Câu 1 [32853]: Cho hàm số
liên tục và có bảng biến thiên trên đoạn
(hình vẽ). Gọi
là giá trị lớn nhất và giá trị nhỏ nhất của hàm số trên đoạn
. Tìm
.
liên tục và có bảng biến thiên trên đoạn
(hình vẽ). Gọi
là giá trị lớn nhất và giá trị nhỏ nhất của hàm số trên đoạn
. Tìm
.
A,
.
.B,
.
.C,
.
.D,
.
.
Ta có:
Đáp án: D
Đáp án: D
Câu 2 [377585]: Cho hàm số
có bảng biến thiên như hình vẽ. Xét tính đúng sai của các mệnh đề sau
có bảng biến thiên như hình vẽ. Xét tính đúng sai của các mệnh đề sau
a) Sai. Hàm số đã cho có 1 điểm cực trị.
b) Sai. Hàm số không có giá trị nhỏ nhất trên khoảng
c) Đúng.
d) Sai. Hàm số không có giá trị lớn nhất trên tập
b) Sai. Hàm số không có giá trị nhỏ nhất trên khoảng

c) Đúng.

d) Sai. Hàm số không có giá trị lớn nhất trên tập
Câu 3 [399932]: Cho hàm số
có bảng xét dấu đạo hàm như sau:
Biết
,
. Giá trị lớn nhất của hàm số
trên đoạn
bằng
có bảng xét dấu đạo hàm như sau:
Biết
,
. Giá trị lớn nhất của hàm số
trên đoạn
bằng A,
.
.B,
.
.C,
.
.D,
.
.
Ta có bảng biến thiên của hàm số
như sau:
Từ bảng biến thiên ta có:
tại
. Đáp án: A
như sau:
Từ bảng biến thiên ta có:
tại
. Đáp án: A
Câu 4 [677927]: [Đề thi TN THPT 2020]: Giá trị nhỏ nhất của hàm số
trên đoạn
bằng
trên đoạn
bằng A,
.
.B,
.
.C,
.
.D,
.
.
Chọn C.
Ta có

;
;
.
Vậy giá trị nhỏ nhất của hàm số
trên đoạn
bằng
.
Đáp án: C
Ta có


;
;
.Vậy giá trị nhỏ nhất của hàm số
trên đoạn
bằng
.Đáp án: C
Câu 5 [1003388]: Trên đoạn
hàm số
đạt giá trị nhỏ nhất tại điểm
[[20528783]] và giá trị đó bằng [[20528784]] .
Kéo các ô sau thả vào vị trí thích hợp để được khẳng định đúng:
hàm số
đạt giá trị nhỏ nhất tại điểm
[[20528783]] và giá trị đó bằng [[20528784]] .Kéo các ô sau thả vào vị trí thích hợp để được khẳng định đúng:
Để tìm giá trị nhỏ nhất của hàm số trên đoạn
ta thực hiện lần lượt các bước sau:
Bước 1: Tìm các điểm
trên khoảng
mà tại đó
hoặc
không xác định.
Ta có




Vì ta cần tìm các điểm trên khoảng
nên
thỏa mãn.
(không có giá trị của
làm cho
không xác định)
Bước 2: Tính các giá trị hàm số tại các điểm
tìm được ở bước 1 và tại hai giá trị đầu mút.
Ta có

Bước 3: So sánh các giá trị ở bước hai và giá trị nhỏ nhất của hàm số trên đoạn
là giá trị nhỏ nhất ở bước 2.
Từ các giá trị thu được ở bước 2, suy ra giá trị nhỏ nhất của hàm số bằng 4 tại
Lần lượt kéo thả các đáp án: 2; 4.
ta thực hiện lần lượt các bước sau:
Bước 1: Tìm các điểm
trên khoảng
mà tại đó
hoặc
không xác định.
Ta có





Vì ta cần tìm các điểm trên khoảng
nên
thỏa mãn.
(không có giá trị của
làm cho
không xác định)
Bước 2: Tính các giá trị hàm số tại các điểm
tìm được ở bước 1 và tại hai giá trị đầu mút.
Ta có


