Dạng 1: Câu hỏi “Kéo thả đáp án đúng từ những đáp án cho trước”
Câu 1 [833452]: Kéo và thả các phương án thích hợp vào chỗ trống.
Cho hai đa thức:
và
[[20230691]].
[[20230693]].
Cho hai đa thức:
và
[[20230691]].
[[20230693]].
📌 Chú ý: Đây là câu hỏi “Kéo thả đáp án đúng từ những đáp án cho trước”, học sinh chọn các phương án cho trước để kéo và thả vào các chỗ trống nhằm thu được các khẳng định đúng.
✍️ Hướng dẫn giải:
Ta có:

🔑 Đáp án các ô lần lượt là:
;
✍️ Hướng dẫn giải:
Ta có:

🔑 Đáp án các ô lần lượt là:
;
Câu 2 [833456]: Kéo và thả các số thích hợp vào các chỗ trống.
Cho ba đa thức:
Ta có:
nên hệ số cao nhất của
là [[20230706]]
nên bậc của
là [[20230708]] .
Cho ba đa thức:
Ta có:
nên hệ số cao nhất của
là [[20230706]]
nên bậc của
là [[20230708]] .
📌 Chú ý: Đây là câu hỏi “Kéo thả đáp án đúng từ những đáp án cho trước”, học sinh chọn các phương án cho trước để kéo và thả vào các chỗ trống nhằm thu được các khẳng định đúng.
✍️ Hướng dẫn giải:
Ta có:
Do đó,
có hệ số bậc cao nhất là
Ta có:
Do đó,
có bậc
🔑 Đáp án các ô lần lượt là: -1; 4.
✍️ Hướng dẫn giải:
Ta có:
Do đó,
có hệ số bậc cao nhất là
Ta có:
Do đó,
có bậc
🔑 Đáp án các ô lần lượt là: -1; 4.
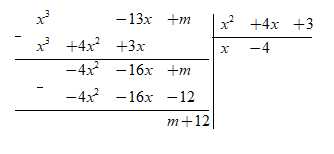
Câu 3 [833457]: Kéo và thả các phương án thích hợp vào chỗ trống.
Với
bằng [[20230712]] thì đa thức
chia hết cho đa thức
và đa thức thương khi đó là [[20230713]] .
Với
bằng [[20230712]] thì đa thức
chia hết cho đa thức
và đa thức thương khi đó là [[20230713]] .
📌 Chú ý: Đây là câu hỏi “Kéo thả đáp án đúng từ những đáp án cho trước”, học sinh chọn các phương án cho trước để kéo và thả vào các chỗ trống nhằm thu được các khẳng định đúng.
✍️ Hướng dẫn giải:
Ta có:





Do đó, để đa thức
chia hết cho đa thức
thì
chia hết cho 
Mà,
là một số nên
chia hết cho
khi
hay 
Khi đó,


Do đó, đa thức thương thu được là
🔑 Đáp án các ô lần lượt là: -21;
✍️ Hướng dẫn giải:
Ta có:





Do đó, để đa thức
chia hết cho đa thức
thì
chia hết cho 
Mà,
là một số nên
chia hết cho
khi
hay 
Khi đó,



Do đó, đa thức thương thu được là

🔑 Đáp án các ô lần lượt là: -21;
Câu 4 [833459]: Kéo và thả các phương án thích hợp vào chỗ trống.

