PHẦN I. Thí sinh trả lời từ câu 1 đến câu 18. Mỗi câu hỏi thí sinh chỉ chọn một phương án.
Phân tích đề bài:
Gene A/a nằm trên NST thường (không phải NST giới tính).
Bệnh bạch tạng do allel lặn a quy định.
Bố mẹ bình thường → không bị bệnh ⇒ không phải aa
Con trai bị bạch tạng ⇒ kiểu gen aa
→ Muốn sinh con aa, thì mỗi bố mẹ phải mang một alen a, tức là đều dị hợp Aa.
Xét các đáp án:
A. Đúng. Aa × Aa → Có thể sinh con aa. ✅
B. Sai. Aa × AA → Không thể sinh con aa. ❌
C. Sai. AA × AA → Chỉ sinh con AA . ❌
D. Sai. XAXa × XAY → Gene nằm trên NST giới tính, không phù hợp đề bài (NST thường). ❌
Bệnh máu khó đông do gene lặn (Xᵃ) nằm trên NST X.
Nam giới chỉ có 1 X, nếu mang Xᵃ → bị bệnh Nữ giới bình thường có thể là XᴬXᴬ (không mang gene) hoặc XᴬXᵃ (mang gene) Xét từng người:
(1) Người vợ đầu tiên – nữ bình thường
→ Có con trai bị bệnh (XᵃY) ⇒ phải truyền Xᵃ
⇒ Vậy bà phải là XᴬXᵃ
(2) Người chồng – bị máu khó đông
→ Nam bị bệnh ⇒ XᵃY
(3) Con trai họ – bị bệnh ⇒ XᵃY
→ Lấy vợ (4) bình thường mà sinh con trai (5) cũng bị bệnh
(4) Vợ (3) – bình thường
→ Sinh con trai (5) bị bệnh ⇒ mẹ phải cho Xᵃ
⇒ Vậy mẹ là XᴬXᵃ
(5) Bé trai – bị bệnh ⇒ XᵃY
---> Đáp án: D
Đáp án: C- Bố mẹ đều có kiểu hình trội mà sinh đứa con đầu lòng có kiểu hình lặn chứng tỏ bố mẹ đều có kiểu gene dị hợp → Kiểu gene của bố mẹ là AaBb
.- Bố mẹ đều có kiểu gene AaBb thì khi sinh đứa con thứ 2, xác suất để sinh đứa con này có da đen và mắt nâu là
= 56,25%.- Bài toán yêu cầu đứa con thứ hai là con trai và có da đen, mắt nâu nên xác suất bằng
=
= 28,125%.--> Đáp án: D Đáp án: D
- Xác suất sinh con không bị mù màu:
Kiểu gene của chồng là XAY.
Kiểu gene của vợ là XAXa (vì bố của vợ bị bệnh). → Xác suất sinh con không bị mù màu là = 3/4.
- Xác suất sinh con không bị bạch tạng:
Kiểu gene của vợ là Bb (vì mẹ của vợ bị bạch tạng).
Kiểu gene của chồng là 1/3BB : 2/3Bb (vì em của vợ bị bệnh).
→ Xác suất sinh con bị bệnh bạch tạng = 2/3 × 1/4 = 1/6.
→ Xác suất sinh con không bị bệnh bạch tạng = 1 – 1/6 = 5/6.
→ Xác suất sinh con không bị bệnh = 3/4 × 5/6 = 5/8.
--> Đáp án: B
Đáp án: B- Con trai mù màu có kiểu gene là XmHY ⟶ Đã nhận XmH từ mẹ.
- Con trai bị máu khó đông có kiểu gene là XMhY ⟶ Đã nhận XMh từ mẹ.
Như vậy, mẹ phải có kiểu gene XMhXmH để có thể sinh ra giao tử XMh và giao tử XmH. Trong trường hợp có hoán vị gene thì cơ thể XMHXmh củng có thể sinh ra 2 loại giao tử nói trên ⟶ Đáp án D. Đáp án: D
Phân tích di truyền:
Gene m nằm trên NST X, di truyền theo liên kết giới tính.
Bố: XᴹY (bình thường); Mẹ: XᴹXᵐ (mang gene lặn, bình thường)
Tạo giao tử:
Bố: Xᴹ hoặc Y; Mẹ: Xᴹ hoặc Xᵐ
--> XMY x XMXm→Con trai bị mù màu: XmY = 25%
--> Đáp án: A
Đáp án: APhân tích bài toán:
Bệnh da bạch tạng do gene lặn a trên NST thường.
Bố mẹ đều bình thường nhưng sinh con trai bị bệnh → cả hai phải mang alen a ⇒ kiểu gen của bố và mẹ là Aa × Aa.
Xác suất sinh con kiểu gen:
Từ Aa × Aa:
AA: 25% → bình thường
Aa: 50% → bình thường (mang gene)
aa: 25% → bạch tạng
Vì bệnh không phụ thuộc giới tính (do nằm trên NST thường) ⇒Xác suất sinh con bạch tạng = 25% x 1/2 = 12,5%
--> Đáp án: C
Đáp án: CHệ thống nhóm máu ABO do gene I quy định, trong đó IA và IB đồng trội, IO là allele lặn.
Hệ thống nhóm máu Rh do gene Rh quy định, trong đó Rh+ trội hoàn toan so với Rh-.
Hệ thống nhóm máu Xg do gene Xg(a) quy định, trong đó Xg(a+) trội hoàn toàn so với Xg(a-).
Các gene I, Rh nằm trên các NST thường khác nhau, gene Xg nằm trên NST giới tính X không có allele trên Y. Dưới đây là kết quả xét nghiệm máu của một bé gái, mẹ của bé gái và 4 người đàn ông (M1, M2, M3, M4) nghi ngờ là bố của bé gái này.