Bước 3: So sánh các giá trị ở bước hai và giá trị nhỏ nhất của hàm số trên đoạn
là giá trị nhỏ nhất ở bước 2.
Từ các giá trị thu được ở bước 2, suy ra giá trị nhỏ nhất của hàm số bằng 4 tại
Lần lượt kéo thả các đáp án: 2; 4.
Câu 6 [358913]: [Trích SGK Cánh Diều]: Nếu hàm số
có đạo hàm trên
thoả mãn
thì giá trị lớn nhất của hàm số
trên đoạn
bằng:
có đạo hàm trên
thoả mãn
thì giá trị lớn nhất của hàm số
trên đoạn
bằng: A, 

B, 

C, 

D, 

Ta có 
Suy ra hàm số nghịch biến hay đơn điệu giảm trên đoạn
Bảng biến thiên

Vậy giá trị lớn nhất của hàm số bằng
Đáp án: B

Suy ra hàm số nghịch biến hay đơn điệu giảm trên đoạn

Bảng biến thiên

Vậy giá trị lớn nhất của hàm số bằng
Đáp án: B
Câu 7 [28134]: Tìm giá trị lớn nhất của hàm số
trên đoạn
trên đoạn
A, 

B, 

C, 

D, 

HD: Xét hàm số
trên
có
Ta có
Tính các giá trị
Vậy giá trị lớn nhất của hàm số là
Chọn C.
Đáp án: C
trên
có
Ta có
Tính các giá trị
Vậy giá trị lớn nhất của hàm số là
Chọn C.
Đáp án: C
Câu 8 [378934]: Giá trị nhỏ nhất của hàm số
trên đoạn
là:
trên đoạn
là: A, 

B, 

C, 

D, 

Ta có: 



.
Mà
nên 
Lại có:


Đáp án: C




.Mà
nên 
Lại có:



Đáp án: C
Câu 9 [1003389]: Giá trị lớn nhất của hàm số
bằng [[20528799]] đạt được tại
[[20528798]] .
Kéo các ô sau thả vào vị trí thích hợp để được khẳng định đúng:
bằng [[20528799]] đạt được tại
[[20528798]] .Kéo các ô sau thả vào vị trí thích hợp để được khẳng định đúng:
Điều kiện:
Ta có:

Mặt khác
Suy ra
Ta có:

Mặt khác
Suy ra
Câu 10 [31038]: Trong tất cả các hình chữ nhật có cùng diện tích
, hình chữ nhật có chu vi nhỏ nhất là
, hình chữ nhật có chu vi nhỏ nhất là A, 

B, 

C, 

D, 

Đáp án A.
Gọi hai cạnh của hình chữ nhật lần lượt là
với 
Khi đó, chu vi hình chữ nhật
Đáp án: A
Gọi hai cạnh của hình chữ nhật lần lượt là
với 
Khi đó, chu vi hình chữ nhật
Đáp án: A
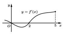
Câu 11 [1003390]: Cho hàm số
có đạo hàm là
Đồ thị của hàm số
được cho như hình vẽ. Biết rằng
Giá trị nhỏ nhất của
trên đoạn
bằng [[20528823]] .
Giá trị lớn nhất của
trên đoạn
bằng [[20528822]] .
Kéo các ô sau thả vào vị trí thích hợp để được khẳng định đúng:
có đạo hàm là
Đồ thị của hàm số
được cho như hình vẽ. Biết rằng
Giá trị nhỏ nhất của
trên đoạn
bằng [[20528823]] .
Giá trị lớn nhất của
trên đoạn
bằng [[20528822]] .
Kéo các ô sau thả vào vị trí thích hợp để được khẳng định đúng:
Từ đồ thị
trên đoạn
ta có bảng biến thiên của hàm số
như hình vẽ sau.
Suy ra
Từ giả thiết, ta có
Hàm số
đồng biến trên
Suy ra
trên đoạn
ta có bảng biến thiên của hàm số
như hình vẽ sau.
Suy ra
Từ giả thiết, ta có
Hàm số
đồng biến trên
Suy ra
Câu 12 [25838]: Giá trị nhỏ nhất của hàm số
trên đoạn
bằng
trên đoạn
bằng A, 