Trên một mảnh đất hình chữ nhật có chiều dài
người ta định làm một bể bơi hình chữ nhật có chiều rộng là
mét, chiều dài gấp
lần chiều rộng. Sơ đồ và kích thức cụ thể (tính bằng mét) được cho như trong hình. Biểu thức biểu thị:
Diện tích của bể bơi là [[20230733]]
Diện tích mảnh đất là [[20230730]]
Diện tích phần đất xung quanh bể bơi là [[20230732]]

Trên một mảnh đất hình chữ nhật có chiều dài
người ta định làm một bể bơi hình chữ nhật có chiều rộng là
mét, chiều dài gấp
lần chiều rộng. Sơ đồ và kích thức cụ thể (tính bằng mét) được cho như trong hình. Biểu thức biểu thị: Diện tích của bể bơi là [[20230733]]
Diện tích mảnh đất là [[20230730]]

Diện tích phần đất xung quanh bể bơi là [[20230732]]
📌 Chú ý: Đây là câu hỏi “Kéo thả đáp án đúng từ những đáp án cho trước”, học sinh chọn các phương án cho trước để kéo và thả vào các chỗ trống nhằm thu được các khẳng định đúng.
✍️ Hướng dẫn giải:
Dựa vào dữ kiện: Bể bơi hình chữ nhật có chiều rộng là
mét, chiều dài gấp 3 lần chiều rộng
Chiều dài bể bơi là
mét
Diện tích của bể bơi là
Dựa vào hình vẽ:
Mảnh vườn hình chữ nhật có chiều dài 65 mét và chiều rộng
mét
Diện tích của mảnh vườn là
Diện tích phần đất xung quanh bể bơi là
🔑 Đáp án các ô lần lượt là:
;
;
✍️ Hướng dẫn giải:
Dựa vào dữ kiện: Bể bơi hình chữ nhật có chiều rộng là
mét, chiều dài gấp 3 lần chiều rộng
Chiều dài bể bơi là
mét
Diện tích của bể bơi là
Dựa vào hình vẽ:
Mảnh vườn hình chữ nhật có chiều dài 65 mét và chiều rộng
mét
Diện tích của mảnh vườn là
Diện tích phần đất xung quanh bể bơi là
🔑 Đáp án các ô lần lượt là:
;
;
Câu 5 [833461]: Kéo và thả các phương án thích hợp vào chỗ trống.
Hai người đi xe đạp cùng một lúc, ngược chiều nhau từ hai địa điểm
và
và gặp nhau sau
giờ tại
Biết rằng vận tốc của người đi từ
là
và người đi từ
mỗi giờ đi nhanh hơn người đi từ
là
Biểu thức biểu thị quãng đường AB là [[20230739]] (km).
Với
thì quãng đường AB dài [[20230737]] (km).
Hai người đi xe đạp cùng một lúc, ngược chiều nhau từ hai địa điểm
và
và gặp nhau sau
giờ tại
Biết rằng vận tốc của người đi từ
là
và người đi từ
mỗi giờ đi nhanh hơn người đi từ
là
Biểu thức biểu thị quãng đường AB là [[20230739]] (km).
Với
thì quãng đường AB dài [[20230737]] (km).
📌 Chú ý: Đây là câu hỏi “Kéo thả đáp án đúng từ những đáp án cho trước”, học sinh chọn các phương án cho trước để kéo và thả vào các chỗ trống nhằm thu được các khẳng định đúng.
✍️ Hướng dẫn giải:
Dựa vào dữ kiện: Vận tốc của người đi từ
là
Sau 2 giờ, quãng đường người đi từ
đi được là
Kết hợp với dữ kiện: Người đi từ
mỗi giờ đi nhanh hơn người đi từ
là
Vận tốc của người đi từ
nhỏ hơn vận tốc của người đi từ
là
Vận tốc của người đi từ
là
Sau 2 giờ, quãng đường người đi từ
đi được là
Sau 2 giờ, quãng đường người đi từ
và
đi được là
Kết hợp với dữ kiện: Hai người đi xe đạp cùng một lúc, ngược chiều nhau từ hai địa điểm
và
và gặp nhau sau 2 giờ tại
nên quãng đường
chính là quãng đường người đi từ
và
đi được sau 2 giờ và bằng
Kết hợp với dữ kiện:
Thay vào biểu thức quãng đường
là
🔑 Đáp án các ô lần lượt là:
; 42
✍️ Hướng dẫn giải:
Dựa vào dữ kiện: Vận tốc của người đi từ
là
Sau 2 giờ, quãng đường người đi từ
đi được là
Kết hợp với dữ kiện: Người đi từ
mỗi giờ đi nhanh hơn người đi từ
là
Vận tốc của người đi từ
nhỏ hơn vận tốc của người đi từ
là
Vận tốc của người đi từ
là
Sau 2 giờ, quãng đường người đi từ
đi được là
Sau 2 giờ, quãng đường người đi từ
và
đi được là
Kết hợp với dữ kiện: Hai người đi xe đạp cùng một lúc, ngược chiều nhau từ hai địa điểm
và
và gặp nhau sau 2 giờ tại
nên quãng đường
chính là quãng đường người đi từ
và
đi được sau 2 giờ và bằng
Kết hợp với dữ kiện:
Thay vào biểu thức quãng đường
là
🔑 Đáp án các ô lần lượt là:
; 42
Dạng 2: Câu hỏi “Điền đáp án đúng”
Câu 6 [833462]: Điền một số nguyên thích hợp vào chỗ trống.
Người ta rót nước từ một can đựng 8 lít sang một bình rỗng có dạng hình lập phương với độ dài cạnh
Khi mực nước trong bình cao
thì thể tích nước trong can còn lại là
lít. Biết rằng 1 lít
Người ta rót nước từ một can đựng 8 lít sang một bình rỗng có dạng hình lập phương với độ dài cạnh
Khi mực nước trong bình cao
thì thể tích nước trong can còn lại là
lít. Biết rằng 1 lít
📌 Chú ý: Đây là kiểu câu hỏi “Điền đáp án đúng” với dữ liệu điền vào chỗ trống là “một số nguyên”. Khi trả lời câu hỏi này, cần chú ý dến dữ liệu điền vào chỗ trống để tránh sai sót.
✍️ Hướng dẫn giải:
Thể tích nước trong bình chữ nhật là 


