin điện hóa được bố trí như sơ đồ dưới đây:

Biết

Biết
Phân tích các phát biểu:
✔️ a. Đúng. Vì EAg+/Ag > EZn2+/Zn nên khả năng oxi hóa của Ag+ mạnh hơn Zn2+
=> Phương trình ion thu gọn: Zn + 2Ag+ ⟶ Zn2+ + 2Ag.
❌ b. Sai. Sức điện động chuẩn của pin đo được bằng vôn kế có giá trị là 1,56V.
❌ c. Sai. Thanh Ag đóng vai trò là cực dương (cathode); thanh Zn đóng vai trò là cực âm (anode).
❌ d. Sai. Nếu thêm KI vào điện cực Ag+/Ag thì sức điện động của pin giảm. Vì ion I- tạo kết tủa với ion Ag+ trong dung dịch.
✔️ a. Đúng. Vì EAg+/Ag > EZn2+/Zn nên khả năng oxi hóa của Ag+ mạnh hơn Zn2+
=> Phương trình ion thu gọn: Zn + 2Ag+ ⟶ Zn2+ + 2Ag.
❌ b. Sai. Sức điện động chuẩn của pin đo được bằng vôn kế có giá trị là 1,56V.
❌ c. Sai. Thanh Ag đóng vai trò là cực dương (cathode); thanh Zn đóng vai trò là cực âm (anode).
❌ d. Sai. Nếu thêm KI vào điện cực Ag+/Ag thì sức điện động của pin giảm. Vì ion I- tạo kết tủa với ion Ag+ trong dung dịch.
Câu 38 [560506]: Bệnh nhân tiểu đường phải theo dõi lượng đường trong máu để xác định liều insulin thích hợp. Một thiết bị điện tử thực hiện điều này sử dụng phản ứng dưới đây:

Cho biết
và 

Cho biết
và 
Phân tích các phát biểu:
❌ a. Sai. Trong phản ứng pin, Fe có số oxi hóa +3 bị khử thành +2.
✔️ b. Đúng. Phản ứng trong pin là phản ứng tự diễn biến.
✔️ c. Đúng. Sức điện động của pin là Epin = Ecathode- Eanode= 0,69 - 0,29 = 0,4V.
✔️ d. Đúng. Tăng nồng độ glucose ở cực âm (anode) sẽ làm thế điện cực của gln/glu giảm, dẫn đến làm tăng sức điện động của pin.
❌ a. Sai. Trong phản ứng pin, Fe có số oxi hóa +3 bị khử thành +2.
✔️ b. Đúng. Phản ứng trong pin là phản ứng tự diễn biến.
✔️ c. Đúng. Sức điện động của pin là Epin = Ecathode- Eanode= 0,69 - 0,29 = 0,4V.
✔️ d. Đúng. Tăng nồng độ glucose ở cực âm (anode) sẽ làm thế điện cực của gln/glu giảm, dẫn đến làm tăng sức điện động của pin.
Dạng 3: TRẮC NGHIỆM YÊU CẦU TRẢ LỜI NGẮN
Câu 39 [560507]: Lắp ráp pin điện hoá Fe – Cu ở điều kiện chuẩn. Cho biết các giá trị thế điện cực chuẩn:
Sức điện động chuẩn của pin điện hoá trên là bao nhiêu vôn?
Sức điện động chuẩn của pin điện hoá trên là bao nhiêu vôn?
+ Cặp oxi hóa- khử có thế điện cực lớn hơn sẽ là cathode ⟶ Điện cực Cu2+/Cu là cathode.
+ Cặp oxi hóa- khử có thế điện cực nhỏ hơn sẽ là anode ⟶ Điện cực Fe2+/Fe là anode.
=> Sức điện động chuẩn của pin là:
+ Cặp oxi hóa- khử có thế điện cực nhỏ hơn sẽ là anode ⟶ Điện cực Fe2+/Fe là anode.
=> Sức điện động chuẩn của pin là:
Eopin = EoCu2+/Cu - EoFe2+/Fe = 0,34 - (-0,44)= 0,78 V
=> Điền đáp án: 0,78
Câu 40 [560508]: Một pin điện hoá được thiết lập từ hai điện cực tạo bởi hai cặp oxi hoá khử là M2+/M và Ag+/Ag. Cho bảng sau:

Nếu M là một trong số các kim loại: Fe, Ni, Sn, Cu thì sức điện động chuẩn lớn nhất của pin bằng bao nhiêu vôn?

