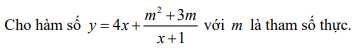
Sử dụng thông tin sau để trả lời 3 câu hỏi dưới đây:

Câu 1 [1005692]: Với
hàm số đã cho có giá trị cực đại bằng
hàm số đã cho có giá trị cực đại bằng A, 

B, 

C, 

D, 

Thay
vào hàm số trở thành:

Tập xác định của hàm số:



Ta có BBT:
Giá trị cực đại của hàm số khi
là
Chọn đáp án B. Đáp án: B
vào hàm số trở thành:

Tập xác định của hàm số:



Ta có BBT:
Giá trị cực đại của hàm số khi
là
Chọn đáp án B. Đáp án: B
Câu 2 [1005693]: Có bao nhiêu giá trị của tham số
để hàm số đã cho đạt cực trị tại điểm
để hàm số đã cho đạt cực trị tại điểm
A, 

B, 

C, 

D, 

Hàm số đã cho là
Để hàm số đạt cực trị, trước tiên ta cần tìm đạo hàm của nó.

Hàm số đạt cực trị tại
Một hàm số đạt cực trị tại một điểm
khi và chỉ khi
và
đổi dấu khi đi qua
.
Ta cần:
Với
và
Ta có BBT:
Vì qua nghiệm
đồ thị không đổi dấu.
Vậy không có giá trị của tham số
để hàm số đạt cực trị tại điểm
Chọn đáp án D. Đáp án: D
Để hàm số đạt cực trị, trước tiên ta cần tìm đạo hàm của nó.

Hàm số đạt cực trị tại

Một hàm số đạt cực trị tại một điểm
khi và chỉ khi
và
đổi dấu khi đi qua
.
Ta cần:
Với
và
Ta có BBT:
Vì qua nghiệm
đồ thị không đổi dấu.
Vậy không có giá trị của tham số
để hàm số đạt cực trị tại điểm
Chọn đáp án D. Đáp án: D
Câu 3 [1005694]: Có tất cả bao nhiêu giá trị nguyên của tham số
để hàm số đã cho đồng biến trên từng khoảng xác định của nó?
để hàm số đã cho đồng biến trên từng khoảng xác định của nó? A, 

B, 

C, 

D, 

Hàm số
có tập xác định
.
Để hàm số đồng biến trên từng khoảng xác định, đạo hàm
.
Giải bất phương trình
( Vì
luôn dương với mọi
Ta cần tìm
để bất đẳng thức đúng với mọi
Các giá trị nguyên của
thỏa mãn
là:
Số giá trị nguyên là
Chọn đáp án A.
có tập xác định
.
Để hàm số đồng biến trên từng khoảng xác định, đạo hàm
.
Giải bất phương trình
( Vì
luôn dương với mọi
Ta cần tìm
để bất đẳng thức đúng với mọi
Các giá trị nguyên của
thỏa mãn
là:
Số giá trị nguyên là
Chọn đáp án A.
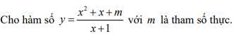
Sử dụng thông tin sau để trả lời 3 câu hỏi dưới đây:

Câu 4 [1005695]: Với
hàm số đã cho nghịch biến trên khoảng
hàm số đã cho nghịch biến trên khoảng A, 

B, 

C, 

D, 

Thay
vào hàm số
Tập xác định là
.
Để tìm khoảng nghịch biến, ta cần tìm đạo hàm
và xét dấu của nó.
Áp dụng quy tắc đạo hàm của một thương:
Cho
Ta có BBT:
Vậy hàm số đồng biến trên khoảng
và
Chọn đáp án D. Đáp án: D
vào hàm số
Tập xác định là
.
Để tìm khoảng nghịch biến, ta cần tìm đạo hàm
và xét dấu của nó.
Áp dụng quy tắc đạo hàm của một thương:
Cho

Ta có BBT:
Vậy hàm số đồng biến trên khoảng
và
Chọn đáp án D. Đáp án: D
Câu 5 [1005696]: Hàm số đã cho đồng biến trên mỗi khoảng xác định của nó khi và chỉ khi
A, 

B, 

C, 

D, 

Tập xác định của hàm số là
Đạo hàm của hàm số là:

Để hàm số này đồng biến trên từng khoảng xác định, đạo hàm của nó phải lớn hơn hoặc bằng 0 với mọi x trong tập xác định.
Hay
Vì
luôn lớn hơn 0 và có thể tiển gần đến 0 , ta cần
nhỏ hơn hoặc bằng 0 để bất đẳng thức này luôn đúng.
Chọn đáp án B. Đáp án: B
Đạo hàm của hàm số là:

Để hàm số này đồng biến trên từng khoảng xác định, đạo hàm của nó phải lớn hơn hoặc bằng 0 với mọi x trong tập xác định.
Hay
Vì
luôn lớn hơn 0 và có thể tiển gần đến 0 , ta cần
nhỏ hơn hoặc bằng 0 để bất đẳng thức này luôn đúng.
Chọn đáp án B. Đáp án: B
Câu 6 [1005697]: Có bao nhiêu giá trị nguyên của
để hàm số
có hai giá trị cực trị trái dấu.
để hàm số
có hai giá trị cực trị trái dấu. A, 

B, 

C, 

D, 

Tập xác định
Đạo hàm của hàm số là:
Để hàm số có hai cực trị, phương trình
phải có hai nghiệm phân biệt khác
phải có hai nghiệm phân biệt.
Kiểm tra
có là nghiệm của
Thay
vào
Vì
, nên nghiệm
Vậy điều kiện để hàm số có hai cực trị là
Hai điểm cực trị là nghiệm của phương trình
. Gọi hai nghiệm đó là
.
Theo định lý Vi-et, ta có:
,
Giá trị cực trị là
và
Ta có:
Hàm số có hai giá trị cực trị trái dấu khi


Ta có:
Vậy:
Kết hợp điều kiện:
Vậy số giá trị nguyên của
là
Chọn đáp án B.
Đạo hàm của hàm số là:
Để hàm số có hai cực trị, phương trình
phải có hai nghiệm phân biệt khác
phải có hai nghiệm phân biệt.
Kiểm tra
có là nghiệm của
Thay
vào
Vì
, nên nghiệm
Vậy điều kiện để hàm số có hai cực trị là
Hai điểm cực trị là nghiệm của phương trình
. Gọi hai nghiệm đó là
.
Theo định lý Vi-et, ta có:
,
Giá trị cực trị là
và
Ta có:
Hàm số có hai giá trị cực trị trái dấu khi


Ta có:
Vậy:
Kết hợp điều kiện:
Vậy số giá trị nguyên của
là
Chọn đáp án B.
Câu 7 [381981]: Có tất cả bao nhiêu giá trị nguyên của tham số
để hàm số
đồng biến trên từng khoảng xác định của nó?
để hàm số
đồng biến trên từng khoảng xác định của nó?
HD: Ta có: 
Hàm số đồng biến trên từng khoảng xác định

Suy ra có 11 giá trị nguyên của
thoả mãn yêu cầu bài toán.

Hàm số đồng biến trên từng khoảng xác định


Suy ra có 11 giá trị nguyên của
thoả mãn yêu cầu bài toán.
Câu 8 [27262]: Cho hàm số
có đồ thị
. Biết điểm
là điểm cực đại của đồ thị
. Tính
.
có đồ thị
. Biết điểm
là điểm cực đại của đồ thị
. Tính
.
Ta có
.
Do
là điểm cực đại của đồ thị nên suy ra 

. Thử lại, thay
vào hàm số ta được 




Suy ra
là điểm cực đại của đồ thị hàm số. Vậy
.Do
là điểm cực đại của đồ thị nên suy ra 

. Thử lại, thay
vào hàm số ta được 




Suy ra
là điểm cực đại của đồ thị hàm số. Vậy
Câu 9 [381982]: Có tất cả bao nhiêu giá trị nguyên của tham số
để hàm số
đồng biến trên từng khoảng xác định của nó?
để hàm số
đồng biến trên từng khoảng xác định của nó?
Ta có: 
Với
Hàm số đồng biến trên mỗi khoảng xác định
Với
thì hàm số đồng biến trên mỗi khoảng xác định


Kết hợp 2 trường hợp và

Với

Hàm số đồng biến trên mỗi khoảng xác địnhVới
thì hàm số đồng biến trên mỗi khoảng xác định

Kết hợp 2 trường hợp và

Câu 10 [381983]: Có bao nhiêu giá trị nguyên của
để hàm số
đồng biến trên từng khoảng xác định.
để hàm số
đồng biến trên từng khoảng xác định.
HD: Ta có: 
Hàm số đồng biến trên mỗi khoảng xác định khi


Vậy có 7 giá trị nguyên của
thoả mãn yêu cầu bài toán.