B, 

C, 

D, 

Xét hàm số
trên đoạn
ta có

So sánh các giá trị
ta được
trên đoạn
ta có

So sánh các giá trị
ta được
Chọn A. Đáp án: A
Câu 13 [1002978]: Cho hàm số
a) Đúng.
Ta có
b) Đúng.
Ta có
c) Đúng.
Ta có
Khi đó với
thì
d) Sai.
Ta có
Khi đó với
thì
Với
;
;
Vậy giá trị nhỏ nhất của hàm số
trên
là
Ta có
b) Đúng.
Ta có
c) Đúng.
Ta có
Khi đó với
thì
d) Sai.
Ta có
Khi đó với
thì
Với
;
;
Vậy giá trị nhỏ nhất của hàm số
trên
là
Câu 14 [1002979]: Cho hàm số
Mỗi mệnh đề sau đúng hay sai?
Mỗi mệnh đề sau đúng hay sai?
a) Thay các giá trị 
vào hàm số
ta được


Suy ra mệnh đề a) đúng.
b) Áp dụng công thức đạo hàm:
Điều kiện xác định:
Ta có
Suy ra mệnh đề b) đúng.
c) Từ kết quả phần b), ta có




Vậy
có duy nhất một nghiệm thuộc khoảng
Suy ra mệnh đề c) sai.
d) Nhận xét: Giá trị nhỏ nhất của hàm số trên đoạn
là giá trị nhỏ nhất trong các giá trị sau:
Ta có

Vậy giá trị nhỏ nhất của hàm số trên đoạn
là
Suy ra mệnh đề d) sai.

vào hàm số
ta được


Suy ra mệnh đề a) đúng.
b) Áp dụng công thức đạo hàm:

Điều kiện xác định:
Ta có

Suy ra mệnh đề b) đúng.
c) Từ kết quả phần b), ta có




Vậy
có duy nhất một nghiệm thuộc khoảng
Suy ra mệnh đề c) sai.
d) Nhận xét: Giá trị nhỏ nhất của hàm số trên đoạn
là giá trị nhỏ nhất trong các giá trị sau:
Ta có


Vậy giá trị nhỏ nhất của hàm số trên đoạn
là
Suy ra mệnh đề d) sai.
Câu 15 [1002980]: Cho hàm số
a) Sai
Ta có:



b) Sai


Ta có:

Thử lại thấy
thoả mãn. Vậy 

c) Đúng





d) Đúng
TXĐ:
Ta có bảng biến thiên của hàm số
là:

Vậy hàm số đạt giá trị nhỏ nhất bằng
khi
Ta có:




b) Sai


Ta có:


Thử lại thấy
thoả mãn. Vậy 

c) Đúng





d) Đúng
TXĐ:

Ta có bảng biến thiên của hàm số
là:
Vậy hàm số đạt giá trị nhỏ nhất bằng
khi
Câu 16 [358917]: Trong
giây đầu tiên, một chất điểm chuyển động theo phương trình
trong đó
được tính bằng giây và
tính bằng mét. Chất điểm có vận tốc tức thời lớn nhất bằng bao nhiêu m/s trong
giây đầu tiên đó?
giây đầu tiên, một chất điểm chuyển động theo phương trình
trong đó
được tính bằng giây và
tính bằng mét. Chất điểm có vận tốc tức thời lớn nhất bằng bao nhiêu m/s trong
giây đầu tiên đó?
Ta có:
; 
; 

Lại có:
;
;
.
Suy ra
Vậy chất điểm có vận tốc tức thời lớn nhất bằng
trong 5 giây đầu tiền.
; 
; 

Lại có:
;
;
.Suy ra

Vậy chất điểm có vận tốc tức thời lớn nhất bằng
trong 5 giây đầu tiền.
Câu 17 [28153]: Gọi
là giá trị lớn nhất và
là giá trị nhỏ nhất của hàm số
Khi đó
bằng
là giá trị lớn nhất và
là giá trị nhỏ nhất của hàm số
Khi đó
bằng
TXĐ:
Ta có:

Lại có:


Ta có:


Lại có:



Câu 18 [28160]: Gọi
lần lượt là giá trị lớn nhất và giá trị nhỏ nhất của hàm số
trên đoạn
Khẳng định nào sau đây sai?
lần lượt là giá trị lớn nhất và giá trị nhỏ nhất của hàm số
trên đoạn
Khẳng định nào sau đây sai? A, 