Nếu M là một trong số các kim loại: Fe, Ni, Sn, Cu thì sức điện động chuẩn lớn nhất của pin bằng bao nhiêu vôn?
Vì giá trị thế điện cực chuẩn của Ag+/Ag lớn nhất trong bảng
=> Điện cực Ag+/Ag là cathode. Điện cực còn lại là anode
=> Epin= 0,799 - (-0,440) = 1,24 V
=> Điền đáp án: 1,24
=> Điện cực Ag+/Ag là cathode. Điện cực còn lại là anode
(Eopin= EoAg+/Ag - EoM2+/M)
=> Sức điện động của pin tạo bởi 2 cặp oxi hóa khử M2+/M và Ag+/Ag càng lớn thì thế điện cực chuẩn của M2+/M càng âm. Vậy sức điện động pin lớn nhất khi M là kim loại Fe.=> Epin= 0,799 - (-0,440) = 1,24 V
=> Điền đáp án: 1,24
Câu 41 [560509]: Phản ứng hoá học xảy ra trong một pin điện hoá:
2Cr + 3Cu2+
2Cr3+ + 3Cu.
Biết
Sức điện động Eo của pin điện hoá là
2Cr + 3Cu2+
2Cr3+ + 3Cu.Biết
Sức điện động Eo của pin điện hoá làEopin = EoCu2+/Cu - EoCr3+/Cr = 0,34 - (-0,74) = 1,08 V
=> Điền đáp án: 1,08
Câu 42 [560510]: Cho bán phản ứng và giá trị thế điện cực chuẩn như sau:

Giá trị sức điện động chuẩn của pin Fe–Co là

Giá trị sức điện động chuẩn của pin Fe–Co là
EoCo3+/Co2+ lớn hơn nên Co3+/Co2+ là cathode. EoFe3+/Fe2+ bé hơn nên Fe3+/Fe2+ là anode.
=> Eopin = EoCo3+/Co2+ - EoFe3+/Fe2+ = 1,82 - 0,77 = 1,05 V
=> Điền đáp án: 1,05
Câu 43 [560511]: Cho bán phản ứng và giá trị thế điện cực chuẩn như sau:

Giá trị sức điện động chuẩn của pin Fe – Cu là

Giá trị sức điện động chuẩn của pin Fe – Cu là
Eopin = EoCu2+/Cu - EoFe2+/Fe = 0,34 - (-0,44) = 0,78 V
=> Điền đáp án: 0,78
Câu 44 [560512]: Europium (Eu) là một trong số các nguyên tố được sử dụng để làm màu đỏ trong các ống tia âm cực của tivi.

Một pin điện dựa trên phản ứng: 2Eu2+(aq) + Ni2+(aq)
2Eu3+(aq) + Ni(s) tạo thành pin có sức điện động là
Cho thế khử chuẩn của Ni2+/Ni là –0,25 V. Thế khử chuẩn của phản ứng Eu3+(aq) + e
Eu2+(aq) bằng bao nhiêu vôn?

Một pin điện dựa trên phản ứng: 2Eu2+(aq) + Ni2+(aq)
2Eu3+(aq) + Ni(s) tạo thành pin có sức điện động là
Cho thế khử chuẩn của Ni2+/Ni là –0,25 V. Thế khử chuẩn của phản ứng Eu3+(aq) + e
Eu2+(aq) bằng bao nhiêu vôn?
Trong phản ứng, Ni2+ thực hiện quá trình khử => Điện cực Ni2+/Ni là cathode.
Eopin = Eocathode - Eoanode = -0,25 - EoEu3+/Eu2+ = 0,70 V
=> EoEu3+/Eu2+ = - 0,25 - 0,70 = - 0,95V
=> Điền đáp án: -0,95
=> Điền đáp án: -0,95
Câu 45 [560513]: Cho ba điện cực đều được tạo thành từ kim loại nhúng trong dung dịch chứa ion kim loại đó với nồng độ mol là 1 M.
• Điện cực 1: Zn2+(aq) + 2e
Zn(s); 
• Điện cực 2: Fe2+(aq) + 2e
Fe(s); 
• Điện cực 3: Cu2+(aq) + 2e
Cu(s); 
Tiến hành lắp pin điện từ hai trong ba điện cực để tạo thành pin thì giá trị sức điện động lớn nhất có thể thu được là bao nhiêu vôn?
• Điện cực 1: Zn2+(aq) + 2e
Zn(s); 
• Điện cực 2: Fe2+(aq) + 2e
Fe(s); 
• Điện cực 3: Cu2+(aq) + 2e
Cu(s); 
Tiến hành lắp pin điện từ hai trong ba điện cực để tạo thành pin thì giá trị sức điện động lớn nhất có thể thu được là bao nhiêu vôn?
Pin Zn-Cu sẽ có sức điện động lớn nhất:
Eopin = EoCu2+/Cu - EoZn2+/Zn = 0,34 - (-0,76) = 1,1 V
=> Điền đáp án: 1,1
Câu 46 [560514]: Lithium thường được sử dụng làm cực âm trong các pin cúc áo, pin dùng để cấp nguồn điện cho đồng hồ.

Bán phản ứng của pin cúc áo lithium/iodine như sau:

Sức điện động chuẩn của pin lithium/iodine bằng bao nhiêu vôn?

