Câu 1 [1012148]: I. Ý nghĩa hình học mở rộng của tích phân
✤ Mở rộng 1: Nếu hàm số
liên tục và luôn âm trên đoạn
thì diện tích
của hình thang cong giới hạn bởi đồ thị hàm số
trục hoành và hai đường thẳng
được tính bởi: 

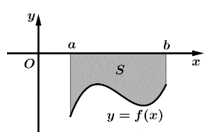
✤ Mở rộng 2: Cho hàm số
liên tục trên đoạn
thì
là diện tích hình phẳng giới hạn bởi đồ thị của hàm
trục hoành, và các đường thẳng x = a và x = b, sao cho các vùng trên trục hoành sẽ được tính vào tổng diện tích, còn dưới trục hoành sẽ bị trừ vào tổng diện tích.

Quan sát hình vẽ thì ta có:
Ta cũng có:
✤ Mở rộng 1: Nếu hàm số
liên tục và luôn âm trên đoạn
thì diện tích
của hình thang cong giới hạn bởi đồ thị hàm số
trục hoành và hai đường thẳng
được tính bởi: 

✤ Mở rộng 2: Cho hàm số
liên tục trên đoạn
thì
là diện tích hình phẳng giới hạn bởi đồ thị của hàm
trục hoành, và các đường thẳng x = a và x = b, sao cho các vùng trên trục hoành sẽ được tính vào tổng diện tích, còn dưới trục hoành sẽ bị trừ vào tổng diện tích.
Quan sát hình vẽ thì ta có:

Ta cũng có:
Nếu hàm số
liên tục và luôn âm trên đoạn
thì diện tích
của hình thang cong giới hạn bởi đồ thị hàm số
trục hoành và hai đường thẳng
được tính bởi:
Cho hàm số
liên tục trên đoạn
thì
là diện tích hình phẳng giới hạn bởi đồ thị của hàm
trục hoành, và các đường thẳng x = a và x = b, sao cho các vùng trên trục hoành sẽ được tính vào tổng diện tích, còn dưới trục hoành sẽ bị trừ vào tổng diện tích.
Quan sát hình vẽ thì ta có:
liên tục và luôn âm trên đoạn
thì diện tích
của hình thang cong giới hạn bởi đồ thị hàm số
trục hoành và hai đường thẳng
được tính bởi:
Cho hàm số
liên tục trên đoạn
thì
là diện tích hình phẳng giới hạn bởi đồ thị của hàm
trục hoành, và các đường thẳng x = a và x = b, sao cho các vùng trên trục hoành sẽ được tính vào tổng diện tích, còn dưới trục hoành sẽ bị trừ vào tổng diện tích.
Quan sát hình vẽ thì ta có:
Câu 2 [1012149]: II. Tính chất đặc biệt của tích phân
• Nếu hàm số
là hàm số lẻ trên đoạn
thì 

• Nếu hàm số
là hàm số chẵn trên đoạn
thì 
• Nếu hàm số
là hàm số lẻ trên đoạn
thì 

• Nếu hàm số
là hàm số chẵn trên đoạn
thì 
Các em xem video bài giảng của thầy để hiểu thêm nhé!