Hàm số đồng biến trên mỗi khoảng xác định khi



Vậy có 7 giá trị nguyên của
thoả mãn yêu cầu bài toán.
Câu 11 [382515]: Cho hàm số
Có bao nhiêu giá trị nguyên của m để hàm số có cực trị?
Có bao nhiêu giá trị nguyên của m để hàm số có cực trị? 
. 

YCBT


Câu 12 [381985]: Có bao nhiêu giá trị nguyên của
để hàm số
có hai điểm cực trị trái dấu?
để hàm số
có hai điểm cực trị trái dấu?
Điều kiện xác định: 
Ta có:
Để hàm số có hai điểm cực trị trái dấu thì

Kết hợp với

Ta có:

Để hàm số có hai điểm cực trị trái dấu thì


Kết hợp với

Câu 13 [382513]: [Chuyên KHTN – 2018] Với tham số
đồ thị của hàm số
có hai điểm cực trị
và
Giá trị của m bằng
đồ thị của hàm số
có hai điểm cực trị
và
Giá trị của m bằng
Ta có: 

Để hàm số có hai điểm cực trị thì
có hai nghiệm phân biệt

Khi đó
là hai điểm cực trị và là nghiệm của phương trình
nên theo Viet ta có: 
Mặt khác, phương trình đường thẳng đi qua hai điểm cực trị của đồ thị hàm số là
Khi đó
và 
Ta có:


Điền đáp án: 0,25


Để hàm số có hai điểm cực trị thì
có hai nghiệm phân biệt
Khi đó
là hai điểm cực trị và là nghiệm của phương trình
nên theo Viet ta có: 
Mặt khác, phương trình đường thẳng đi qua hai điểm cực trị của đồ thị hàm số là

Khi đó
và 
Ta có:



Điền đáp án: 0,25
Câu 14 [501660]: Gọi
là tập hợp tất cả các giá trị thực của tham số
để đồ thị hàm số
có hai điểm cực trị
,
và tam giác
vuông tại
. Tổng tất cả các phần tử của
bằng
là tập hợp tất cả các giá trị thực của tham số
để đồ thị hàm số
có hai điểm cực trị
,
và tam giác
vuông tại
. Tổng tất cả các phần tử của
bằng
Ta có:
nên hàm số đã cho có hai điểm cực trị khi phương trình
có hai nghiệm phân biệt khác

Khi đó phương trình đường thẳng đi qua hai điểm cực trị là
Gọi
Vì tam giác
vuông tại
nên 

Trong đó
Suy ra 
Suy ra
nên hàm số đã cho có hai điểm cực trị khi phương trình
có hai nghiệm phân biệt khác

Khi đó phương trình đường thẳng đi qua hai điểm cực trị là
Gọi
Vì tam giác
vuông tại
nên 

Trong đó
Suy ra 
Suy ra
Câu 15 [381987]: Biết rằng với mọi
thì hai điểm cực trị của đồ thị hàm số
luôn thuộc một Parabol cố định
Tính giá trị của
thì hai điểm cực trị của đồ thị hàm số
luôn thuộc một Parabol cố định
Tính giá trị của
HD: Ta có:
Với
thì hàm số có hai điểm cực trị
Khi đó phương trình đường thẳng đi qua hai điểm cực trị là
Gọi
thì
Suy ra
Tương tự vậy ta suy ra được
luôn thuộc Parabol có phương trình
Do đó


Với
thì hàm số có hai điểm cực trị Khi đó phương trình đường thẳng đi qua hai điểm cực trị là
Gọi
thì
Suy ra

Tương tự vậy ta suy ra được
luôn thuộc Parabol có phương trình
Do đó