Bán phản ứng của pin cúc áo lithium/iodine như sau:

Sức điện động chuẩn của pin lithium/iodine bằng bao nhiêu vôn?
Vì EoI2/I- > EoLi+/Li nên điên cực I2/I- là cathode, điện cực Li+/Li là anode.
=> Eopin = EoI2/I - EoLi+/Li = 0,54 - (-3,04) = 3.58 V
=> Điền đáp án: 3,58
Câu 47 [560515]: Thử nghiệm với hai chiếc xe ô tô tương đương, một xe chạy bằng xăng (dung tích bình chứa 4 kg xăng) và một xe chạy bằng pin nhiên liệu (thể tích bình nhiên liệu có thể quy về ứng với 400 gam hydrogen ở áp suất cao). Để di chuyển được 1 km, cần cung cấp năng lượng đủ cho mỗi xe là 106 J. Biết khi đốt cháy 1 kg xăng tỏa ra nhiệt lượng là 5 × 107 J nhưng chỉ có 40% lượng nhiệt được chuyển thành công có ích. Trong khi đó, khi sử dụng 2 gam hydrogen trong pin thì giải phóng năng lượng là 286.000 J và có 60% năng lượng này được chuyển thành công có ích. Bỏ qua các hao phí khác, quãng đường tối đa mà xe ô tô chạy bằng xăng nhiều hay ít hơn xe ô tô chạy bằng pin là bao nhiêu km?
Năng lượng có ích khi đốt cháy 4kg xăng: 4 . 5.107 . 40% = 8.107
⇒ Quãng đường tối đa xe chạy xăng đi được: 8.107 / 106 = 80 km
Năng lượng có ích khi sử dụng 400 gam hydrogen: 400/2 . 286 000 . 60% = 34 320 000 J
⇒ Quãng đường tối đa xe chạy pin đi được: 34 320 000/ 106 = 34,3 km
Vậy quãng đường xe xăng chạy nhiều hơn xe chạy bằng pin 80 - 34,3 = 45,7 km
⇒ Điền đáp án: 45,7
⇒ Quãng đường tối đa xe chạy xăng đi được: 8.107 / 106 = 80 km
Năng lượng có ích khi sử dụng 400 gam hydrogen: 400/2 . 286 000 . 60% = 34 320 000 J
⇒ Quãng đường tối đa xe chạy pin đi được: 34 320 000/ 106 = 34,3 km
Vậy quãng đường xe xăng chạy nhiều hơn xe chạy bằng pin 80 - 34,3 = 45,7 km
⇒ Điền đáp án: 45,7
Câu 48 [560516]: Cho một pin Galvani với điện cực Zn và Cu có sức điện động chuẩn là 1,34 V. Sử dụng pin này để thắp sáng một bóng đèn nhỏ với cường độ dòng điện chạy qua là I = 0,04 A. Nếu điện cực kẽm hao mòn 0,2 mol do pin phóng điện thì thời gian tối đa mà pin thắp sáng được bóng đèn là bao nhiêu giờ? Cho biết công thức:
Trong đó: Q là điện lượng (C), n là số mol electron đi qua dây dẫn, I là cường độ dòng điện (A), t là thời gian (giây), F là hằng số Faraday (96500 C/mol).
Trong đó: Q là điện lượng (C), n là số mol electron đi qua dây dẫn, I là cường độ dòng điện (A), t là thời gian (giây), F là hằng số Faraday (96500 C/mol).
Thời gian tối đa mà pin thắp sáng được bóng đèn là:
Q = n.F = I.t
<=> 0,2. 2. 96500 = 0,04 . t
=> t = 965000 giây = 268 giờ
=> Điền đáp án: 268
Q = n.F = I.t
<=> 0,2. 2. 96500 = 0,04 . t
=> t = 965000 giây = 268 giờ
=> Điền đáp án: 268
Câu 49 [560517]: Các bán phản ứng đối với pin nickel-cadmium (“nicad”), một loại có thể được sạc lại được cho dưới đây:
• Cd(OH)2(s) + 2e
Cd(s) + 2OH–(aq)
• Ni(OH)3(s) + e
Ni(OH)2(s) + OH–(aq)
Sức điện động chuẩn
của pin nicad bằng bao nhiêu vôn?
• Cd(OH)2(s) + 2e
Cd(s) + 2OH–(aq)
• Ni(OH)3(s) + e
Ni(OH)2(s) + OH–(aq)
Sức điện động chuẩn
của pin nicad bằng bao nhiêu vôn?Eopin = EoNi(OH)3/Ni(OH)2 - EoNi(OH)2/Cd = 0,49 - (-0,81) = 1,3 V
=> Điền đáp án: 1,3
Dạng 4: BÀI TẬP ĐỌC HIỂU – đọc thông tin và trả lời các câu hỏi sau đó
PIN NỒNG ĐỘ
Trong các pin điện mà chúng ta đã xem xét cho đến nay, các loại phản ứng ở cực dương và các loại phản ứng ở cực âm được tạo thành từ hai kim loại khác nhau. Tuy nhiên, sức điện động của pin phụ thuộc vào nồng độ, do đó, một pin năng lượng có thể được chế tạo từ cùng một kim loại miễn sao là nồng độ mol của ion kim loại trong các điện cực khác nhau. Một pin được tạo ra do sự khác biệt về nồng độ được gọi là pin nồng độ. Một ví dụ về pin nồng độ được biểu diễn trong Hình (a) dưới đây. Một nửa pin bao gồm một thanh kim loại nickel được ngâm trong dung dịch Ni2+(aq) 1,00×10–3 M. Nửa pin còn lại cũng là điện cực Ni(s), nhưng nó được ngâm trong dung dịch Ni2+(aq) 1,00 M. Hai nửa pin được nối với nhau bằng cầu muối và bằng dây dẫn bên ngoài chạy qua vôn kế. Các phản ứng trong nửa pin là nghịch đảo của nhau:

Mặc dù sức điện động chuẩn của pin này bằng 0 V.

Tuy nhiên, nếu quan sát kĩ có thể thấy pin hoạt động trong điều kiện không chuẩn vì nồng độ Ni2+(aq) không phải là 1 M ở cả hai nửa pin. Trên thực tế, pin hoạt động cho đến khi nồng độ ion Ni2+ (anode) bằng nồng độ ion Ni2+ (cathode). Quá trình oxi hóa Ni(s) xảy ra trong nửa pin nào chứa nồng độ dung dịch loãng hơn - đóng vai trò là anode của pin. Quá trình khử Ni2+(aq) xảy ra trong nửa pin chứa nồng độ dung dịch đậm đặc hơn đóng vai trò là cathode của pin. Do đó phản ứng tổng thể của pin là


Hình ảnh. Pin nồng độ dựa trên phản ứng Ni2+–Ni.
(a) Nồng độ Ni2+(aq) trong hai nửa pin không bằng nhau và pin tạo ra dòng điện và điện áp.
(b) Pin hoạt động cho đến khi nồng độ ion Ni2+ bằng nhau ở hai nửa pin, lúc đó pin đã đạt đến trạng thái cân bằng và sức điện động bằng 0.
Chúng ta có thể tính sức điện động của một pin nồng độ bằng cách sử dụng phương trình Nernst.

Trong đó: Epin là sức điện động của pin trong điều kiện không chuẩn (V).
n là số electron trao đổi trong các bán phản ứng.
[Ni2+](aq,l) là nồng độ ion Ni2+(aq) trong dung dịch loãng.
[Ni2+](aq,đ) là nồng độ ion Ni2+(aq) trong dung dịch đặc.
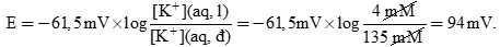
Đối với trường hợp cụ thể này, chúng ta thấy rằng n = 2. Do đó, sức điện động ở 298 K là

Lươn điện sử dụng các tế bào gọi là tế bào điện dựa trên nguyên tắc tương tự để tạo ra các xung điện ngắn nhưng cường độ cao nhằm làm choáng váng con mồi và ngăn cản kẻ thù. Sự khác biệt về nồng độ ion, chủ yếu là Na+ và K+, tạo ra sức điện động ở mức 0,1 V. Bằng cách kết nối hàng nghìn tế bào này thành chuỗi, những loài cá Nam Mỹ này có thể tạo ra các xung điện ngắn cao tới 500 V.

Hình ảnh. Một con lươn điện.
Câu 50 [560519]: Pin nồng độ được tạo ra dựa trên nguyên tắc sự chênh lệch về
A, bản chất kim loại.
B, nồng độ.
C, thời gian.
D, số lượng e trao đổi.
Pin nồng độ được tạo ra dựa trên nguyên tắc sự chênh lệch về nồng độ của cùng một chất ở hai điện cực, dẫn đến sự dịch chuyển của ion và tạo ra dòng điện.
Trong pin nồng độ, hai điện cực thường được làm từ cùng một kim loại, nhưng nhúng vào dung dịch điện phân có nồng độ khác nhau.
Do sự chênh lệch nồng độ, xảy ra phản ứng oxy hóa ở cực âm và phản ứng khử ở cực dương .Ion kim loại di chuyển từ dung dịch có nồng độ cao sang dung dịch có nồng độ thấp, tạo ra một hiệu điện thế giữa hai điện cực.
⇒ Chọn đáp án B Đáp án: B
Trong pin nồng độ, hai điện cực thường được làm từ cùng một kim loại, nhưng nhúng vào dung dịch điện phân có nồng độ khác nhau.
Do sự chênh lệch nồng độ, xảy ra phản ứng oxy hóa ở cực âm và phản ứng khử ở cực dương .Ion kim loại di chuyển từ dung dịch có nồng độ cao sang dung dịch có nồng độ thấp, tạo ra một hiệu điện thế giữa hai điện cực.
⇒ Chọn đáp án B Đáp án: B
Câu 51 [560520]: Khi nồng độ của hai ion trong hai điện cực bằng nhau thì sức điện động của pin bằng
A, +0,000 V.
B, –0,768 V.
C, +0,189 V.
D, –1,648 V.
Khi nồng độ của hai ion trong hai điện cực bằng nhau, sức điện động (E) của pin nồng độ bằng 0. Điều này có nghĩa là không còn sự chênh lệch nồng độ để tạo ra dòng điện, và pin không hoạt động nữa.
⇒ Chọn đáp án A Đáp án: A
⇒ Chọn đáp án A Đáp án: A
Câu 52 [560521]: Chúng ta có thể tính sức điện động của một pin nồng độ bằng cách sử dụng phương trình Nernst.
Trong đó: Epin là sức điện động của pin trong điều kiện không chuẩn (V).
n là số electron trao đổi trong các bán phản ứng.
[Ni2+](aq,l) là nồng độ ion Ni2+(aq) trong dung dịch loãng.
[Ni2+](aq,đ) là nồng độ ion Ni2+(aq) trong dung dịch đặc.
Đối với trường hợp cụ thể này, chúng ta thấy rằng n = 2. Do đó, sức điện động ở 298 K là
Một pin nồng độ được tạo bởi hai điện cực Fe với nồng độ của ion Fe2+(aq) trong hai dung dịch lần lượt là 2,00×10–3 M và 5,00×10–2 M. Sức điện động mà pin nồng độ này tạo ra là

