Câu 1 [864647]: Mẫu số liệu ghép nhóm
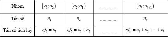
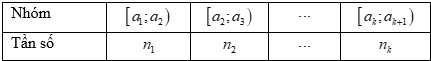
Mẫu số liệu ghép nhóm thường được trình bày dưới bảng thống kê có dạng như sau:

Chú ý:
• Cỡ mẫu:
• Giá trị …………………. của mỗi nhóm được dùng làm đại diện cho nhóm ấy.
• Hiệu ……………………. được gọi là độ dài của nhóm
•
được gọi là tần số tích luỹ.
Mẫu số liệu ghép nhóm thường được trình bày dưới bảng thống kê có dạng như sau:

Chú ý:
• Cỡ mẫu:

• Giá trị …………………. của mỗi nhóm được dùng làm đại diện cho nhóm ấy.
• Hiệu ……………………. được gọi là độ dài của nhóm

•
được gọi là tần số tích luỹ.
Mẫu số liệu ghép nhóm
Mẫu số liệu ghép nhóm thường được trình bày dưới bảng thống kê có dạng như sau:

Chú ý:
• Cỡ mẫu:
• Giá trị chính giữa của mỗi nhóm được dùng làm đại diện cho nhóm ấy.
• Hiệu
được gọi là độ dài của nhóm 
•
được gọi là tần số tích luỹ.
Mẫu số liệu ghép nhóm thường được trình bày dưới bảng thống kê có dạng như sau:

Chú ý:
• Cỡ mẫu:

• Giá trị chính giữa của mỗi nhóm được dùng làm đại diện cho nhóm ấy.
• Hiệu
được gọi là độ dài của nhóm 
•
được gọi là tần số tích luỹ.
Câu 2 [864650]: Số trung bình
Giả sử bảng số liệu được cho dưới dạng bảng tần số ghép nhóm

Số trung bình của mẫu số liệu ghép nhóm, kí hiệu
và được tính như sau:
trong đó
Giả sử bảng số liệu được cho dưới dạng bảng tần số ghép nhóm

Số trung bình của mẫu số liệu ghép nhóm, kí hiệu
và được tính như sau:
trong đó
Số trung bình
Giả sử bảng số liệu được cho dưới dạng bảng tần số ghép nhóm

Số trung bình của mẫu số liệu ghép nhóm, kí hiệu
và được tính như sau:
trong đó
Giả sử bảng số liệu được cho dưới dạng bảng tần số ghép nhóm

Số trung bình của mẫu số liệu ghép nhóm, kí hiệu
và được tính như sau:
trong đó
Câu 3 [864651]: Mốt
Nhóm chứa mốt của mẫu số liệu ghép nhóm là nhóm có tần số lớn nhất.
Giả sử nhóm chứa mốt là
, khi đó mốt của mẫu số liệu ghép nhóm, kí hiệu là
và được xác định bởi công thức: 
Chú ý: Nếu không có nhóm kề trước của nhóm chứa mốt thì
nếu không có nhóm kề sau của nhóm chứa mốt thì
Nhóm chứa mốt của mẫu số liệu ghép nhóm là nhóm có tần số lớn nhất.
Giả sử nhóm chứa mốt là
, khi đó mốt của mẫu số liệu ghép nhóm, kí hiệu là
và được xác định bởi công thức: 
Chú ý: Nếu không có nhóm kề trước của nhóm chứa mốt thì
nếu không có nhóm kề sau của nhóm chứa mốt thì
Mốt
Nhóm chứa mốt của mẫu số liệu ghép nhóm là nhóm có tần số lớn nhất.
Giả sử nhóm chứa mốt là
, khi đó mốt của mẫu số liệu ghép nhóm, kí hiệu là
và được xác định bởi công thức: 
Chú ý: Nếu không có nhóm kề trước của nhóm chứa mốt thì
nếu không có nhóm kề sau của nhóm chứa mốt thì
Nhóm chứa mốt của mẫu số liệu ghép nhóm là nhóm có tần số lớn nhất.
Giả sử nhóm chứa mốt là
, khi đó mốt của mẫu số liệu ghép nhóm, kí hiệu là
và được xác định bởi công thức: 
Chú ý: Nếu không có nhóm kề trước của nhóm chứa mốt thì
nếu không có nhóm kề sau của nhóm chứa mốt thì
Câu 4 [864652]: Tứ phân vị của mẫu số liệu ghép nhóm
– Xét mẫu số liệu ghép nhóm được cho ở bảng sau:

Tứ phân vị thứ
kí hiệu là
(với
của mẫu số liệu ghép nhóm được xác định như sau:
trong đó:
∎
là cỡ mẫu;
∎
là nhóm chứa tứ phân vị thứ 
∎
là tần số của nhóm chứa tứ phân vị thứ 
∎
Lưu ý: Tứ phân vị thứ hai
bằng trung vị
– Xét mẫu số liệu ghép nhóm được cho ở bảng sau:

Tứ phân vị thứ
kí hiệu là
(với
của mẫu số liệu ghép nhóm được xác định như sau:
trong đó:∎
là cỡ mẫu;∎
là nhóm chứa tứ phân vị thứ 
∎
là tần số của nhóm chứa tứ phân vị thứ 
∎

Lưu ý: Tứ phân vị thứ hai
bằng trung vị
Tứ phân vị của mẫu số liệu ghép nhóm
– Xét mẫu số liệu ghép nhóm được cho ở bảng sau:

Tứ phân vị thứ
kí hiệu là
(với
của mẫu số liệu ghép nhóm được xác định như sau:
trong đó:
∎
là cỡ mẫu;
∎
là nhóm chứa tứ phân vị thứ 
∎
là tần số của nhóm chứa tứ phân vị thứ 
∎
Lưu ý: Tứ phân vị thứ hai
bằng trung vị
– Xét mẫu số liệu ghép nhóm được cho ở bảng sau:

Tứ phân vị thứ
kí hiệu là
(với
của mẫu số liệu ghép nhóm được xác định như sau:
trong đó:∎
là cỡ mẫu;∎
là nhóm chứa tứ phân vị thứ 
∎
là tần số của nhóm chứa tứ phân vị thứ 
∎

Lưu ý: Tứ phân vị thứ hai
bằng trung vị