Dựa vào thông tin dưới đây để trả lời 2 câu dưới đây:
Cho phương trình
log22x − log2x2 + 3 = m.
log22x − log2x2 + 3 = m.
Câu 1 [739933]: Khi phương trình có nghiệm
thì nghiệm còn lại là
thì nghiệm còn lại là A, 

B, 

C, 

D, 

Chọn đáp án C.
(Chú ý:
)

Cách 1: Đặt
Suy ra phương trình ban đầu trở thành
Vì phương trình (*) có 2 nghiệm phân biệt, nên theo hệ thức Viet, ta có


Mà có 1 nghiệm
nên suy ra nghiệm còn lại bằng
Cách 2: Thay nghiệm
vào phương trình ban đầu để tìm
Sau khi đã tìm được
rồi thì ta thay ngược lại vào phương trình để tìm nghiệm còn lại. Đáp án: C
(Chú ý:
)

Cách 1: Đặt
Suy ra phương trình ban đầu trở thành

Vì phương trình (*) có 2 nghiệm phân biệt, nên theo hệ thức Viet, ta có



Mà có 1 nghiệm
nên suy ra nghiệm còn lại bằng
Cách 2: Thay nghiệm
vào phương trình ban đầu để tìm
Sau khi đã tìm được
rồi thì ta thay ngược lại vào phương trình để tìm nghiệm còn lại. Đáp án: C
Câu 2 [739934]: Điều kiện để phương trình có nghiệm
là
tính
là
tính
A, 

B, 

C, 

D, 

Ta có

Đặt

PT
Xét hàm số
với 
Ta có

Suy ra

Vậy để phương trình có nghiệm thì

Chọn B. Đáp án: B

Đặt

PT

Xét hàm số
với 
Ta có

Suy ra

Vậy để phương trình có nghiệm thì

Chọn B. Đáp án: B
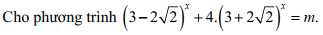
Câu 3 [80718]: Tìm tất cả các giá trị thực của tham số
để phương trình
có nghiệm thuộc đoạn
để phương trình
có nghiệm thuộc đoạn
A, 

B, 

C, 

D, 

Phương trình 
Đặt
do 
Khi đó
Xét hàm số
với
Ta có
Ta có
do đó để phương trình có nghiệm thì
Chọn B. Đáp án: B

Đặt
do 
Khi đó
Xét hàm số
với
Ta có

Ta có
do đó để phương trình có nghiệm thì
Chọn B. Đáp án: B
Dựa vào thông tin dưới đây để trả lời 2 câu dưới đây:

Câu 4 [739963]: Với
phương trình đã cho có bao nhiêu nghiệm
phương trình đã cho có bao nhiêu nghiệm A, 

B, 

C, 

D, 

Chọn đáp án C.
Ta nhận thấy rằng
Nên ta đặt
(nhận xét: với mỗi nghiệm
sẽ cho 1 nghiệm
tương ứng)
Khi đó phương trình ban đầu trở thành
Thay
vào phương trình (*), ta được 
Vậy phương trình có 1 nghiệm khi
Đáp án: C
Ta nhận thấy rằng

Nên ta đặt
(nhận xét: với mỗi nghiệm
sẽ cho 1 nghiệm
tương ứng)
Khi đó phương trình ban đầu trở thành

Thay
vào phương trình (*), ta được 
Vậy phương trình có 1 nghiệm khi
Đáp án: C
Câu 5 [739964]: Số giá trị nguyên của tham số
để phương trình trên có nghiệm là
để phương trình trên có nghiệm là A, 

B, 

C, 

D, 

Chọn đáp án D.
Ta nhận thấy rằng
Nên ta đặt
(nhận xét: với mỗi nghiệm
sẽ cho 1 nghiệm
tương ứng)
Khi đó phương trình ban đầu trở thành
Để phương trình (*) có nghiệm thì ta sẽ xét tương giao giữa hàm số
với đường thẳng
Xét hàm số
trên khoảng
Ta có
Ta có bảng biến thiên
Dựa vào bảng trên, suy ra để phương trình (*) có nghiệm thì
Kết hợp điều kiện
Vậy có 7 giá trị của
thoả mãn yêu cầu bài toán.
Đáp án: D
Ta nhận thấy rằng

Nên ta đặt
(nhận xét: với mỗi nghiệm
sẽ cho 1 nghiệm
tương ứng)
Khi đó phương trình ban đầu trở thành
Để phương trình (*) có nghiệm thì ta sẽ xét tương giao giữa hàm số
với đường thẳng
Xét hàm số
trên khoảng
Ta có