n là số electron trao đổi trong các bán phản ứng.
[Ni2+](aq,l) là nồng độ ion Ni2+(aq) trong dung dịch loãng.
[Ni2+](aq,đ) là nồng độ ion Ni2+(aq) trong dung dịch đặc.
Đối với trường hợp cụ thể này, chúng ta thấy rằng n = 2. Do đó, sức điện động ở 298 K là

A, +0,580 V.
B, –0,718 V.
C, +0,041 V.
D, –0,471 V.
Fe2+ + 2e ⟶ Fe
⟶ n = 2
Một pin nồng độ được tạo bởi hai điện cực Fe với nồng độ của ion Fe2+(aq) trong hai dung dịch lần lượt là 2,00 × 10–3 M và 5,00 × 10–2 M.
Sức điện động mà pin nồng độ này tạo ra là:
Epin =
⇒ Chọn đáp án C Đáp án: C
⟶ n = 2
Một pin nồng độ được tạo bởi hai điện cực Fe với nồng độ của ion Fe2+(aq) trong hai dung dịch lần lượt là 2,00 × 10–3 M và 5,00 × 10–2 M.
Sức điện động mà pin nồng độ này tạo ra là:
Epin =
⇒ Chọn đáp án C Đáp án: C
PIN NỒNG ĐỘ SINH HỌC
Trái tim con người là một thứ kỳ diệu của sự tạo hóa. Trong một ngày bình thường, tim của một người trưởng thành bơm hơn 7.000 L máu qua hệ thống tuần hoàn, nó thường không cần bảo trì ngoài việc đảm bảo chế độ ăn uống và lối sống hợp lý. Chúng ta thường nghĩ về trái tim như một thiết bị cơ học, lưu thông máu thông qua việc co thắt cơ đều đặn. Tuy nhiên, cách đây hơn hai thế kỷ, hai nhà tiên phong về điện là Luigi Galvani (1729–1787) và Alessandro Volta (1745–1827), đã phát hiện ra rằng sự co bóp của tim được điều khiển bởi hiện tượng điện, cũng như các xung thần kinh khắp cơ thể. Các xung điện khiến tim đập là kết quả của sự kết hợp đáng chú ý giữa điện hóa học và đặc tính của màng bán thấm. Thành tế bào là màng có tính thấm thay đổi đối với một số ion quan trọng về mặt sinh lý (đặc biệt là các ion Na+, K+ và Ca2+). Nồng độ của các ion này khác nhau đối với chất lỏng bên trong tế bào (dịch nội bào kí hiệu ICF) và bên ngoài tế bào (dịch ngoại bào kí hiệu ECF). Ví dụ, trong tế bào cơ tim, nồng độ K+ trong ICF và ECF lần lượt là khoảng 135 milimol (mM) và 4 mM. Tuy nhiên, đối với Na+, sự chênh lệch nồng độ giữa ICF và ECF lại ngược lại so với K+; thông thường, [Na+]ICF = 10 mM và [Na+]ECF = 145 mM.
Màng tế bào ban đầu có tính thấm đối với ion K+ nhưng lại ít hơn đối với ion Na+ và Ca2+. Sự khác biệt về nồng độ ion K+ giữa ICF và ECF tạo ra một pin nồng độ. Mặc dù các ion giống nhau hiện diện ở cả hai phía của màng, nhưng có một sự khác biệt về nồng độ. Ở nhiệt độ sinh lý 37 oC, một điện thế tồn tại trên màng do nồng độ ion K+ không đồng đều

Vào cuối những năm 1800, các nhà khoa học phát hiện ra rằng các xung điện gây ra sự co bóp của cơ tim đủ mạnh để có thể phát hiện được trên bề mặt cơ thể. Quan sát này đã hình thành cơ sở cho điện tâm đồ, theo dõi tim không xâm lấn bằng cách sử dụng một dãy điện cực phức tạp trên da để đo sự thay đổi điện áp trong nhịp tim. Một điện tâm đồ điển hình được thể hiện trong Hình 20.17. Điều đáng chú ý là, mặc dù chức năng chính của tim là bơm máu cơ học, nhưng nó lại được theo dõi dễ dàng nhất bằng cách sử dụng các xung điện được tạo ra bởi các tế bào điện cực nhỏ.