B, 

C, 

D, 

Chọn A.
Đáp án: A
Câu 19 [378926]: Cho hàm số
Đồ thị hàm số
trên đoạn
là đường cong trong hình vẽ.Biết rằng
Xét tính đúng sai của các mệnh đề sau:
Đồ thị hàm số
trên đoạn
là đường cong trong hình vẽ.Biết rằng
Xét tính đúng sai của các mệnh đề sau:
a) Sai, b) Đúng, c) Đúng, d) Sai
Từ đồ thị ta có bảng biến thiên

Từ bảng biến thiên có
Hàm số đồng biến trên đoạn
nên
.
Suy ra
Lại có:


Suy ra
Từ đồ thị ta có bảng biến thiên

Từ bảng biến thiên có

Hàm số đồng biến trên đoạn
nên
.Suy ra

Lại có:


Suy ra
Câu 20 [681587]: Ông An muốn xây một cái bể chứa nước lớn dạng một khối hộp chữ nhật không nắp có thể tích bằng
Đáy bể là hình chữ nhật có chiều dài gấp đôi chiều rộng, giá thuê nhân công để xây bể là
đồng/
Ba kích thước của bể được mô tả như hình vẽ dưới
Nếu ông An biết xác định các kích thước của bể hợp lí thì chi phí thuê nhân công sẽ thấp nhất và (Biết độ dày thành bể và đáy bể không đáng kể). Các mệnh đề sau đúng hay sai?
Đáy bể là hình chữ nhật có chiều dài gấp đôi chiều rộng, giá thuê nhân công để xây bể là
đồng/
Ba kích thước của bể được mô tả như hình vẽ dưới
Nếu ông An biết xác định các kích thước của bể hợp lí thì chi phí thuê nhân công sẽ thấp nhất và (Biết độ dày thành bể và đáy bể không đáng kể). Các mệnh đề sau đúng hay sai?
Đính chính: Các em sửa lại ở ý c) đơn vị diện tích là
nhé!
a) Từ hình vẽ ta có ba kích thước của bể là

Ta có diện tích cách mặt cần xây là
Đúng.
b) Thể tích bể
Đúng.
c) Từ
nên 
Xét hàm số




Bảng biến thiên của hàm số

Đúng.
d)
khi đó chi phí thấp nhất là
triệu đồng.
Đúng.
nhé!
a) Từ hình vẽ ta có ba kích thước của bể là

Ta có diện tích cách mặt cần xây là
Đúng.
b) Thể tích bể
Đúng.c) Từ

nên 
Xét hàm số





Bảng biến thiên của hàm số


Đúng.
d)
khi đó chi phí thấp nhất là
triệu đồng. Đúng.
Câu 21 [28546]: Một nhà máy sản xuất máy tính vừa làm ra
sản phẩm mới và bán với giá là
(USD) cho mỗi sản phẩm. Nhà sản xuất xác định rằng tổng chi phí làm ra
sản phẩm là
(USD). Nhà máy muốn có lợi nhuận lớn nhất thì giá của mỗi sản phẩm là bao nhiêu (đơn vị USD)?
sản phẩm mới và bán với giá là
(USD) cho mỗi sản phẩm. Nhà sản xuất xác định rằng tổng chi phí làm ra
sản phẩm là
(USD). Nhà máy muốn có lợi nhuận lớn nhất thì giá của mỗi sản phẩm là bao nhiêu (đơn vị USD)?
Lợi nhuận của nhà sản xuất là 



Dấu “=” xảy ra khi
Vậy giá bán mỗi sản phẩm là 1000-490=510
Vậy nhà máy muốn có lợi nhuận nhất thì giá của mỗi sản phẩm là
USD.