Biết rằng không xảy ra đột biến. Dựa vào kết quả xét nghiệm, có bao nhiêu nhận định sau đây đúng?
I. Người mẹ có kiểu gene dị hợp về 2 cặp gene.
II. M1 chắc chắn không phải là bố của đứa trẻ.
III. M2 có thể là bố của đứa trẻ, vì có nhóm máu Xg(a-).
IV. M3 có thể là bố của đứa trẻ.

- Nhìn vào kiểu gen, chúng ta thấy: Người mẹ đã truyền gene Xga- cho con gái nên mẹ có kiểu gene dị hợp về 2 cặp gene. → I đúng.✅
- II đúng. Vì M1 có nhóm máu Xga+ (nên có kiểu gene XAY) và mẹ có kiểu gene XAXa nên không thể sinh con gái có XaXa.✅
- III sai. Vì M2 có nhóm máu Rh- và mẹ có Rh- thì không thể sinh ra con gái có Rh+.❌
- IV đúng. Vì M3 có có nhóm máu B và mẹ có máu AB thì vẫn có thể sinh con máu A; M3 có Rh+ và mẹ có Rh- thì vẫn có thể sinh con có Rh+; M3 có N, mẹ có máu MN thì vẫn có thể sinh con có máu MN; M3 có máu Xga- (nên có kiểu gene XaY) và mẹ có XAXa nên có thể sinh con gái có XaXa.✅ Đáp án: B