Can đựng 8 lít nên thể tích nước trong can còn lại là
🔑 Điền đáp án: 80.
✍️ Hướng dẫn giải:




Can đựng 8 lít nên thể tích nước trong can còn lại là
🔑 Điền đáp án: 80.
Câu 7 [833464]: Điền một số nguyên thích hợp vào chỗ trống.
Một bể chứa nước có hình dạng hình hộp chữ nhật được thiết kế với kích thước theo tỉ lệ chiều cao : chiều rộng : chiều dài =
Trong bể còn
nước. Gọi chiều cao của bể là
(mét). Đa thức biểu thị số mét khối nước cần phải bơm thêm vào bể để đầy nước có bậc bằng __________.
Một bể chứa nước có hình dạng hình hộp chữ nhật được thiết kế với kích thước theo tỉ lệ chiều cao : chiều rộng : chiều dài =
Trong bể còn
nước. Gọi chiều cao của bể là
(mét). Đa thức biểu thị số mét khối nước cần phải bơm thêm vào bể để đầy nước có bậc bằng __________.
📌 Chú ý: Đây là kiểu câu hỏi “Điền đáp án đúng” với dữ liệu điền vào chỗ trống là “một số nguyên”. Khi trả lời câu hỏi này, cần chú ý dến dữ liệu điền vào chỗ trống để tránh sai sót.
✍️ Hướng dẫn giải:
Dựa vào dữ kiện:
• Một bể chứa nước có hình dạng hình hộp chữ nhật được thiết kế với kích thước theo tỉ lệ chiều cao : chiều rộng : chiều dài =
• Chiều cao của bể là
(mét).
Chiều rộng, chiều dài của bể lần lượt là
(mét).
Thể tích của bể là
Kết hợp với dữ kiện: Trong bể còn
nước
Để bể đầy nước thì cần phải bơm thêm
nước vào bể.
Đa thức biểu thị số mét khối nước cần phải bơm thêm vào bể để đầy nước có bậc bằng 3.
🔑 Điền đáp án: 3.
✍️ Hướng dẫn giải:
Dựa vào dữ kiện:
• Một bể chứa nước có hình dạng hình hộp chữ nhật được thiết kế với kích thước theo tỉ lệ chiều cao : chiều rộng : chiều dài =
• Chiều cao của bể là
(mét).
Chiều rộng, chiều dài của bể lần lượt là
(mét).
Thể tích của bể là
Kết hợp với dữ kiện: Trong bể còn
nước
Để bể đầy nước thì cần phải bơm thêm
nước vào bể.
Đa thức biểu thị số mét khối nước cần phải bơm thêm vào bể để đầy nước có bậc bằng 3.
🔑 Điền đáp án: 3.
Câu 8 [833465]: Điền một số tự nhiên thích hợp vào chỗ trống.
Hai người đi xe máy đi cùng một lúc, ngược chiều nhau từ hai địa điểm
và
và gặp nhau sau
giờ tại
Biết rằng vận tốc của người đi từ
là
và người đi từ
mỗi giờ đi chậm hơn người đi từ
là
Với
thì quãng đường AB bằng __________ km.
Hai người đi xe máy đi cùng một lúc, ngược chiều nhau từ hai địa điểm
và
và gặp nhau sau
giờ tại
Biết rằng vận tốc của người đi từ
là
và người đi từ
mỗi giờ đi chậm hơn người đi từ
là
Với
thì quãng đường AB bằng __________ km.
📌 Chú ý: Đây là kiểu câu hỏi “Điền đáp án đúng” với dữ liệu điền vào chỗ trống là “một số tự nhiên”. Khi trả lời câu hỏi này, cần chú ý dến dữ liệu điền vào chỗ trống để tránh sai sót.
✍️ Hướng dẫn giải:
Dựa vào dữ kiện: Vận tốc của người đi từ
là