Hình ảnh. Một điện tâm đồ điển hình.
Câu 53 [560522]: Theo bài đọc, thành tế bào là màng có tính thấm thay đổi đối với một số ion quan trọng về mặt sinh lý, đặc biệt là các ion
A, K+, Cu2+ và Ag+.
B, Na+, K+ và Mg2+.
C, Na+, K+ và Ca2+.
D, Na+, Li+ và Fe2+.
Theo bài đọc, thành tế bào là màng có tính thấm thay đổi đối với một số ion quan trọng về mặt sinh lý, đặc biệt là các ion Na+, K+ và Ca2+.
Chọn đáp án C Đáp án: C
Chọn đáp án C Đáp án: C
Câu 54 [560523]: Điện thế tồn tại trên màng do sự chênh lệch nồng độ ion Na+ là bao nhiêu?
A, 48,46 mV.
B, 71,42 mV.
C, 93,47 mV.
D, 16,90 mV.

Chọn đáp án B Đáp án: B
Câu 55 [560524]: Sự chênh lệch nồng độ giữa ICF và ECF càng lớn thì điện thế tồn tại trên màng
A, càng lớn.
B, càng nhỏ.
C, không đổi.
D, không xác định.
Theo PT Nerst: E = RT/nF × ln( ECF/ICF)
Nếu độ chênh lệch nồng độ ECF và ICF càng lớn thì E càng lớn=> điện thế tồn tại trên màng tế bào càng lớn.
Chọn đáp án A Đáp án: A
Nếu độ chênh lệch nồng độ ECF và ICF càng lớn thì E càng lớn=> điện thế tồn tại trên màng tế bào càng lớn.
Chọn đáp án A Đáp án: A
ĂN MÒN ĐIỆN HÓA HỌC
Thuật ngữ ăn mòn thường đề cập đến sự hư hỏng của kim loại do quá trình ăn mòn điện hóa. Có rất nhiều ví dụ về sự ăn mòn, bao gồm rỉ sét trên sắt, xỉn màu trên bạc và lớp vẩy màu xanh hình thành trên đồng và đồng thau.Sự hình thành rỉ sét trên sắt (Fe) cần có oxygen (O2) và nước. Mặc dù các phản ứng liên quan khá phức tạp và chưa được hiểu đầy đủ nhưng các bước chính được cho là như sau. Một vùng bề mặt kim loại đóng vai trò là anode, nơi xảy ra quá trình oxi hóa sau:
Fe(s) → Fe2+(aq) + 2e
Các electron bị sắt nhường lại sẽ khử oxygen trong khí quyển thành nước ở cathode, đây là một vùng khác trên cùng bề mặt kim loại:
O2(g) + 4H+(aq) + 4e → 2H2O(l)
Phản ứng oxi hóa khử tổng thể là:
2Fe(s) + O2(g) + 4H+(aq) → 2Fe2+(g) + 2H2O(l)
Lưu ý rằng phản ứng này xảy ra trong môi trường acid. Các ion H+ được cung cấp một phần nhờ phản ứng của carbon dioxide trong khí quyển với nước để tạo thành acid yếu, carbonic acid (H2CO3). Các ion Fe2+ hình thành ở anode tiếp tục bị oxi hóa bởi oxygen như sau:
4Fe2+(aq) + O2(g) + (4 + 2x)H2O(l) → 2Fe2O3.xH2O(s) + 8H+(aq)
Dạng sắt(III) oxide ngậm nước Fe2O3 .xH2O được gọi là rỉ sét. Lượng nước kết hợp với sắt(III) oxide thay đổi nên chúng ta biểu diễn công thức là Fe2O3.xH2O.
Hình vẽ dưới thể hiện cơ chế hình thành rỉ sét. Mạch điện được hoàn thành nhờ sự di chuyển của các electron và ion; đây là lý do tại sao hiện tượng rỉ sét xảy ra rất nhanh trên vỏ tàu khi ở trong nước biển. Ở vùng khí hậu lạnh, muối (NaCl hoặc CaCl2) được rắc trên mặt đường để hạn chế việc nước đóng băng trên mặt đường làm trơn trượt nhưng nó cũng là nguyên nhân chính hình thành rỉ sét trên ô tô.