Ta có bảng biến thiên
Dựa vào bảng trên, suy ra để phương trình (*) có nghiệm thì
Kết hợp điều kiện
Vậy có 7 giá trị của
thoả mãn yêu cầu bài toán.
Đáp án: D
Câu 6 [10330]: Tập các giá trị
để phương trình
có đúng hai nghiệm âm phân biệt là
để phương trình
có đúng hai nghiệm âm phân biệt là A, 

B, 

C, 

D, 

Đặt
PT
Xét hàm số
Ta có
Bảng biến thiên
Vậy để phương trình có 2 nghiệm phân biệt thì
Chọn B. Đáp án: B
PT
Xét hàm số
Ta có

Bảng biến thiên
Vậy để phương trình có 2 nghiệm phân biệt thì
Chọn B. Đáp án: B
Câu 7 [10473]: Tổng tất cả các giá trị nguyên của tham số
để phương trình
có hai nghiệm thực phân biệt.
để phương trình
có hai nghiệm thực phân biệt.
Đặt 
PT
Để phương trình đã cho có 2 nghiệm thực phân biệt
có 2 nghiệm dương phân biệt
Suy ra
Vậy

PT

Để phương trình đã cho có 2 nghiệm thực phân biệt
có 2 nghiệm dương phân biệt
Suy ra

Vậy
Dựa vào thông tin dưới đây để trả lời 2 câu dưới đây:

Câu 8 [742142]: Giá trị của tham số
để phương trình có nghiệm
là
để phương trình có nghiệm
là A, 

B, 

C, 

D, 

Chọn đáp án D.
Để phương trình có nghiệm
thì 
Đáp án: D
Để phương trình có nghiệm
thì 
Đáp án: D
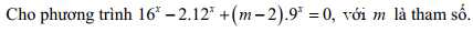
Câu 9 [742144]: Có bao nhiêu giá trị nguyên dương của tham số
để phương trình trên có nghiệm dương?
để phương trình trên có nghiệm dương? A, 1.
B, 2.
C, 3.
D, 4.
Chia cả hai vế cho
ta được PT

Đặt
với

Phương trình đã cho

Xét hàm số
với 
Ta có
Do đó hàm số
đồng biến trên khoảng 
Mặt khác
Suy ra để phương trình đã cho có nghiệm dương thì

Kết hợp

Vậy có 2 giá trị nguyên dương của m thoả mãn ycbt. Chọn B. Đáp án: B
ta được PT

Đặt
với

Phương trình đã cho

Xét hàm số
với 
Ta có

Do đó hàm số
đồng biến trên khoảng 
Mặt khác

Suy ra để phương trình đã cho có nghiệm dương thì

Kết hợp

Vậy có 2 giá trị nguyên dương của m thoả mãn ycbt. Chọn B. Đáp án: B
Câu 10 [79216]: Số giá trị nguyên của tham số
để phương trình
có nghiệm
là
để phương trình
có nghiệm
là
Ta có PT
Đặt
Khi đó PT
Xét hàm số
với 
Ta có
Hàm số
xác định và liên tục trên đoạn 
Ta có
Do đó
Do đó phương trình có nghiệm khi và chỉ khi
Kết hợp
Vậy có 2 giá trị của
thoả mãn ycbt.

Đặt

Khi đó PT

Xét hàm số
với 
Ta có

Hàm số
xác định và liên tục trên đoạn 
Ta có

Do đó

Do đó phương trình có nghiệm khi và chỉ khi

Kết hợp

Vậy có 2 giá trị của
thoả mãn ycbt.
Câu 11 [508832]: Tập hợp các giá trị của
để phương trình
có hai nghiệm thực phân biệt là
Tính
để phương trình
có hai nghiệm thực phân biệt là
Tính
Ta có

Đặt
PT
Xét hàm số
trên khoảng 
Ta có


Mặt khác
Bảng biến thiên

Vậy để phương trình đã cho có hai nghiệm thực phân biệt thì
hay

Đặt

PT

Xét hàm số
trên khoảng 
Ta có



Mặt khác

Bảng biến thiên

Vậy để phương trình đã cho có hai nghiệm thực phân biệt thì
hay
Câu 12 [79222]: Cho phương trình
số giá trị nguyên của tham số
để phương trình đã cho có nghiệm
là
số giá trị nguyên của tham số
để phương trình đã cho có nghiệm
là A, 7.
B, 9.
C, 8.
D, 6.
Phương trình đã cho 


Đặt
Khi đó phương trình trở thành
Xét hàm số
với 
Ta có
Suy ra hàm số
đồng biến trên nửa khoảng 
Mặt khác,
nên phương trình đã cho có nghiệm khi 
Kết hợp
Vậy có 8 giá trị nguyên của
thoả mãn ycbt.
Đáp án: C



Đặt

Khi đó phương trình trở thành

Xét hàm số
với 
Ta có

Suy ra hàm số
đồng biến trên nửa khoảng 
Mặt khác,
nên phương trình đã cho có nghiệm khi 
Kết hợp

Vậy có 8 giá trị nguyên của
thoả mãn ycbt.Đáp án: C
Câu 13 [10491]: Số giá trị nguyên của
để phương trình
có nghiệm
là
để phương trình
có nghiệm
là
Phương trình đã cho


Đặt
với 
PT
Xét hàm số
với 
Ta có
Bảng biến thiên
Vậy để phương trình đã cho có nghiệm
thì 
Kết hợp
Vậy có 3 giá trị nguyên của
thoả mãn ycbt.



Đặt
với 
PT

Xét hàm số
với 
Ta có

Bảng biến thiên
Vậy để phương trình đã cho có nghiệm
thì 
Kết hợp

Vậy có 3 giá trị nguyên của
thoả mãn ycbt.
Câu 14 [79218]: Gọi
là tập hợp các giá trị nguyên của tham số
để phương trình
có nghiệm
Số phần tử của tập hợp
là
là tập hợp các giá trị nguyên của tham số
để phương trình
có nghiệm
Số phần tử của tập hợp
là
Đặt 
với


Khi đó phương trình trở thành

Xét hàm số
với 
Ta có
Do đó hàm số
đồng biến trên đoạn 
Lại có
Suy ra phương trình
có nghiệm
khi và chỉ khi 
Kết hợp

với


Khi đó phương trình trở thành


Xét hàm số
với 
Ta có

Do đó hàm số
đồng biến trên đoạn 
Lại có

Suy ra phương trình
có nghiệm
khi và chỉ khi 
Kết hợp

Câu 15 [10381]: Gọi
là tập hợp tất cả các giá trị nguyên của tham số
để phương trình
có
nghiệm dương phân biệt. Số phần tử của
bằng
là tập hợp tất cả các giá trị nguyên của tham số
để phương trình
có
nghiệm dương phân biệt. Số phần tử của
bằng
Đặt 

Khi đó phương trình trở thành

YCBT
có hai nghiệm phân biệt lớn hơn 1.





Suy ra
Kết hợp

Vậy số phần tử của
là 8.
Chọn B. Đáp án: B


Khi đó phương trình trở thành


YCBT
có hai nghiệm phân biệt lớn hơn 1.




Suy ra

Kết hợp


Vậy số phần tử của
là 8.Chọn B. Đáp án: B
Câu 16 [79220]: Có bao nhiêu giá trị nguyên của
để phương trình
có nghiệm dương?
để phương trình
có nghiệm dương? A, 

B, 

C, 

D, Vô số.
Chia cả hai vế của phương trình cho
ta được
PT
Đặt
với
Khi đó phương trình trở thành
Xét hàm số
với
Ta có
Do đó hàm số
đồng biến trên khoảng
Mặt khác
Suy ra phương trình đã cho có nghiệm dương khi và chỉ khi
Kết hợp
Vậy có 3 giá trị nguyên của
thoả mãn ycbt.
Chọn C. Đáp án: C
ta được
PT

Đặt
với
Khi đó phương trình trở thành
Xét hàm số
với
Ta có
Do đó hàm số
đồng biến trên khoảng
Mặt khác

Suy ra phương trình đã cho có nghiệm dương khi và chỉ khi
Kết hợp
Vậy có 3 giá trị nguyên của
thoả mãn ycbt.
Chọn C. Đáp án: C
Câu 17 [10400]: Cho phương trình
với
là tham số thực. Có bao nhiêu giá trị nguyên
để phương trình có nghiệm?
với
là tham số thực. Có bao nhiêu giá trị nguyên
để phương trình có nghiệm?
Đặt
Phương trình đã cho
Xét hàm số
Ta có

Bảng biến thiên
Suy ra phương trình có nghiệm khi
Kết hợp
Vậy có 2016 giá trị nguyên của
thoả mãn ycbt.
Phương trình đã cho
Xét hàm số
Ta có

Bảng biến thiên

Suy ra phương trình có nghiệm khi
Kết hợp

Vậy có 2016 giá trị nguyên của
thoả mãn ycbt.
Câu 18 [79223]: Tìm tập hợp tất cả các giá trị thực của tham số
để phương trình
có nghiệm thuộc khoảng
để phương trình
có nghiệm thuộc khoảng
A, 

B, 

C, 

D, 

PT
Đặt
với 

Khi đó phương trình trở thành
Xét hàm số
Ta có
Bảng biến thiên
Suy ra phương trình đã cho có nghiệm thuộc khoảng
khi
Chọn C. Đáp án: C
Đặt
với 

Khi đó phương trình trở thành
Xét hàm số
Ta có
Bảng biến thiên
Suy ra phương trình đã cho có nghiệm thuộc khoảng
khi
Chọn C. Đáp án: C
Câu 19 [79228]: Gọi
là tập hợp các giá trị nguyên của tham số
để phương trình
có ít nhất một nghiệm thuộc đoạn
Số phần tử của tập hợp
là
là tập hợp các giá trị nguyên của tham số
để phương trình
có ít nhất một nghiệm thuộc đoạn
Số phần tử của tập hợp
là
PT
Đặt
với
Khi đó phương trình trở thành
Xét hàm số
với
Ta có
Suy ra hàm số
đồng biến trên
Mặt khác,
suy ra phương trình
có nghiệm khi 
Kết hợp
Vậy có 7 giá trị nguyên của
thoả mãn ycbt.
Đặt
với
Khi đó phương trình trở thành
Xét hàm số
với
Ta có
Suy ra hàm số
đồng biến trên
Mặt khác,
suy ra phương trình
có nghiệm khi 
Kết hợp
Vậy có 7 giá trị nguyên của
thoả mãn ycbt.
Câu 20 [508829]: Có bao nhiêu giá trị nguyên của tham số
để phương trình
có đúng 2 nghiệm phân biệt
để phương trình
có đúng 2 nghiệm phân biệt
Đặt
khi đó phương trình trở thành: 

ta có: phương trình
có đúng 2 nghiệm phân biệt khi
Vậy có 6 giá trị của x thỏa mãn đề bài.
khi đó phương trình trở thành: 

ta có: phương trình
có đúng 2 nghiệm phân biệt khi
Vậy có 6 giá trị của x thỏa mãn đề bài.
Câu 21 [10461]: Tìm số giá trị nguyên của tham số
để phương trình
có đúng hai nghiệm phân biệt.
để phương trình
có đúng hai nghiệm phân biệt.
Ta có 
Chia cả hai vế cho
ta được PT 
Đặt
Phương trình
trở thành

Xét hàm số
Ta có

Bảng biến thiên

Phương trình đã cho có 2 nghiệm phân biệt khi phương trình
có một nghiệm duy nhất

Kết hợp
Vậy có 15 giá trị nguyên của
thoả mãn ycbt.

Chia cả hai vế cho
ta được PT 
Đặt

Phương trình
trở thành

Xét hàm số

Ta có

Bảng biến thiên

Phương trình đã cho có 2 nghiệm phân biệt khi phương trình
có một nghiệm duy nhất

Kết hợp
Vậy có 15 giá trị nguyên của
thoả mãn ycbt.
Câu 22 [789420]: Cho hàm số
liên tục trên
có
. Hàm số
có bảng xét dấu

Có bao nhiêu giá trị nguyên của tham số
thuộc đoạn
để phương trình
có nghiệm?
liên tục trên
có
. Hàm số
có bảng xét dấu
Có bao nhiêu giá trị nguyên của tham số
thuộc đoạn
để phương trình
có nghiệm?
Ta có bảng biến thiên của hàm số
như sau:

Từ bảng biến thiên suy ra
.
Đặt
.
Phương trình
trở thành:
(1)
Xét hàm số
với
.
;

Phương trình
có nghiệm
. Mà
là số nguyên thuộc đoạn
nên có 2015 số
thỏa mãn.
như sau: 
Từ bảng biến thiên suy ra
. Đặt
. Phương trình
trở thành:
(1)Xét hàm số
với
.
;

Phương trình
có nghiệm
. Mà
là số nguyên thuộc đoạn
nên có 2015 số
thỏa mãn.