Biết không xảy ra đột biến. Phát biểu nào sau đây đúng?
A. Sai.❌
- Mẫu 3 có 1 băng, có độ đậm bằng mẫu 7 nhưng có kích thước nhỏ hơn, chứng tỏ không thay đổi mức biểu hiện nhưng chuỗi polypeptide ngắn hơn.
→ đột biến ở gene này là đột biến vô nghĩa (làm kết thúc dịch mã sớm), hoặc đột biến làm thay đổi cắt nối exon-intron.
→ thay đổi độ dài mRNA trưởng thành, hoặc đột biến mất đoạn gene ở vùng mã hóa.
- Mẫu 6 không xuất hiện băng, chứng tỏ enzyme A không được tạo thành. → đây có thể là đột biến ở vùng điều hòa phiên mã của gene A (không có sản phẩm phiên mã) hoặc đột biến sai nghĩa ở bộ ba mở đầu dịch mã (không được dịch mã) hoặc đột biến dịch khung (tạo chuỗi polypeptide có trình tự aa khác).
Kí hiệu allele đột biến là a, allele kiểu dại là A
B Sai. Người số 1 và người số 4 có thể có kiểu gene khác nhau.❌
C Sai. Mẹ của người số 1 có thể có kiểu gene khác với mẹ của người số 4.❌ Đáp án: D

Mỗi bệnh do 1 trong 2 allele của 1 gene nằm ở vùng không tương đồng trên NST giới tính X quy định, 2 gene này cách nhau 20cM. Theo lí thuyết, có bao nhiêu phát biểu sau đây đúng?
I. Người số 1 và người số 3 có thể có kiểu gene giống nhau.
II. Xác định được chắc chắn kiểu gene của 6 người.
III. Xác suất sinh con bị cả 2 bệnh của cặp 6 - 7 là 0,04.
IV. Xác suất sinh con thứ ba không bị bệnh của cặp 3 - 4 là 0,3.
* Quy ước:
A: bình thường, a: máu khó đông.
B: bình thường, b: mù màu.
Người số 5 có kiểu gen XaBY sẽ nhận XaB từ mẹ nên người số 3 có kiểu gen XA-XaB .
Người số 4 và số 2 có kiểu gen XAbYVì số 2 có kiểu gen XAbY nên số 3 chắc chắn có kiểu gen XAbXaB"
(1) có thể có kiểu gen XA-XaB " Số 1 và số 3 có thể có kiểu gen giống nhau --> I đúng.
Có 4 người nam (số 2, 4, 5, 7) đều xác định được chính xác kiểu gen.
Người số 3 có kiểu gen XAbXaB " Có 5 người chắc chắn biết được kiểu gen --> II sai.
III Sai. Người số 3 giảm phân cho giao tử XAb = XaB = 0,4; XAB = Xab = 0,1 --> Người số 6 có kiểu gen 4/5XAbXaB : 1/5 XABXAb .
Xác suất sinh con bị cả 2 bệnh của cặp 6-7 là 4/5 × 0,1 Xab × 1/2Y = 1/25.
IV Đúng. Xác suất sinh con thứ ba không bị bệnh của cặp 3-4 là0,1 XAB.(1/2 XAb + 1/2Y) + 0,4 XaB.1/2XAb = 0,3.

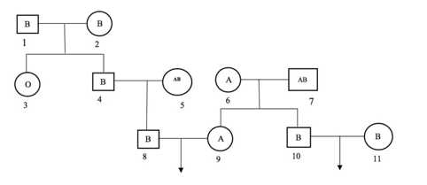
Biết rằng không xảy ra đột biến, người số 11 có bố mang nhóm máu O. Cho các phát biểu:
I. Biết được chính xác kiểu gene của 8 người.
II. Xác suất sinh con có máu O của cặp 8 – 9 là 1/24.
III. Xác suất sinh con có máu A của cặp 8 – 9 là 1/8.
IV. Xác suất sinh con có máu B của cặp 10 – 11 là 3/4.
Theo lí thuyết, có bao nhiêu phát biểu đúng?