Dấu “=” xảy ra khi

Vậy giá bán mỗi sản phẩm là 1000-490=510
Vậy nhà máy muốn có lợi nhuận nhất thì giá của mỗi sản phẩm là
USD.
Câu 22 [1003000]: Một doanh nghiệp dự định sản xuất
máy tính bảng dành cho học sinh. Nếu doanh nghiệp đó bán
máy tính bảng
thì giá bán cho mỗi máy tính bảng là
(nghìn đồng), trong đó chí phí để sản xuất mỗi máy tính bảng là
(nghìn đồng). Hỏi doanh nghiệp đó sẽ bán bao nhiêu máy tính bảng để lợi nhuận cao nhất ?
máy tính bảng dành cho học sinh. Nếu doanh nghiệp đó bán
máy tính bảng
thì giá bán cho mỗi máy tính bảng là
(nghìn đồng), trong đó chí phí để sản xuất mỗi máy tính bảng là
(nghìn đồng). Hỏi doanh nghiệp đó sẽ bán bao nhiêu máy tính bảng để lợi nhuận cao nhất ?
Đáp số: 
Tổng doanh thu của doanh nghiệp khi bán
máy tính bảng là:

Tổng chi phí của doanh nghiệp khi bán
máy tính bảng là:



Lợi nhuận mà doanh nghiệp có được là:



Xét hàm số
Ta có

Ta thấy giá trị lớn nhất của
bằng
đạt được tại 
Vậy để lợi nhuận cao nhất thì doanh nghiệp đó cần bán được
máy tính bảng.

Tổng doanh thu của doanh nghiệp khi bán
máy tính bảng là:
Tổng chi phí của doanh nghiệp khi bán
máy tính bảng là:


Lợi nhuận mà doanh nghiệp có được là:



Xét hàm số

Ta có

Ta thấy giá trị lớn nhất của
bằng
đạt được tại 
Vậy để lợi nhuận cao nhất thì doanh nghiệp đó cần bán được
máy tính bảng.
Câu 23 [372695]: Từ một tấm bìa hình chữ nhật có chiều rộng 30 cm và chiều dài 80 cm (Hình 4a), người ta cắt ở bốn góc bốn hình vuông có cạnh
(cm) với
và gấp lại để tạo thành chiếc hộp có dạng hình hộp chữ nhật không nắp như Hình 4b. Tìm
để thể tích chiếc hộp là lớn nhất (kết quả làm tròn đến hàng phần trăm).
(cm) với
và gấp lại để tạo thành chiếc hộp có dạng hình hộp chữ nhật không nắp như Hình 4b. Tìm
để thể tích chiếc hộp là lớn nhất (kết quả làm tròn đến hàng phần trăm).
Chiều dài của hình hộp là
Chiều rộng của chiếc hộp là
Chiều cao của chiếc hộp là
Suy ra thể tích của chiếc hộp là
Xét hàm số
trên đoạn
Ta có
Suy ra
tại
Vậy để thể tích chiếc hộp là lớn nhất khi
Chiều rộng của chiếc hộp là
Chiều cao của chiếc hộp là
Suy ra thể tích của chiếc hộp là
Xét hàm số
trên đoạn
Ta có
Suy ra
tại
Vậy để thể tích chiếc hộp là lớn nhất khi
Câu 24 [1003001]: Một người đàn ông muốn chèo thuyền ở vị trí
tới điểm
về phía hạ lưu bờ đối diện, càng nhanh càng tốt, trên một bờ sông thẳng rộng
(như hình vẽ). Anh có thể chèo thuyền của mình trực tiếp qua sông để đến
và sau đó chạy đến
hay có thể chèo trực tiếp đến
hoặc anh ta có thể chèo thuyền đến một điểm
giữa
và
và sau đó chạy đến
Biết anh ấy có thể chèo thuyền
chạy
và quãng đường
Biết tốc độ của dòng nước là không đáng kể so với tốc độ chèo thuyền của người đàn ông. Gọi
là độ dài quãng đường
a) Chứng minh rằng tổng thời gian di chuyển từ A đến B là
(giờ) 
b) Giải phương trình
c) Tìm thời gian ngắn nhất để người đàn ông đi từ
đến 
tới điểm
về phía hạ lưu bờ đối diện, càng nhanh càng tốt, trên một bờ sông thẳng rộng
(như hình vẽ). Anh có thể chèo thuyền của mình trực tiếp qua sông để đến
và sau đó chạy đến
hay có thể chèo trực tiếp đến
hoặc anh ta có thể chèo thuyền đến một điểm
giữa
và
và sau đó chạy đến
Biết anh ấy có thể chèo thuyền
chạy
và quãng đường
Biết tốc độ của dòng nước là không đáng kể so với tốc độ chèo thuyền của người đàn ông. Gọi
là độ dài quãng đường
a) Chứng minh rằng tổng thời gian di chuyển từ A đến B là
(giờ) 
b) Giải phương trình