Sau 3 giờ, quãng đường người đi từ
đi được là
Kết hợp với dữ kiện: Người đi từ
mỗi giờ đi chậm hơn người đi từ
là
Vận tốc của người đi từ
lớn hơn vận tốc của người đi từ
là
Vận tốc của người đi từ
là
Sau 3 giờ, quãng đường người đi từ
đi được là
Sau 3 giờ, quãng đường người đi từ
và
đi được là
Kết hợp với dữ kiện: Hai người đi xe máy cùng một lúc, ngược chiều nhau từ hai địa điểm
và
và gặp nhau sau 3 giờ tại
Quãng đường
chính là quãng đường người đi từ
và
đi được sau 3 giờ và bằng
Kết hợp với dữ kiện:
Thay vào biểu thức quãng đường
là
🔑 Điền đáp án: 270.
✍️ Hướng dẫn giải:
Dựa vào dữ kiện: Vận tốc của người đi từ
là
Sau 3 giờ, quãng đường người đi từ
đi được là
Kết hợp với dữ kiện: Người đi từ
mỗi giờ đi chậm hơn người đi từ
là
Vận tốc của người đi từ
lớn hơn vận tốc của người đi từ
là
Vận tốc của người đi từ
là
Sau 3 giờ, quãng đường người đi từ
đi được là
Sau 3 giờ, quãng đường người đi từ
và
đi được là
Kết hợp với dữ kiện: Hai người đi xe máy cùng một lúc, ngược chiều nhau từ hai địa điểm
và
và gặp nhau sau 3 giờ tại
Quãng đường
chính là quãng đường người đi từ
và
đi được sau 3 giờ và bằng
Kết hợp với dữ kiện:
Thay vào biểu thức quãng đường
là
🔑 Điền đáp án: 270.
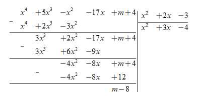
Câu 9 [833468]: Điền các số nguyên thích hợp vào các chỗ trống.
Số dư trong phép chia đa thức
cho đa thức
là giá trị
(Định lí Bezout). Biết đa thức
chia
dư
chia
dư 4 và
chia
được thương là
và dư
Đa thức
có hệ số bậc cao nhất là __________ và có hệ số tự do là __________. Biết hệ số cao nhất của một đa thức là hệ số của số hạng có bậc cao nhất.
Số dư trong phép chia đa thức
cho đa thức
là giá trị
(Định lí Bezout). Biết đa thức
chia
dư
chia
dư 4 và
chia
được thương là
và dư
Đa thức
có hệ số bậc cao nhất là __________ và có hệ số tự do là __________. Biết hệ số cao nhất của một đa thức là hệ số của số hạng có bậc cao nhất.
📌 Chú ý: Đây là kiểu câu hỏi “Điền đáp án đúng” với dữ liệu điền vào chỗ trống là “một số nguyên”. Khi trả lời câu hỏi này, cần chú ý đến dữ liệu điền vào chỗ trống để tránh sai sót.
✍️ Hướng dẫn giải:
Ta có
Dựa vào dữ kiện: Số dư trong phép chia đa thức
cho đa thức
là giá trị
(Định lí Bezout).
Nên
chia cho
dư 2 thì
, và
chia cho
dư 4 thì 
Khi chia
cho
được thương là
và dư là một đa thức bậc nhỏ hơn 2 , đặt
.
Do đó
Tại
và
ta có
và
Suy ra
Do đó
Vậy đa thức
có hệ số bậc cao nhất là 1 và có hệ số tự do là 1.
🔑 Điền đáp án: 1; 1.
✍️ Hướng dẫn giải:
Ta có
Dựa vào dữ kiện: Số dư trong phép chia đa thức
cho đa thức
là giá trị
(Định lí Bezout).Nên
chia cho
dư 2 thì
, và
chia cho
dư 4 thì 
Khi chia
cho
được thương là
và dư là một đa thức bậc nhỏ hơn 2 , đặt
. Do đó

Tại
và
ta có
và
Suy ra

Do đó

Vậy đa thức
có hệ số bậc cao nhất là 1 và có hệ số tự do là 1.🔑 Điền đáp án: 1; 1.
Câu 10 [833469]: Điền số nguyên thích hợp vào các chỗ trống.
Tổng bộ 3 số tự nhiên x, y, z nhỏ nhất thỏa mãn đồng thời các điều kiện sau:
và
đạt giá trị nhỏ nhất bằng __________.
Tổng bộ 3 số tự nhiên x, y, z nhỏ nhất thỏa mãn đồng thời các điều kiện sau:
và
đạt giá trị nhỏ nhất bằng __________.
📌 Chú ý: Đây là kiểu câu hỏi “Điền đáp án đúng” với dữ liệu điền vào chỗ trống là “một số nguyên”. Khi trả lời câu hỏi này, cần chú ý dến dữ liệu điền vào chỗ trống để tránh sai sót.
✍️ Hướng dẫn giải:
Trừ (1) cho (2) vế theo vế ta được:
Do
và
là các số tự nhiên nên
và
cùng tính chẵn đồng thời
Do đó, ta có các trường hợp sau:
hoặc
hoặc
Trường hợp 1: Nếu
Thay
vào (*) ta được
.
Vậy
Trường hợp 2: Nếu
Thay
vào (*) ta được
.
Trường hợp 3: Nếu
Thay
vào (*) ta được
.
Vậy
Từ các trường hợp trên suy ra
đạt giá trị nhỏ nhất bằng 12 khi
🔑 Điền đáp án: 12.
✍️ Hướng dẫn giải:
Trừ (1) cho (2) vế theo vế ta được:
Do
và
là các số tự nhiên nên
và
cùng tính chẵn đồng thời
Do đó, ta có các trường hợp sau:
hoặc
hoặc
Trường hợp 1: Nếu
Thay
vào (*) ta được
.
Vậy
Trường hợp 2: Nếu
Thay
vào (*) ta được
.
Trường hợp 3: Nếu
Thay
vào (*) ta được
.
Vậy
Từ các trường hợp trên suy ra
đạt giá trị nhỏ nhất bằng 12 khi
🔑 Điền đáp án: 12.
Dạng 3: Câu hỏi “Tự luận”
Câu 11 [833470]: Cho đa thức
Chứng minh nếu
nhận 1 và
là nghiệm thì
và
là 2 số đối nhau.
Chứng minh nếu
nhận 1 và
là nghiệm thì
và
là 2 số đối nhau.
✍️ Hướng dẫn giải:
nhận 1 và
là nghiệm nên

và
là 2 số đối nhau.
nhận 1 và
là nghiệm nên

và
là 2 số đối nhau.
Câu 12 [833479]: Cho
Biết
Chứng minh rằng
Biết
Chứng minh rằng
✍️ Hướng dẫn giải:
Ta có:
và
Thay
vào các biểu thức trên ta được:

Vậy
Ta có:
và
Thay
vào các biểu thức trên ta được:

Vậy
Câu 13 [833480]: Cho hai đa thức
và 
a) Tìm bậc của đa thức
và tính 
b) Tính
biết
c) Chứng tỏ đa thức
vô nghiệm.
và 
a) Tìm bậc của đa thức
và tính 
b) Tính
biết c) Chứng tỏ đa thức
vô nghiệm.
✍️ Hướng dẫn giải:
a) Ta có:
nên bậc của đa thức
là 3.
b) Ta có:
c) Vì
nên
Do đó,
vô nghiệm.
a) Ta có:
nên bậc của đa thức
là 3.
b) Ta có:
c) Vì
nên
Do đó,
vô nghiệm.
Câu 14 [833481]: Nhân dịp lễ giáng sinh, một cửa hàng bán quần áo trẻ em thông báo khi mua mỗi bộ đồ quần áo sẽ được giảm giá
so với giá niêm yết. Giả sử giá niêm yết một bộ đồ quần áo là
(đồng). Viết biểu thức tính số tiền phải trả khi mua loại quần áo đó với số lượng là:
a)
bộ;
b)
bộ.
so với giá niêm yết. Giả sử giá niêm yết một bộ đồ quần áo là
(đồng). Viết biểu thức tính số tiền phải trả khi mua loại quần áo đó với số lượng là: a)
bộ; b)
bộ.
✍️ Hướng dẫn giải:
Dựa vào dữ kiện:
• Mỗi bộ đồ quần áo sẽ được giảm giá
so với giá niêm yết.
• Giá niêm yết một bộ đồ quần áo là
(đồng).
Số tiền phải trả khi mua 1 bộ quần áo là
(đồng).
Số tiền phải trả khi mua
bộ quần áo là
(đồng).
Dựa vào dữ kiện:
• Mỗi bộ đồ quần áo sẽ được giảm giá
so với giá niêm yết. • Giá niêm yết một bộ đồ quần áo là
(đồng).
Số tiền phải trả khi mua 1 bộ quần áo là
(đồng).
Số tiền phải trả khi mua
bộ quần áo là
(đồng).
Câu 15 [833482]: Một xe khách đi từ Hà Nội lên Yên Bái (trên đường cao tốc Hà Nội - Lào Cai) với vận tốc
Sau đó
phút, một xe du lịch cũng đi từ Hà Nội lên Yên Bái (đi cùng đường với xe khách) với vận tốc
Cả hai xe đều không nghỉ dọc đường. Gọi
là đa thức biểu thị quãng đường xe du lịch đi được và
là đa thức biểu thị quãng đường xe khách đi được kể từ khi xuất phát cho đến khi xe du lịch đi được
giờ. Tìm
và
Sau đó
phút, một xe du lịch cũng đi từ Hà Nội lên Yên Bái (đi cùng đường với xe khách) với vận tốc
Cả hai xe đều không nghỉ dọc đường. Gọi
là đa thức biểu thị quãng đường xe du lịch đi được và
là đa thức biểu thị quãng đường xe khách đi được kể từ khi xuất phát cho đến khi xe du lịch đi được
giờ. Tìm
và
✍️ Hướng dẫn giải:
Đổi: 25 phút
Quãng đường xe du lịch đi từ Hà Nội lên Yên Bái đi được là:
Sau 25 phút xe khách đi, xe du lịch cũng đi nên khi xe du lịch đi được
giờ thì xe khách đi được
Do đó, quãng đường xe khách đi được là:
Đổi: 25 phút
Quãng đường xe du lịch đi từ Hà Nội lên Yên Bái đi được là:
Sau 25 phút xe khách đi, xe du lịch cũng đi nên khi xe du lịch đi được
giờ thì xe khách đi được
Do đó, quãng đường xe khách đi được là:

Dạng 4: Câu hỏi “Tổng hợp”
Câu 16 [833483]: Hãy ghép giá trị m trong cột 2 với giá trị m trong cột 1 sao cho đa thức A chia hết cho đa thức B. Có hai giá trị thừa mà bạn không cần sử dụng.
✍️ Hướng dẫn giải:
a) Ta có:
Đa thức
chia hết cho đa thức
thì
chia hết cho
Mà
là một số nên
chia hết cho
b) Ta có:

Đa thức
chia hết cho đa thức
thì
chia hết cho
Mà
là một số nên
chia hết cho
c) Ta có:

Đa thức
chia hết cho đa thức
thì
chia hết cho
Mà
là một số nên
chia hết cho
a) Ta có:
Đa thức
chia hết cho đa thức
thì
chia hết cho
Mà
là một số nên
chia hết cho
b) Ta có:

Đa thức
chia hết cho đa thức
thì
chia hết cho
Mà
là một số nên
chia hết cho
c) Ta có:

Đa thức
chia hết cho đa thức
thì
chia hết cho
Mà
là một số nên
chia hết cho
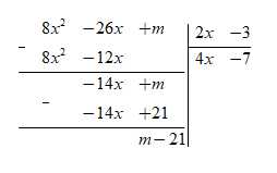
Câu 17 [833484]: Tìm giá trị nguyên của
để biểu thức
chia hết cho biểu thức
để biểu thức
chia hết cho biểu thức
✍️ Hướng dẫn giải:
Ta có:

Do đó, để
chia hết cho
thì
Vậy
thỏa mãn điều kiện đầu bài.
Ta có:

Do đó, để
chia hết cho
thì
Vậy
thỏa mãn điều kiện đầu bài.
Câu 18 [833485]: Tìm giá trị nguyên của
để biểu thức
chia hết cho biểu thức
để biểu thức
chia hết cho biểu thức
✍️ Hướng dẫn giải:
Ta có:
Do đó, để
chia hết cho
thì

Vậy
thỏa mãn điều kiện đầu bài.
Ta có:
Do đó, để
chia hết cho
thì

Vậy
thỏa mãn điều kiện đầu bài.
Câu 19 [833486]: Cho
với
là các số thoả mãn:
Chứng minh rằng
với
là các số thoả mãn:
Chứng minh rằng
✍️ Hướng dẫn giải:
Ta có:
và
Thay
vào các biểu thức trên ta được:

Vậy
Ta có:
và
Thay
vào các biểu thức trên ta được:

Vậy
Câu 20 [833490]: a) Thu gọn rồi tìm bậc, hệ số cao nhất, hệ số tự do của đa thức
biết: 
b) Tìm đa thức
biết
và 
c) Rút gọn rồi tìm nghiệm của đa thức
biết: 
b) Tìm đa thức
biết
và 
c) Rút gọn rồi tìm nghiệm của đa thức
✍️ Hướng dẫn giải:
a) Ta có:
Do đó, đa thức
bậc 2 với hệ số cao nhất là 3 và hệ số tự do là
b) Ta có:
c) Ta có:
Do đó,
a) Ta có:
Do đó, đa thức
bậc 2 với hệ số cao nhất là 3 và hệ số tự do là
b) Ta có:
c) Ta có:
Do đó,