(1) đúng
(2) đúng,
(3) đúng

(4) đúng Đáp án: A

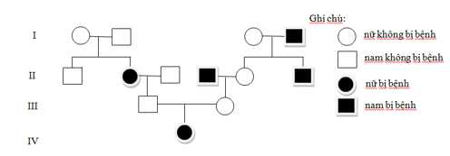
Cho biết không phát sinh đột biến. Theo lí thuyết có bao nhiêu phát biểu sau đây là đúng?
I. Bệnh do allele lặn nằm trên nhiễm sắc thể thường quy định
II. Có nhiều nhất 7 người trong phả hệ này có kiểu gene đồng hợp tử
III. Những người không bị bệnh ở thế hệ I và III đều có kiểu gene giống nhau
IV. Có thể xác định được chính xác tối đa kiểu gene của 11 người trong phả hệ
Lời giải : * Xét cặp vợ chồng III bình thường, có người con bị bệnh
=> allele gây bệnh là allele lặn
Mà người con bị bệnh này là con gái, bố bình thường
=> gene nằm trên nhiễm sắc thể thường
=> I Đúng
Qui ước gene: A- bình thường, a- gây bệnh
Từ kiểu gene của 5 người bị bệnh aa ta xác định đc kiểu gene của các thế hệ I, II, III, IV như sau:

* Có 5 người bị bệnh mang kiểu gene đồng hợp aa và tối đa 2 người II5 và II7 có kiểu gene đồng hợp trội AA
=> II Đúng
* Những người không bị bệnh ở thế hệ I và III đều có kiểu gene giống nhau: Aa
=> III Đúng
* Có thể xác định được chính xác tối đa kiểu gene của 11 người trong phả hệ trừ III5 và III7
=> IV Đúng Đáp án: D

Phân tích phả hệ trên, có bao nhiêu phát biểu sau đây đúng?
I. Có thể xác định được tối đa kiểu gene của 10 người.
II. Tất cả các con của cặp 10-11 đều bị một trong hai bệnh trên.
III. Xác suất sinh con thứ 3 không bị bệnh của cặp 8-9 là 50%.
IV. Hai cặp vợ chồng ở thế hệ thứ hai đều có thể sinh con bị cả hai bệnh.
Hướng dẫn: A.
Có 1 phát biểu đúng, đó là III. Giải thích.
- Cặp số 8-9 không bị bệnh sinh con số 12 là gái bị bệnh M
→ Bệnh M do gen lặn nằm trên NST thường.
- Cặp số 8-9 không bị bệnh sinh con số 13 bị bệnh N→ Bệnh N do gen lặn quy định.
Vì bài toán cho biết gen quy định hai bệnh cùng nằm trên một NST→ Cả hai bệnh đều do gen lặn nằm trên NST thường.
Quy ước: m quy định bệnh M; n quy định bệnh N; các alen trội M và N không quy định bệnh
- Theo bài ra, người số 5 có kiểu gene là Mn/Mn, còn người số 6 có kiểu gene là Mn/mN hoặc MN/mn.
--> Người số 11 có kiểu gene là MN/Mn và Mn/mN, người số 1 có kiểu gene là mn/mn
- Người số 7 có kiểu gene là MN/mn, người số 8 có kiểu gene là MN/mn -> Người số 2 có kiểu gene MN-
- Người số 3 bị bệnh M mà con sinh ra bị bệnh N --> Người số 3 có kiểu gene là mN/mn
- Người số 10 có kiểu gene Mn/mn --> Người số 9 có KG: mN/Mn.
- Người số 12 có kiểu gene là mN/mN , người số 13 có kiểu gene là : Mn/mn
* Theo đó, ta có:
I. Sai. Chỉ xác định được 9 kiểu gene , còn kiểu gene chưa xác định: 2, 4, 6, 11.❌
II. Sai. Người số 10 có kiểu gene là Mn/mn, người số 11 có kiểu gene là MN/Mn hoặc mN/Mn. Giả sử kiểu gene của người số 11 là MN/Mn thì con sinh ra vẫn có thể không bị bệnh là: Mn/MN, MN/mn.❌
III. Đúng. Vì người bố số 9 luôn cho giao tử có cả allele bình thường và gây bệnh một trong 2 --> Muốn con bình thường người mẹ số 8 phải cho con giao tử MN.
--> Xác suất sinh con thứ 3 không bị bệnh của cặp 8-9 = 0,5.1=50%✅
IV. Sai. Vì cặp 8-9 và không thể sinh ra con mang cả 2 bệnh. Nếu có bệnh, chỉ có thể mang một trong 2 bệnh. ❌
Đáp án: A
Hướng dẫn:

Người (13) xác định được kiểu gene là vì bố bình thường và mẹ bị 2 bệnh này.
Người (11) xác định được kiểu gene vì người này nhận
của bố mà sinh ra con trai có kiểu gene
Xét các phát biểu
+ A sai, xác định được tối đa 11 người
+ Những người phụ nữ có khả năng có kiểu gene dị hợp là (1) vì sinh con trai bị bệnh; (13); (15) ,(17), (11) → B đúng
+ C. Xét bên vợ có bố mẹ:
→ người (15) có thể có kiểu gen:
Người chồng (16) có kiểu gene
,ta xét riêng bệnh mù màu: XAXa × XAY → Xs sinh con bị bệnh là 25% → C đúngD, để sinh con bị bệnh máu khó đông thì cặp vợ chồng này phải có kiểu gene
với xác suất 0,8Họ sinh con đầu lòng bị bệnh máu khó đông, ta xét riêng bệnh máu khó đông XBY × XBXb → XbY = 0,8×0,25 = 0,2 → D đúng Đáp án: A
Đáp án: B
A. Sai. Loại bỏ hoàn toàn gene đột biến là rất khó thực hiện bằng liệu pháp gene hiện nay → ❌
B. Đúng. Liệu pháp gene đưa gene lành vào thay thế hoặc bổ sung, giúp phục hồi chức năng bình thường của tế bào → đúng bản chất. ✅
C. Sai. Chỉ tác động triệu chứng mà không ảnh hưởng gene → mô tả thuốc điều trị triệu chứng, không phải liệu pháp gene. ❌
D. Sai. Giảm triệu chứng tạm thời cũng không phải mục tiêu chính của liệu pháp gene → sai. ❌
Đáp án: D
A. Sai. Nghiên cứu trẻ đồng sinh dùng để so sánh vai trò di truyền và môi trường, không phát hiện đột biến NST. ❌
B. Đúng. Nghiên cứu tế bào (quan sát bộ NST) giúp phát hiện bất thường số lượng như XXY (Klinefelter) → đúng. ✅
C. Sai. Di truyền hóa sinh dùng để phát hiện rối loạn chuyển hóa do gene, không phát hiện được đột biến NST. ❌
D. Sai. Phả hệ theo dõi tính trạng trong dòng họ, không xác định được bộ NST. ❌
A. Sai. Gene trội thì chỉ cần mang 1 alen cũng biểu hiện bệnh → không phù hợp vì bệnh chỉ xuất hiện khi cả hai alen đột biến. ❌
B. Đúng. Gene lặn trên NST thường cần cả hai alen đột biến (aa) → đúng với bệnh phenylketon niệu. ✅
C. Sai. Gene trội trên X sẽ làm bệnh biểu hiện nếu có 1 alen, và thường lệch giới tính → không đúng. ❌
D. Sai. Gene trên Y chỉ có ở nam → không hợp lý vì bệnh gặp ở cả nam và nữ. ❌ Đáp án: B