c) Tìm thời gian ngắn nhất để người đàn ông đi từ
đến 
Lưu ý: Các em sửa: "x là độ dài quãng đường BD" thành "x là độ dài quãng đường CD” nhé! Vì sách lần đầu xuất bản nên không tránh được những thiếu sót, các thầy cô sẽ hoàn thiện hơn trong những tái bản tiếp theo. Cảm ơn các em!
a) Gọi
là độ dài quãng đường
là độ dài quãng đường 
Thời gian chèo thuyền trên quãng đường
là:
(giờ)
Thời gian chạy trên quãng đường
là:
(giờ)
Tổng thời gian di chuyển từ
đến
là 
b) Xét hàm số
trên khoảng 
Ta có:
; 
Bảng biến thiên

c) Dựa vào bảng biến thiên ta thấy thời gian ngắn nhất để di chuyển từ
đến
là 
Vậy khoảng thời gian ngắn nhất để người đàn ông đến
là
a) Gọi
là độ dài quãng đường
là độ dài quãng đường 
Thời gian chèo thuyền trên quãng đường
là:
(giờ)Thời gian chạy trên quãng đường
là:
(giờ)Tổng thời gian di chuyển từ
đến
là 
b) Xét hàm số
trên khoảng 
Ta có:
; 
Bảng biến thiên

c) Dựa vào bảng biến thiên ta thấy thời gian ngắn nhất để di chuyển từ
đến
là 
Vậy khoảng thời gian ngắn nhất để người đàn ông đến
là
Câu 25 [1003002]: Từ một tấm tôn có kích thước
người ta làm một máng thoát nước bằng cách gập lên một góc
mặt cắt ngang của máng là hình thang cân
có đáy lớn
(tham khảo hình vẽ).

a) Chứng minh diện tích mặt cắt ngang của máng xối là
b) Chứng minh rằng
khi
hoặc 
c) Tính thể tích lớn nhất của máng.
người ta làm một máng thoát nước bằng cách gập lên một góc
mặt cắt ngang của máng là hình thang cân
có đáy lớn
(tham khảo hình vẽ).

a) Chứng minh diện tích mặt cắt ngang của máng xối là

b) Chứng minh rằng
khi
hoặc 
c) Tính thể tích lớn nhất của máng.
Lưu ý: Các em tham khảo hình vẽ trên web nhé! Lần tái bản này có bổ sung các bài tập mới nên không tránh được sự sai sót! Các thầy cô sẽ chỉnh sửa trong lần tái bản tiếp theo. Cảm ơn các em!

+) Gọi chiều dài máng nước là
ta có tổng diện tích tôn làm máng nước theo hình vẽ trên là:
Do tấm tôn làm có kích thước
nên ta có:

+) Gọi
là góc giữa thành máng nghiêng tạo với mặt đất
(tham khảo hình vẽ trên).

Theo yêu cầu bài toán, để có thể tích lớn nhất của máng nước thì diện tích hình thang
đạt giá trị lớn nhất
+ ) Ta có:



Xét:
trên 
Ta có:


+ )

Do
để hàm số
trên
đạt giá trị lớn nhất thì
diện tích hình thang
đạt giá trị lớn nhất là 
Vậy thể tích lớn nhất của máng nước là:

+) Gọi chiều dài máng nước là
ta có tổng diện tích tôn làm máng nước theo hình vẽ trên là:
Do tấm tôn làm có kích thước
nên ta có:

+) Gọi
là góc giữa thành máng nghiêng tạo với mặt đất
(tham khảo hình vẽ trên).
Theo yêu cầu bài toán, để có thể tích lớn nhất của máng nước thì diện tích hình thang
đạt giá trị lớn nhất+ ) Ta có:




Xét:
trên 
Ta có:



+ )

Do
để hàm số
trên
đạt giá trị lớn nhất thì
diện tích hình thang
đạt giá trị lớn nhất là 
Vậy thể tích lớn nhất của máng nước là: