Dạng 1: Câu hỏi “Điền đáp án đúng”
Câu 1 [1036785]: Điền một số nguyên thích hợp vào chỗ trống.
Nghiệm của phương trình
là
__________.
Nghiệm của phương trình
là
__________.
📌 Chú ý: Đây là kiểu câu hỏi “Điền đáp án đúng” với dữ liệu điền vào chỗ trống là “một số nguyên”. Khi trả lời câu hỏi này, cần chú ý dến dữ liệu điền vào chỗ trống để tránh sai sót.
✍️ Hướng dẫn giải:
Dựa vào dữ kiện:
ĐKXĐ:
Giải phương trình:
🔑 Điền đáp án: 9.
✍️ Hướng dẫn giải:
Dựa vào dữ kiện:
ĐKXĐ:
Giải phương trình:
🔑 Điền đáp án: 9.
Câu 2 [1036786]: Điền một số tự nhiên thích hợp vào chỗ trống.
Với
cho hai biểu thức
và
Có __________ giá trị của x để
Với
cho hai biểu thức
và
Có __________ giá trị của x để
📌 Chú ý: Đây là kiểu câu hỏi “Điền đáp án đúng” với dữ liệu điền vào chỗ trống là “một số tự nhiên”. Khi trả lời câu hỏi này, cần chú ý dến dữ liệu điền vào chỗ trống để tránh sai sót.
✍️ Hướng dẫn giải:
Dựa vào dữ kiện:
; 
Kết hợp với dữ kiện:
Kết hợp với dữ kiện:





🔑 Điền đáp án: 1.
✍️ Hướng dẫn giải:
Dựa vào dữ kiện:
; 
Kết hợp với dữ kiện:

Kết hợp với dữ kiện:






🔑 Điền đáp án: 1.
Câu 3 [1036787]: Điền một phân số tối giản thích hợp vào chỗ trống.
Nghiệm của phương trình
là
__________.
Nghiệm của phương trình
là
__________.
📌 Chú ý: Đây là kiểu câu hỏi “Điền đáp án đúng” với dữ liệu điền vào chỗ trống là “một phân số tối giản”. Khi trả lời câu hỏi này, cần chú ý dến dữ liệu điền vào chỗ trống để tránh sai sót.
✍️ Hướng dẫn giải:
Dựa vào dữ kiện:
ĐKXĐ của phương trình là:
Bình phương hai vế của phương trình:
🔑 Điền đáp án:
✍️ Hướng dẫn giải:
Dựa vào dữ kiện:
ĐKXĐ của phương trình là:
Bình phương hai vế của phương trình:
🔑 Điền đáp án:
Câu 4 [1036788]: Điền một số nguyên thích hợp vào chỗ trống.
Nghiệm của phương trình
là
__________.
Nghiệm của phương trình
là
__________.
📌 Chú ý: Đây là kiểu câu hỏi “Điền đáp án đúng” với dữ liệu điền vào chỗ trống là “một số nguyên”. Khi trả lời câu hỏi này, cần chú ý dến dữ liệu điền vào chỗ trống để tránh sai sót.
✍️ Hướng dẫn giải:
Dựa vào dữ kiện: Phương trình
ĐKXĐ:
Bình phương hai vế của phương trình:
Bình phương hai vế của phương trình:
🔑 Điền đáp án: 1.
✍️ Hướng dẫn giải:
Dựa vào dữ kiện: Phương trình
ĐKXĐ:
Bình phương hai vế của phương trình:
Bình phương hai vế của phương trình:
🔑 Điền đáp án: 1.
Câu 5 [1016595]: Điền một số nguyên thích hợp vào chỗ trống.
Phương trình
có một nghiệm dạng
với a, b là các số nguyên. Giá trị của biểu thức
là __________.
Phương trình
có một nghiệm dạng
với a, b là các số nguyên. Giá trị của biểu thức
là __________.
📌 Chú ý: Đây là kiểu câu hỏi “Điền đáp án đúng” với dữ liệu điền vào chỗ trống là “một số nguyên”. Khi trả lời câu hỏi này, cần chú ý đến dữ liệu điền vào chỗ trống để tránh sai sót.
✍️ Hướng dẫn giải:
Dựa vào dữ kiện:
Điều kiện xác định:
. Do vế trái không âm nên phải có
\[\Rightarrow \]Điều kiện xác định là 
Bình phương hai vế ta có:


Giải phương trình bậc hai
.
Ta có:

Kiểm tra điều kiện:
(loại), còn
thỏa mãn
Vậy nghiệm phù hợp là
nên 
Giá trị
🔑 Điền đáp án: 14.
✍️ Hướng dẫn giải:
Dựa vào dữ kiện:

Điều kiện xác định:
. Do vế trái không âm nên phải có
\[\Rightarrow \]Điều kiện xác định là 
Bình phương hai vế ta có:


Giải phương trình bậc hai
. Ta có:

Kiểm tra điều kiện:
(loại), còn
thỏa mãn
Vậy nghiệm phù hợp là
nên 
Giá trị

🔑 Điền đáp án: 14.
Câu 6 [1036789]: Điền một số tự nhiên thích hợp vào chỗ trống.
Phương trình
có __________ nghiệm nguyên.
Phương trình
có __________ nghiệm nguyên.
📌 Chú ý: Đây là kiểu câu hỏi “Điền đáp án đúng” với dữ liệu điền vào chỗ trống là “một số tự nhiên”. Khi trả lời câu hỏi này, cần chú ý dến dữ liệu điền vào chỗ trống để tránh sai sót.
✍️ Hướng dẫn giải:
Dựa vào dữ kiện:
ĐKXĐ:
Giải phương trình:
🔑 Điền đáp án: 0.
✍️ Hướng dẫn giải:
Dựa vào dữ kiện:
ĐKXĐ:
Giải phương trình:
🔑 Điền đáp án: 0.
Câu 7 [1036790]: Điền một số tự nhiên thích hợp vào chỗ trống.
Cho
là các số lớn hơn
Giá trị nhỏ nhất của biểu thức
là __________.
Cho
là các số lớn hơn
Giá trị nhỏ nhất của biểu thức
là __________.
📌 Chú ý: Đây là kiểu câu hỏi “Điền đáp án đúng” với dữ liệu điền vào chỗ trống là “một số tự nhiên”. Khi trả lời câu hỏi này, cần chú ý dến dữ liệu điền vào chỗ trống để tránh sai sót.
✍️ Hướng dẫn giải:
Dựa vào dữ kiện:
là các số lớn hơn 
Kết hợp với dữ kiện:
📒 Áp dụng BĐT Cauchy:



Cộng hai vế các bất đẳng thức:


Dấu "=" xảy ra khi:
🔑 Điền đáp án: 15.
✍️ Hướng dẫn giải:
Dựa vào dữ kiện:
là các số lớn hơn 
Kết hợp với dữ kiện:

📒 Áp dụng BĐT Cauchy:



Cộng hai vế các bất đẳng thức:


Dấu "=" xảy ra khi:
🔑 Điền đáp án: 15.
Câu 8 [1036791]: Điền một số tự nhiên thích hợp vào chỗ trống.
Cho x và y là hai số thực thỏa mãn phương trình
Giá trị của y bằng __________.
Cho x và y là hai số thực thỏa mãn phương trình
Giá trị của y bằng __________.
📌 Chú ý: Đây là kiểu câu hỏi “Điền đáp án đúng” với dữ liệu điền vào chỗ trống là “một số tự nhiên”. Khi trả lời câu hỏi này, cần chú ý dến dữ liệu điền vào chỗ trống để tránh sai sót.
✍️ Hướng dẫn giải:
Dựa vào dữ kiện:
Vì ĐKXĐ của phương trình là
và




🔑 Điền đáp án: 2007.
✍️ Hướng dẫn giải:
Dựa vào dữ kiện:
Vì ĐKXĐ của phương trình là
và




🔑 Điền đáp án: 2007.
Câu 9 [1036792]: Điền một số nguyên thích hợp vào chỗ trống.
Giá trị nhỏ nhất của
bằng __________.
Giá trị nhỏ nhất của
bằng __________.
📌 Chú ý: Đây là kiểu câu hỏi “Điền đáp án đúng” với dữ liệu điền vào chỗ trống là “một số nguyên”. Khi trả lời câu hỏi này, cần chú ý dến dữ liệu điền vào chỗ trống để tránh sai sót.
✍️ Hướng dẫn giải:
Dựa vào dữ kiện:
ĐKXĐ:
🔑 Điền đáp án: 4.
✍️ Hướng dẫn giải:
Dựa vào dữ kiện:
ĐKXĐ:
🔑 Điền đáp án: 4.
Câu 10 [1036793]: Điền một phân số tối giản thích hợp vào chỗ trống.
Giải phương trình
ta được nghiệm
__________.
Giải phương trình
ta được nghiệm
__________.
📌 Chú ý: Đây là kiểu câu hỏi “Điền đáp án đúng” với dữ liệu điền vào chỗ trống là “một phân số tối giản”. Khi trả lời câu hỏi này, cần chú ý dến dữ liệu điền vào chỗ trống để tránh sai sót.
✍️ Hướng dẫn giải:
Dựa vào dữ kiện: Phương trình
ĐKXĐ:
Giải phương trình:
Đặt
Khi đó phương trình trở thành:
Vì

🔑 Điền đáp án:
✍️ Hướng dẫn giải:
Dựa vào dữ kiện: Phương trình
ĐKXĐ:
Giải phương trình:
Đặt
Khi đó phương trình trở thành:
Vì


🔑 Điền đáp án:
Câu 11 [1036794]: Điền một số tự nhiên thích hợp vào chỗ trống.
Tổng bình phương các nghiệm của phương trình
là __________.
Tổng bình phương các nghiệm của phương trình
là __________.
📌 Chú ý: Đây là kiểu câu hỏi “Điền đáp án đúng” với dữ liệu điền vào chỗ trống là “một số tự nhiên”. Khi trả lời câu hỏi này, cần chú ý dến dữ liệu điền vào chỗ trống để tránh sai sót.
✍️ Hướng dẫn giải:
Dựa vào dữ kiện:
Giải phương trình (1):
Phương trình (2) vô nghiệm.
Vậy tổng bình phương các nghiệm của phương trình là
🔑 Điền đáp án: 16.
✍️ Hướng dẫn giải:
Dựa vào dữ kiện:
Giải phương trình (1):
Phương trình (2) vô nghiệm.
Vậy tổng bình phương các nghiệm của phương trình là
🔑 Điền đáp án: 16.
Dạng 2: Câu hỏi “Tự luận”
Câu 12 [1036795]: Giải các phương trình sau:
a)
b)
c)
a)

b)

c)
✍️ Hướng dẫn giải:
a)
Vậy phương trình có một nghiệm là
b)
Vậy phương trình có một nghiệm là
c)
Vậy phương trình có hai nghiệm là
và
a)
Vậy phương trình có một nghiệm là
b)
Vậy phương trình có một nghiệm là
c)
Vậy phương trình có hai nghiệm là
và
Câu 13 [1036796]: Tìm tất cả các giá trị của tham số m để phương trình
có nghiệm thực.
có nghiệm thực.
✍️ Hướng dẫn giải:
Dựa vào dữ kiện:
ĐKXĐ:
Bình phương hai vế của phương trình:
Đặt
Ta có:
Khi đó phương trình trở thành:
Nghiệm của phương trình được biểu diễn bởi đồ thị của hàm số
và đường thẳng
Ta có bảng biến thiên:
Phương trình có nghiệm khi và chỉ khi
Dựa vào dữ kiện:
ĐKXĐ:
Bình phương hai vế của phương trình:
Đặt
Ta có:
Khi đó phương trình trở thành:
Nghiệm của phương trình được biểu diễn bởi đồ thị của hàm số
và đường thẳng
Ta có bảng biến thiên:
Phương trình có nghiệm khi và chỉ khi
Câu 14 [1036797]: Có bao nhiêu giá trị của x để biểu thức
nhận giá trị là một số nguyên?
nhận giá trị là một số nguyên?
✍️ Hướng dẫn giải:
ĐKXĐ:
Dựa vào dữ kiện:
Ta có:
•


•


Suy ra
Mà P nguyên nên 
Với

Với

Vậy có hai giá trị của x để biểu thức
nhận giá trị nguyên.
ĐKXĐ:

Dựa vào dữ kiện:

Ta có:
•



•



Suy ra
Mà P nguyên nên 
Với


Với


Vậy có hai giá trị của x để biểu thức
nhận giá trị nguyên. Dạng 3: Câu hỏi “Tổng hợp”
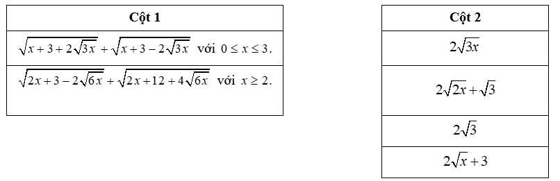
Câu 15 [1036798]: Hãy ghép biểu thức trong cột 1 với biểu thức phù hợp nhất trong cột 2. Có hai biểu thức thừa mà bạn không cần sử dụng.
✍️ Hướng dẫn giải:
Dựa vào dữ kiện:


Dựa vào dữ kiện:



Dựa vào dữ kiện:


Dựa vào dữ kiện:



Câu 16 [1036799]: Giải phương trình sau:
✍️ Hướng dẫn giải:
Dựa vào dữ kiện:
ĐKXĐ:
Vì
Dấu xảy ra khi và chỉ khi
Vậy phương trình có một nghiệm là
Dựa vào dữ kiện:
ĐKXĐ:
Vì
Dấu xảy ra khi và chỉ khi
Vậy phương trình có một nghiệm là
Câu 17 [1036800]: Tìm giá trị nhỏ nhất của các biểu thức sau:
a)
b) 
c)
d)
a)
b) 
c)
d)
✍️ Hướng dẫn giải:
a)
ĐKXĐ:

Giá trị nhỏ nhất của biểu thức là
tại
b)
ĐKXĐ:

Giá trị nhỏ nhất của biểu thức là
tại
c)
ĐKXĐ:

Giá trị nhỏ nhất của biểu thức là
tại
d)
ĐKXĐ:




Giá trị nhỏ nhất của biểu thức là
tại
a)
ĐKXĐ:

Giá trị nhỏ nhất của biểu thức là
tại
b)
ĐKXĐ:

Giá trị nhỏ nhất của biểu thức là
tại
c)
ĐKXĐ:

Giá trị nhỏ nhất của biểu thức là
tại
d)
ĐKXĐ:




Giá trị nhỏ nhất của biểu thức là
tại
Câu 18 [1036801]: Tìm giá trị lớn nhất của các biểu thức sau:
a)
b) 
c)
d)
a)
b) 
c)
d)
✍️ Hướng dẫn giải:
a)
ĐKXĐ:



Vậy giá trị lớn nhất của biểu thức là 9 tại
b)
ĐKXĐ:



Vậy giá trị lớn nhất của biểu thức là 11 tại
c)
ĐKXĐ:



Vậy giá trị lớn nhất của biểu thức là 5 tại
d)
ĐKXĐ:



Vậy giá trị lớn nhất của biểu thức là
tại
a)
ĐKXĐ:



Vậy giá trị lớn nhất của biểu thức là 9 tại
b)
ĐKXĐ:



Vậy giá trị lớn nhất của biểu thức là 11 tại
c)
ĐKXĐ:



Vậy giá trị lớn nhất của biểu thức là 5 tại
d)
ĐKXĐ:



Vậy giá trị lớn nhất của biểu thức là
tại
Câu 19 [1036802]: Cho biểu thức
Tìm giá trị nhỏ nhất của biểu thức
Tìm giá trị nhỏ nhất của biểu thức
✍️ Hướng dẫn giải:
Dựa vào dữ kiện:
ĐKXĐ:
Kết hợp với dữ kiện:
khi và chỉ khi
Vậy giá trị nhỏ nhất của biểu thức là
tại
Dựa vào dữ kiện:
ĐKXĐ:
Kết hợp với dữ kiện:
khi và chỉ khi
Vậy giá trị nhỏ nhất của biểu thức là
tại
Câu 20 [1036803]: Cho biểu thức
Tìm giá trị lớn nhất của biểu thức
Tìm giá trị lớn nhất của biểu thức
✍️ Hướng dẫn giải:
Dựa vào dữ kiện:
ĐKXĐ:
Kết hợp với dữ kiện:
khi và chỉ khi
Vậy giá trị nhỏ nhất của biểu thức là
tại
Dựa vào dữ kiện:
ĐKXĐ:
Kết hợp với dữ kiện:
khi và chỉ khi
Vậy giá trị nhỏ nhất của biểu thức là
tại