Một đứa trẻ của cặp vợ chồng 1 bị đánh tráo với 1 đứa trẻ của cặp vợ chồng 2. Hai đứa trẻđó là
Hướng dẫn: D
Nhóm máu do gen gồm 3 alen quy định
Bệnh mù màu do gen lặn trên NST X không có alen tương ứng trên Y quy định.
Xét cặp vợ chồng thứ 2:
XaXa×XAY, người bố luôn cho giao tử XA nên không thể sinh ra con gái bị mù màu, → Người (6) không phải con gái của họ- Cặp vợ chồng thứ 2 sinh con trai thì sẽ luôn bị bệnh mù màu → loại phương án A,C- Vợ nhóm máu B, chồng nhóm máu AB, sinh con có thể có nhóm máu : A, B, AB → Không có nhóm máu O → Loại phương án B.
Vậy con của họ bị nhầm trong số con của cặp vợ chồng số 1 là người (4)
II. CÂU HỎI TRẮC NGHIỆM ĐÚNG SAI
Phân tích thông tin và cho biết mỗi phát biểu sau đây đúng hay sai?
Bệnh này là do allele lặn quy định nên chỉ khi mang kiểu gene đồng hợp lặn mới biểu hiện kiểu hình bệnh.
Ta thấy bố mẹ có đủ 4 allele nhưng không biểu hiện kiểu hình bệnh, nhưng con trai A1A3 lại bị bệnh => A1A3 là các allele lặn gây bệnh , A2A4 là các allele bình thường.
b) Đúng:
Thai nhi có kiểu gene A3A4 có mang allele A4 nên không mang bệnh nhưng mang allele A3 là allele gây bệnh nhưng không biểu hiện.
c) Sai:
Gene đột biến là gene lặn vì có 3% người mang allele đột biến không biểu hiện bệnh. Bệnh do allele lặn gây ra.
d) Đúng:
Thai nhi mang kiểu gene là: A3A4.
Có khoảng 3% dân số bình thường mang allele đột biến mang 1 trong 2 allele A1 hoặc A3.
Xác suất sinh ra người con trai bị bệnh là: 1/2.3%.1/2A3.1/2(A1 hoặc A3) = 0,375%.

Khi nói về hai bệnh trên, mỗi nhận định sau đây Đúng hay Sai?
Vận dụng kiến thức về đặc điểm của quá trình di truyền tính trạng ở người để giải bài tập.
Cách giải:
a đúng vì theo đề bài, người vợ có kiểu gen: aaBb (mắc bệnh PKU) và người chồng có kiểu gen: Aabb (mắc bệnh bạch tạng) → Tỉ lệ sinh ra con bị cả 2 bệnh là: ½ × ½ = 25%.✅
b đúng vì người biểu hiện triệu chứng đồng thời cả 2 bệnh chỉ có 3 kiểu gen: aabb; aaB-.✅
c sai vì người bị bệnh PKU có thể điều chỉnh mức biểu hiện của bệnht hông qua chế độ ăn vì Tyrosine có thể thu nhận được trực tiếp một lượng nhỏ từ thức ăn. ❌
d đúng vì hai vợ chồng không mắc bệnh nhưng có thể mang gen bệnh (AaBb).✅
Từ thông tin trên, có các nhận định được rút ra như sau:
Bệnh do gene lặn nằm trên NST X không có allele tương ứng trên Y nên có thể xác định được kiểu gene của tất cả các người nam ở trong phả hệ - có 8 người
Người nữ số 7 bị cả 2 bệnh nên có kiểu gene là XabXab. Người này sinh ra con gái số 13 không bị cả 2 bệnh nhưng nhận 1 NST X từ người mẹ 7 nên kiểu gene là XABXab.
Người con gái số 11 có bố bị bệnh máu khó đông nên đã nhân được NST XAb từ bố. Người này lại có con trại 14 bị mù màu đã nhận NST XAb từ người số 13. Vậy người số 13 có kiểu gene là: XAbXaB.
Những người còn lại không thể xác định được chính xác kiểu gene. Vậy có 11 người có thể xác định dược kiểu gene.
b) đúng. Người thứ nhất dị hợp 2 cặp gene là người con gái số 13. Người còn lại là người con gái số 11.
c) Sai.
Người chồng số 16 có kiểu gene là XABY.
Người vợ số 15 luôn nhận được NST XaB từ bố nên có kiểu gene là XaBX--.
Người này không bị cả 2 bệnh, có mẹ là XAbXaB nên tỉ lệ kiểu gene của người số 15 có thể là: 0,1XaBXAB : 0,4XaBXAb → 1/5XaBXAB : 4/5XaBXAb
Xét riêng tính trạng mù màu: XA Xa x XA Y. Xác suất sinh con đầu lòng bị bệnh mù màu là: 25%.
d) Đúng.
Xác suất sinh con đầu lòng chỉ bị bệnh máu khó đông là: 4/5 x 0,4 x 0,5 = 16%.
Từ thông tin trên, có các nhận định được rút ra như sau:

Người (13) xác định được kiểu gene là vì bố bình thường và mẹ bị 2 bệnh này.
Người (11) xác định được kiểu gene vì người này nhận
của bố mà sinh ra con trai có kiểu gene
Xét các phát biểu
a) sai, xác định được tối đa 11 người
b) Đúng những người phụ nữ có khả năng có kiểu gene dị hợp là (1) vì sinh con trai bị bệnh; (13); (15) ,(17), (11), trong đó đã xác định được kiểu gene của 2 người: 11, 13.
c) Sai. Xét bên vợ có bố mẹ:
người (15) có thể có kiểu gene:
Người chồng (16) có kiểu gene
ta xét riêng bệnh mù màu:
XS sinh con bị bệnh là 25%
d) Đúng. để sinh con bị bệnh máu khó đông thì cặp vợ chồng này phải có kiểu gene
với xác suất 0,8
Họ sinh con đầu lòng bị bệnh máu khó đông, ta xét riêng bệnh máu khó đông
PHẦN III. Thí sinh trả lời từ câu 1 đến 6. Thí sinh điền kết quả mỗi câu vào mỗi ô trả lời tương ứng theo hướng dẫn của phiếu trả lời.
Người mang gen bệnh gồm có Aa và aa. Vì vậy, khi quần thể có 36% số người mang gen bệnh thì số người mang kiểu gen A A = 100% - 36% = 64%.
- Tần số A =

Tần số A = 0,8 => Tần số a = 1 - 0,8 = 0,2.
Tỉ lệ người không mang alen bệnh.
- Cấu trúc di truyền của quần thể: 0,64AA + 0,32Aa + 0,04aa.
- Người không bị bệnh gồm có 0,64AA + 0,32Aa = 0,96.
Trong số những người không bị bệnh, người không mang alen bệnh chiếm 0,64/0,96 = 67%

Biết rằng người phụ nữ số 3 mang gen gây bệnh máu khó đông, nếu người phụ nữ số 13 tiếp tục mang thai đứa con thứ 2 và bác sĩ cho biết thai nhi không bị bệnh bạch tạng, xác suất để thai nhi đó không bị bệnh máu khó đông là bao nhiêu?
- Quy ước gen:
+ A – không bị bạch tạng, a – bị bệnh bạch tạng.
+ B – không bị máu khó đông, b – bị máu khó đông.
- Xác định kiểu gen của từng người trong phả hệ:

Vợ số 13:Aa(1/2XBXB:1/2XBXb) x Chồng số 14: (2/5AA:3/5Aa)XBY
- Ở thế hệ con, tỉ lệ người không bị bệnh bạch tạng là:
A- (XB- + XbY) = (1 - aa)(XB- + XbY) = (1 - 1/2 x 3/10) x (7/8 + 1/8) = 17/20.
- Ở thế hệ con, tỉ lệ người không bị bệnh bạch tạng và không bị bệnh máu khó đông là:
A-XB- = (1- 1/2 x 3/10) x 7/8 = 119/160.
- Vì đã biết sẵn thai nhi không bị bạch tạng nên chỉ tính tỉ lệ con không bị máu khó đông trong những đứa con không bị bạch tạng.
- Trong những đứa con không bị bạch tạng, tỉ lệ con không bị máu khó đông =
= 7/8 = 87,5%. → xác suất thai nhi đó không bị máu khó đông là 87,5% = 0,875 Hướng dẫn giải
XX có các kiểu gene: (XAXA, XAXa, XaXa) x (XBXB, XBXb, XbXb) => 10 loại kiểu gene.
XY có các kiểu gene: (XAB, XAb, XaB, Xab)Y tạo ra 4 loại kiểu gene.
Tổng số loại kiểu gene: 10+4 = 14 loại KG.
Hướng dẫn
- Xét những người bị bệnh X: 2, 5 và 7 trong kiểu gen đều có alen L mà không có alen U → kiểu gen của họ là LL.
- Những người bình thường còn lại đều có cả alen L và alen U → kiểu gen của họ là UL.
→ alen U là alen trội quy định bình thường; alen L là alen lặn quy định bị bệnh.
- Người số 10, 11 đều có kiểu gen là UL
- Xét phép lai UL × UL → 1/4UU : 2/4UL : 1/4LL
→ Xác suất sinh con trai, bị bệnh X của cặp vợ chồng 10, 11 là 1/4 × 1/2 = 1/8
Cách giải:
P: Bố
× Mẹ
Con nhóm máu

Biết rằng bệnh do gene nằm trên NST thường quy định và không xảy ra đột biến. Theo lí thuyết, trong quần thể người có tối đa bao nhiêu kiểu gene quy định bệnh?
Phương pháp:
Bệnh xơ nang: Do đột biến gen CFTR gây ra.
Gia đình: Cả bố và mẹ đều mang gen đột biến CFTR (dị hợp tử).
Con thứ nhất: Bị bệnh xơ nang (đồng hợp tử lặn).
Kiểm tra thai: Muốn biết thai nhi có bị bệnh hay không.
Kỹ thuật: PCR và điện di gel để phân tích chỉ thị vị trí vệ tinh của gen CFTR.
Điện di gel: Dùng để phân tách các đoạn DNA khác nhau dựa trên kích thước. Mỗi đoạn DNA sẽ tạo ra một băng sáng ở vị trí khác nhau trên gel.
Chỉ thị vị trí vệ tinh: Là những đoạn DNA lặp lại nhiều lần, nằm gần hoặc trong gen. Chúng có độ dài khác nhau ở mỗi cá thể, tạo ra các băng sáng khác nhau trên gel, giúp phân biệt các alen khác nhau của một gen.
Mỗi cá nhân có một kiểu băng sáng đặc trưng, tương ứng với kiểu gen của họ.
Bằng cách so sánh các băng sáng của các thành viên trong gia đình, ta có thể suy ra kiểu gen của từng người.
Cách giải:
Xác định di truyền của gene CFTR gây bệnh xơ nang:
Theo đề ra, ta có :
Bố mẹ dị hợp mang kiểu hình bình thường sinh ra con bị bệnh.
→ Allele gây bệnh là allele lặn.
Phân tích kết quả điện di:
Mỗi người mang 2 allele của gene CFTR (vì gen nằm trên NST thường).
Mỗi alelle tương ứng với 1 vạch trên kết quả điện di.
Bố: có 2 vạch A1, A4 → Kiểu gene A1A4
Mẹ: có 2 vạch A2, A3 → Kiểu gene A2A3
Con: có 2 vạch A1, A3 → Kiểu gene A1A3 (nhận A1 từ bố, A3 từ mẹ)
Thai nhi: có 2 vạch A3, A4 → Kiểu gene A3A4 (nhận A3 từ bố, A4 từ mẹ)
Xác định số kiểu gene quy định bệnh:
Trong đó, chỉ có 1 kiểu gene quy định bệnh là A1A3.
Như vậy allele gây bệnh là allele A1 và A3
Vậy các kiểu gene gây bệnh xơ nang là A1A1, A1A3 và A3A3
Như vậy có 3 kiểu gene gây bệnh.