Hình vẽ. Quá trình ăn mòn điện hóa liên quan đến sự hình thành rỉ sét
Câu 56 [382643]: Nhận xét nào sau đây về ion Fe2+ đúng?
A, Hình thành ở Anode.
B, Hình thành ở Cathode.
C, Bị oxygen khử.
D, Bị ion H+ oxy hóa.
Các ion Fe2+ hình thành ở Anode tiếp tục bị oxy hóa bởi oxygen như sau:
4Fe2+(aq) + O2(g) + (4 + 2x)H2O(l) → 2Fe2O3.xH2O(s) + 8H+(aq)
Chọn đáp án A Đáp án: A
4Fe2+(aq) + O2(g) + (4 + 2x)H2O(l) → 2Fe2O3.xH2O(s) + 8H+(aq)
Chọn đáp án A Đáp án: A
Câu 57 [382644]: Công thức phân tử của gỉ sét là
A, Fe2O3 .xH2O.
B, Fe(OH)2 .xH2O.
C, Fe(OH)3 .xH2O.
D, FeO .xH2O.
Iron(III) oxide ngậm nước Fe2O3 .xH2O được gọi là rỉ sét. Lượng nước kết hợp với iron (III) oxide thay đổi nên chúng ta biểu diễn công thức là Fe2O3.xH2O.
Chọn đáp án A Đáp án: A
Chọn đáp án A Đáp án: A
Câu 58 [382645]: Trong số phát biểu sau:
(i) Khi xảy ra hiện tượng ăn mòn, electron di chuyển tử cathode về anode.
(ii) Trong quá trình ăn mòn, môi trường acid chủ yếu do carbonic acid cung cấp.
(iii) Lắp thêm tấm kim loại Zn trên vỏ tàu để bảo vệ vỏ tàu được lâu hơn.
(iv) Hiện tượng rỉ sét xảy ra rất nhanh trong nước biển.Số phát biểu đúng là
(i) Khi xảy ra hiện tượng ăn mòn, electron di chuyển tử cathode về anode.
(ii) Trong quá trình ăn mòn, môi trường acid chủ yếu do carbonic acid cung cấp.
(iii) Lắp thêm tấm kim loại Zn trên vỏ tàu để bảo vệ vỏ tàu được lâu hơn.
(iv) Hiện tượng rỉ sét xảy ra rất nhanh trong nước biển.Số phát biểu đúng là
A, 1.
B, 2.
C, 3.
D, 4.
Phân tích các phát biểu:
❌(i)Sai. Khi xảy ra hiện tượng ăn mòn, electron di chuyển từ anode về cathode
❌(ii)Sai. Trong quá trình ăn mòn, carbonic acid chỉ cung cấp 1 phần H+ để tạo thành môi trường acid, không phải là nguồn chính tạo môi trường acid.
✔️(iii) Đúng. Lắp thêm tấm kim loại Zn trên vỏ tàu để bảo vệ vỏ tàu được lâu hơn do Zn bị ăn mòn trước.
✔️(iv)Đúng. Hiện tượng rỉ sét xảy ra rất nhanh trong nước biển do có sự hình thành mạch điện từ dòng electron di chuyển. Đáp án: B
❌(i)Sai. Khi xảy ra hiện tượng ăn mòn, electron di chuyển từ anode về cathode
❌(ii)Sai. Trong quá trình ăn mòn, carbonic acid chỉ cung cấp 1 phần H+ để tạo thành môi trường acid, không phải là nguồn chính tạo môi trường acid.
✔️(iii) Đúng. Lắp thêm tấm kim loại Zn trên vỏ tàu để bảo vệ vỏ tàu được lâu hơn do Zn bị ăn mòn trước.
✔️(iv)Đúng. Hiện tượng rỉ sét xảy ra rất nhanh trong nước biển do có sự hình thành mạch điện từ dòng electron di chuyển. Đáp án: B
Dạng 5: CÂU HỎI TỰ LUẬN
Câu 59 [1016547]: Người ta thiết lập được pin (I) và pin (II) ở điều kiện chuẩn theo sơ đồ như hình bên.Thiết lập thêm pin (III) gồm kim loại Z(s) nhúng trong dung dịch Z²⁺ và kim loại Y(s) nhúng trong dung dịch Y²⁺ ở điều kiện chuẩn.
a) Sắp xếp theo thứ tự tính khử giảm dần của các kim loại X, Y, Z.
b) Xác định sức điện động của pin Y-Z.
a) Sắp xếp theo thứ tự tính khử giảm dần của các kim loại X, Y, Z.
b) Xác định sức điện động của pin Y-Z.
a) Pin (I), các quá trình xảy ra trong pin
Anode (-) X → X2+ + 2e
Cathode (+) Y2+ + 2e → Y
→ Epin = E(Y) – E(X) = 1,1 V → Tính khử của X > Y
Pin (II), các quá trình xảy ra trong pin
Anode (-) X → X2+ + 2e
Cathode (+) Z2+ + 2e → Z
→ Epin = E(Z) – E(X) = 0,51 V → Tính khử của X > Z
Epin I = 1,1 V; Epin II = 0,51 V đều có anode là X
Từ 2 pin → Thế điện cực của Z2+/Z nhỏ hơn Y2+/Y → Z có tính khử mạnh hơn Y
Thứ tự giảm giần tính khử là X > Z > Y.
b) Pin III với anode là Z và cathode là Y
Quá trình xảy ra trong pin
Anode (-) Z → Z2+ + 2e
Cathode (+) Y2+ + 2e → Y
→ Epin = E(Y) – E(Z) = 1,1 – 0,51 = 0,59 V
Anode (-) X → X2+ + 2e
Cathode (+) Y2+ + 2e → Y
→ Epin = E(Y) – E(X) = 1,1 V → Tính khử của X > Y
Pin (II), các quá trình xảy ra trong pin
Anode (-) X → X2+ + 2e
Cathode (+) Z2+ + 2e → Z
→ Epin = E(Z) – E(X) = 0,51 V → Tính khử của X > Z
Epin I = 1,1 V; Epin II = 0,51 V đều có anode là X
Từ 2 pin → Thế điện cực của Z2+/Z nhỏ hơn Y2+/Y → Z có tính khử mạnh hơn Y
Thứ tự giảm giần tính khử là X > Z > Y.
b) Pin III với anode là Z và cathode là Y
Quá trình xảy ra trong pin
Anode (-) Z → Z2+ + 2e
Cathode (+) Y2+ + 2e → Y
→ Epin = E(Y) – E(Z) = 1,1 – 0,51 = 0,59 V
Câu 60 [1016548]: Một pin Galvani được thiết lập ở điều kiện chuẩn theo sơ đồ như hình sau:

Cho biết:
∎ Thế điện cực chuẩn:
∎ Điện lượng mà pin đã cung cấp: q = ne × F.
∎ Điện năng cực đại (công cực đại) mà pin đã cung cấp cho bóng đèn ở điều kiện chuẩn:
Amax pin cung cấp = q ×
= P × t
Trong đó: ∎ Amax là điện năng cực đại (J hay Ws);
∎ q là điện lượng (C hay As);
∎ ne là số mol electron đi qua dây dẫn;
∎
là sức điện động chuẩn của pin (V);
∎ P là công suất của bóng đèn (W);
∎ t là thời gian bóng đèn được thắp sáng liên tục (s).
a) Xác định sức điện động chuẩn của pin theo đơn vị V.
b) Khối lượng Zn cần sử dụng trong pin để pin cung cấp một điện lượng bằng 17370 mAh là bao nhiêu gam? Giả thiết hiệu suất các quá trình đều bằng 100%.
c) Coi toàn bộ điện năng cực đại (công cực đại) do pin sinh ra khi tiêu thụ hết 65 gam Zn ở điều kiện chuẩn dùng để thắp sáng một bóng đèn với công suất 20 W thì thời gian bóng đèn được thắp sáng liên tục là bao nhiêu giờ?

Cho biết:
∎ Thế điện cực chuẩn:
∎ Điện lượng mà pin đã cung cấp: q = ne × F.
∎ Điện năng cực đại (công cực đại) mà pin đã cung cấp cho bóng đèn ở điều kiện chuẩn:
Amax pin cung cấp = q ×
= P × tTrong đó: ∎ Amax là điện năng cực đại (J hay Ws);
∎ q là điện lượng (C hay As);
∎ ne là số mol electron đi qua dây dẫn;
∎
là sức điện động chuẩn của pin (V);∎ P là công suất của bóng đèn (W);
∎ t là thời gian bóng đèn được thắp sáng liên tục (s).
a) Xác định sức điện động chuẩn của pin theo đơn vị V.
b) Khối lượng Zn cần sử dụng trong pin để pin cung cấp một điện lượng bằng 17370 mAh là bao nhiêu gam? Giả thiết hiệu suất các quá trình đều bằng 100%.
c) Coi toàn bộ điện năng cực đại (công cực đại) do pin sinh ra khi tiêu thụ hết 65 gam Zn ở điều kiện chuẩn dùng để thắp sáng một bóng đèn với công suất 20 W thì thời gian bóng đèn được thắp sáng liên tục là bao nhiêu giờ?
a) Quá trình xảy ra trong pin
Anode (-) Zn → Zn2+ + 2e
Cathode (+) Ag+ + e → Ag
→ Epin = E(+) – E(-) = 0,799 – (-0,762) = 1,561 V
b) Khối lượng Zn cần sử dụng trong pin để pin cung cấp một điện lượng bằng 17370 mAh là
c) Số mol của Zn là nZn = 65/65 = 1 mol
Quá trình xảy ra trong pin
Thời gian bóng đèn thắp sáng liên tục là
Anode (-) Zn → Zn2+ + 2e
Cathode (+) Ag+ + e → Ag
→ Epin = E(+) – E(-) = 0,799 – (-0,762) = 1,561 V
b) Khối lượng Zn cần sử dụng trong pin để pin cung cấp một điện lượng bằng 17370 mAh là
c) Số mol của Zn là nZn = 65/65 = 1 mol
Quá trình xảy ra trong pin
Thời gian bóng đèn thắp sáng liên tục là