Dạng 1: Câu hỏi “Chọn một trong bốn đáp án”.
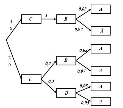
Câu 1 [1038607]: Cho hai biến cố ngẫu nhiên A và B có
Khi đó,
bằng
Khi đó,
bằng A, 0,3.
B, 0,5.
C, 0,4.
D, 0,6.
📌 Chú ý: Đây là kiểu câu hỏi “Nhiều lựa chọn”, với phần chọn phương án được cho bởi “hình tròn” câu hỏi này thuộc dạng “Chọn một trong bốn đáp án”, có nghĩa là chỉ có một phương án đúng duy nhất trong câu hỏi này.
✍️ Hướng dẫn giải:
Dựa vào dữ kiện: Cho hai biến cố ngẫu nhiên A và B có

📒 Áp dụng công thức Bayes ta có:


🔑 Chọn đáp án: 0,6. Đáp án: D
✍️ Hướng dẫn giải:
Dựa vào dữ kiện: Cho hai biến cố ngẫu nhiên A và B có

📒 Áp dụng công thức Bayes ta có:


🔑 Chọn đáp án: 0,6. Đáp án: D
Câu 2 [1038608]: Một xét nghiệm bệnh truyền nhiễm cho kết quả dương tính với 80% các trường hợp thực sự nhiễm virus và cho kết quả âm tính với 70% các trường hợp thực sự không nhiễm virus. Biết rằng tỉ lệ người mắc bệnh truyền nhiễm này trong một cộng đồng nào đó là 2%. Một người trong cộng đồng đó có kết quả xét nghiệm dương tính. Xác suất để người đó thực sự bị nhiễm virus là
A, 

B, 

C, 

D, 

📌 Chú ý: Đây là kiểu câu hỏi “Nhiều lựa chọn”, với phần chọn phương án được cho bởi “hình tròn” câu hỏi này thuộc dạng “Chọn một trong bốn đáp án”, có nghĩa là chỉ có một phương án đúng duy nhất trong câu hỏi này.
✍️ Hướng dẫn giải:
Dựa vào dữ kiện:
• Một xét nghiệm bệnh truyền nhiễm cho kết quả dương tính với 80% các trường hợp thực sự nhiễm virus và cho kết quả âm tính với 70% các trường hợp thực sự không nhiễm virus.
• Tỉ lệ người mắc bệnh truyền nhiễm này trong một cộng đồng nào đó là 2%.
• Một người trong cộng đồng đó có kết quả xét nghiệm dương tính.
Gọi A là biến cố người đó bị nhiễm virus
B là biến cố “Người được chọn ra có xét nghiệm dương tính”.
Xác suất để người đó có kết quả dương tính là:
Xác suất để người đó thực sự bị nhiễm virus là:

🔑 Chọn đáp án:
Đáp án: B
✍️ Hướng dẫn giải:
Dựa vào dữ kiện:
• Một xét nghiệm bệnh truyền nhiễm cho kết quả dương tính với 80% các trường hợp thực sự nhiễm virus và cho kết quả âm tính với 70% các trường hợp thực sự không nhiễm virus.
• Tỉ lệ người mắc bệnh truyền nhiễm này trong một cộng đồng nào đó là 2%.
• Một người trong cộng đồng đó có kết quả xét nghiệm dương tính.
Gọi A là biến cố người đó bị nhiễm virus
B là biến cố “Người được chọn ra có xét nghiệm dương tính”.
Xác suất để người đó có kết quả dương tính là:

Xác suất để người đó thực sự bị nhiễm virus là:

🔑 Chọn đáp án:
Đáp án: B
Câu 3 [1038609]: Kết quả khảo sát tại một xã cho thấy có 20% cư dân hút thuốc lá. Tỉ lệ cư dân thường xuyên gặp các vấn đề sức khoẻ về đường hô hấp trong số những người hút thuốc lá và không hút thuốc lá lần lượt là 70% và 15%. Nếu ta gặp một cư dân của xã thường xuyên gặp các vấn đề sức khoẻ về đường hô hấp thì xác suất người đó có hút thuốc lá là khoảng bao nhiêu phần trăm?
A, 46%.
B, 58%.
C, 26%.
D, 54%.
📌 Chú ý: Đây là kiểu câu hỏi “Nhiều lựa chọn”, với phần chọn phương án được cho bởi “hình tròn” câu hỏi này thuộc dạng “Chọn một trong bốn đáp án”, có nghĩa là chỉ có một phương án đúng duy nhất trong câu hỏi này.
✍️ Hướng dẫn giải:
Dựa vào dữ kiện:
• Kết quả khảo sát tại một xã cho thấy có 20% cư dân hút thuốc lá.
• Tỉ lệ cư dân thường xuyên gặp các vấn đề sức khoẻ về đường hô hấp trong số những người hút thuốc lá và không hút thuốc lá lần lượt là 70% và 15%.
Giả sử ta gặp một cư dân của xã, gọi
là biến cố "Người đó có hút thuốc lá" và
là biến cố "Người đó thường xuyên gặp các vấn đề sức khoẻ về đường hô hấp".
Ta có:
📒 Áp dụng công thức Bayes, ta có:

🔑 Chọn đáp án: 54%. Đáp án: D
✍️ Hướng dẫn giải:
Dựa vào dữ kiện:
• Kết quả khảo sát tại một xã cho thấy có 20% cư dân hút thuốc lá.
• Tỉ lệ cư dân thường xuyên gặp các vấn đề sức khoẻ về đường hô hấp trong số những người hút thuốc lá và không hút thuốc lá lần lượt là 70% và 15%.
Giả sử ta gặp một cư dân của xã, gọi
là biến cố "Người đó có hút thuốc lá" và
là biến cố "Người đó thường xuyên gặp các vấn đề sức khoẻ về đường hô hấp".Ta có:

📒 Áp dụng công thức Bayes, ta có:

🔑 Chọn đáp án: 54%. Đáp án: D
Câu 4 [1038610]: Tỷ lệ sản phẩm tốt của máy thứ nhất là 99%, của máy thứ hai là 98%. Một lô sản phẩm gồm 40% sản phẩm của máy thứ nhất và 60% sản phẩm của máy thứ hai. Người ta lấy ngẫu nhiên ra một sản phẩm để kiểm tra thấy là sản phẩm tốt. Xác suất để sản phẩm đó do máy thứ nhất sản xuất là
A, 

B, 

C, 

D, 

📌 Chú ý: Đây là kiểu câu hỏi “Nhiều lựa chọn”, với phần chọn phương án được cho bởi “hình tròn” câu hỏi này thuộc dạng “Chọn một trong bốn đáp án”, có nghĩa là chỉ có một phương án đúng duy nhất trong câu hỏi này.
✍️ Hướng dẫn giải:
Dựa vào dữ kiện:
• Tỷ lệ sản phẩm tốt của máy thứ nhất là 99%, của máy thứ hai là 98%.
• Một lô sản phẩm gồm 40% sản phẩm của máy thứ nhất và 60% sản phẩm của máy thứ hai.
• Người ta lấy ngẫu nhiên ra một sản phẩm để kiểm tra thấy là sản phẩm tốt.
Gọi A là biến cố “Sản phẩm kiểm tra là sản phẩm tốt”
B là biến cố “Sản phẩm do máy thứ nhất sản xuất”.
là biến cố “Sản phẩm do máy thứ hai sản xuất”.


🔑 Chọn đáp án:
Đáp án: D
✍️ Hướng dẫn giải:
Dựa vào dữ kiện:
• Tỷ lệ sản phẩm tốt của máy thứ nhất là 99%, của máy thứ hai là 98%.
• Một lô sản phẩm gồm 40% sản phẩm của máy thứ nhất và 60% sản phẩm của máy thứ hai.
• Người ta lấy ngẫu nhiên ra một sản phẩm để kiểm tra thấy là sản phẩm tốt.
Gọi A là biến cố “Sản phẩm kiểm tra là sản phẩm tốt”
B là biến cố “Sản phẩm do máy thứ nhất sản xuất”.
là biến cố “Sản phẩm do máy thứ hai sản xuất”.


🔑 Chọn đáp án:
Đáp án: D
Câu 5 [1038611]: Tỷ lệ người nghiện thuốc là ở một vùng là 30%. Biết rằng tỷ lệ người bị viêm họng trong số những người nghiện thuốc là 60%, còn tỷ lệ người bị viêm họng trong số những người không nghiện là 40%. Lấy ngẫu nhiên một người thấy người ấy không bị viêm họng. Xác suất người đó nghiện thuốc lá là
A, 

B, 

C, 

D, 

📌 Chú ý: Đây là kiểu câu hỏi “Nhiều lựa chọn”, với phần chọn phương án được cho bởi “hình tròn” câu hỏi này thuộc dạng “Chọn một trong bốn đáp án”, có nghĩa là chỉ có một phương án đúng duy nhất trong câu hỏi này.
✍️ Hướng dẫn giải:
Dựa vào dữ kiện:
• Tỷ lệ người nghiện thuốc lá ở một vùng là 30%.
• Biết rằng tỷ lệ người bị viêm họng trong số những người nghiện thuốc lá là 60%, còn tỷ lệ người bị viêm họng trong số những người không nghiện là 40%.
• Lấy ngẫu nhiên một người thấy người ấy không bị viêm họng.
Gọi
là biến cố “Người ấy không bị viêm họng”
lần lượt là biến cố : “Người ấy nghiện thuốc lá” và “ Người ấy không nghiện thuốc lá”

Do đó
🔑 Chọn đáp án:
Đáp án: B
✍️ Hướng dẫn giải:
Dựa vào dữ kiện:
• Tỷ lệ người nghiện thuốc lá ở một vùng là 30%.
• Biết rằng tỷ lệ người bị viêm họng trong số những người nghiện thuốc lá là 60%, còn tỷ lệ người bị viêm họng trong số những người không nghiện là 40%.
• Lấy ngẫu nhiên một người thấy người ấy không bị viêm họng.
Gọi
là biến cố “Người ấy không bị viêm họng”
lần lượt là biến cố : “Người ấy nghiện thuốc lá” và “ Người ấy không nghiện thuốc lá”

Do đó
🔑 Chọn đáp án:
Đáp án: B
Câu 6 [1038612]: Một phân xưởng có 3 máy tự động: máy I sản xuất 25%, máy II sản xuất
máy III sản xuất 45% số sản phẩm. Tỷ lệ phế phẩm tương ứng của các máy lần lượt là 0,1%; 0,2% và 0,3%. Chọn ngẫu nhiên ra một sản phẩm của phân xưởng. Xác suất nó là phế phẩm là
máy III sản xuất 45% số sản phẩm. Tỷ lệ phế phẩm tương ứng của các máy lần lượt là 0,1%; 0,2% và 0,3%. Chọn ngẫu nhiên ra một sản phẩm của phân xưởng. Xác suất nó là phế phẩm là A, 0,24%.
B, 0,3%.
C, 0,25%.
D, 0,22%.
📌 Chú ý: Đây là kiểu câu hỏi “Nhiều lựa chọn”, với phần chọn phương án được cho bởi “hình tròn” câu hỏi này thuộc dạng “Chọn một trong bốn đáp án”, có nghĩa là chỉ có một phương án đúng duy nhất trong câu hỏi này.
✍️ Hướng dẫn giải:
Dựa vào dữ kiện:
• Một phân xưởng có 3 máy tự động: máy I sản xuất 25%, máy II sản xuất 30%, máy III sản xuất 45% số sản phẩm.
• Tỷ lệ phế phẩm tương ứng của các máy lần lượt là 0,1%; 0,2% và 0,3%.
• Chọn ngẫu nhiên ra một sản phẩm của phân xưởng.
Gọi
là biến cố “lấy ra sản phẩm từ máy 1 ( hoặc 2 hoặc 3) sản xuất”
Gọi A là biến cố: Lấy ra phế phẩm”

🔑 Chọn đáp án: 0,22%. Đáp án: D
✍️ Hướng dẫn giải:
Dựa vào dữ kiện:
• Một phân xưởng có 3 máy tự động: máy I sản xuất 25%, máy II sản xuất 30%, máy III sản xuất 45% số sản phẩm.
• Tỷ lệ phế phẩm tương ứng của các máy lần lượt là 0,1%; 0,2% và 0,3%.
• Chọn ngẫu nhiên ra một sản phẩm của phân xưởng.
Gọi
là biến cố “lấy ra sản phẩm từ máy 1 ( hoặc 2 hoặc 3) sản xuất”
Gọi A là biến cố: Lấy ra phế phẩm”

🔑 Chọn đáp án: 0,22%. Đáp án: D
Câu 7 [1038613]: Một lô hạt giống được phân thành ba loại. Loại 1 chiếm
số hạt cả lô, loại 2 chiếm
còn lại là loại 3. Loại 1 có tỉ lệ nẩy mầm 80%, loại 2 có tỉ lệ nẩy mầm 60% và loại 3 có tỉ lệ nẩy mầm 40%. Hỏi tỉ lệ nẩy mầm chung của lô hạt giống là bao nhiêu?
số hạt cả lô, loại 2 chiếm
còn lại là loại 3. Loại 1 có tỉ lệ nẩy mầm 80%, loại 2 có tỉ lệ nẩy mầm 60% và loại 3 có tỉ lệ nẩy mầm 40%. Hỏi tỉ lệ nẩy mầm chung của lô hạt giống là bao nhiêu? A, 

B, 

C, 

D, 

📌 Chú ý: Đây là kiểu câu hỏi “Nhiều lựa chọn”, với phần chọn phương án được cho bởi “hình tròn” câu hỏi này thuộc dạng “Chọn một trong bốn đáp án”, có nghĩa là chỉ có một phương án đúng duy nhất trong câu hỏi này.
✍️ Hướng dẫn giải:
Dựa vào dữ kiện:
• Loại 1 chiếm
số hạt cả lô, loại 2 chiếm
còn lại là loại 3.
• Loại 1 có tỉ lệ nảy mầm 80%, loại 2 có tỉ lệ nảy mầm 60% và loại 3 có tỉ lệ nảy mầm 40%.
Gọi
là biến cố “lấy ra giống loại 1 ( hoặc 2 hoặc 3) sản xuất”.
Gọi A là biến cố: “Lấy ra hạt nảy mầm”.

🔑 Chọn đáp án:
Đáp án: A
✍️ Hướng dẫn giải:
Dựa vào dữ kiện:
• Loại 1 chiếm
số hạt cả lô, loại 2 chiếm
còn lại là loại 3. • Loại 1 có tỉ lệ nảy mầm 80%, loại 2 có tỉ lệ nảy mầm 60% và loại 3 có tỉ lệ nảy mầm 40%.
Gọi
là biến cố “lấy ra giống loại 1 ( hoặc 2 hoặc 3) sản xuất”.
Gọi A là biến cố: “Lấy ra hạt nảy mầm”.

🔑 Chọn đáp án:
Đáp án: A
Câu 8 [1038614]: Trong kì kiểm tra môn Toán của một trường trung học phổ thông có 200 học sinh tham gia, trong đó có 95 học sinh nam và 105 học sinh nữ. Khi công bố kết quả của kì kiểm tra đó, có 50 học sinh đạt điểm giỏi, trong đó có 24 học sinh nam và 26 học sinh nữ. Chọn ngẫu nhiên một học sinh trong số 200 học sinh đó. Biết rằng học sinh đó là nữ, xác suất để học sinh được chọn ra đạt điểm giỏi là (làm tròn kết quả đến hàng phần trăm)
A, 0,25.
B, 0,24.
C, 0,22.
D, 0,23.
📌 Chú ý: Đây là kiểu câu hỏi “Nhiều lựa chọn”, với phần chọn phương án được cho bởi “hình tròn” câu hỏi này thuộc dạng “Chọn một trong bốn đáp án”, có nghĩa là chỉ có một phương án đúng duy nhất trong câu hỏi này.
✍️ Hướng dẫn giải:
Dựa vào dữ kiện:
• Trong kì kiểm tra môn Toán của một trường trung học phổ thông có 200 học sinh tham gia, trong đó có 95 học sinh nam và 105 học sinh nữ.
• Khi công bố kết quả của kì kiểm tra đó, có 50 học sinh đạt điểm giỏi, trong đó có 24 học sinh nam và 26 học sinh nữ.
• Chọn ngẫu nhiên một học sinh trong số 200 học sinh đó, biết rằng học sinh đó là nữ.
Gọi A là biến cố học sinh đó học sinh giỏi
Gọi B là biến cố học sinh đó là nữ
Xác suất để học sinh được chọn ra đạt điểm giỏi là:

🔑 Chọn đáp án: 0,25. Đáp án: A
✍️ Hướng dẫn giải:
Dựa vào dữ kiện:
• Trong kì kiểm tra môn Toán của một trường trung học phổ thông có 200 học sinh tham gia, trong đó có 95 học sinh nam và 105 học sinh nữ.
• Khi công bố kết quả của kì kiểm tra đó, có 50 học sinh đạt điểm giỏi, trong đó có 24 học sinh nam và 26 học sinh nữ.
• Chọn ngẫu nhiên một học sinh trong số 200 học sinh đó, biết rằng học sinh đó là nữ.
Gọi A là biến cố học sinh đó học sinh giỏi
Gọi B là biến cố học sinh đó là nữ
Xác suất để học sinh được chọn ra đạt điểm giỏi là:

🔑 Chọn đáp án: 0,25. Đáp án: A
Câu 9 [1038615]: Một lớp có 60 em học sinh, 40 em có y phục màu xanh, 10 em có y phục có cả màu xanh và màu trắng. Chọn ngẫu nhiên một em. Xác suất để em đó y phục có màu trắng với điều kiện y phục của em đó có màu xanh là
A, 

B, 

C, 

D, 

📌 Chú ý: Đây là kiểu câu hỏi “Nhiều lựa chọn”, với phần chọn phương án được cho bởi “hình tròn” câu hỏi này thuộc dạng “Chọn một trong bốn đáp án”, có nghĩa là chỉ có một phương án đúng duy nhất trong câu hỏi này.
✍️ Hướng dẫn giải:
Dựa vào dữ kiện:
• Một lớp có 60 em học sinh, 40 em có y phục màu xanh, 10 em có y phục có cả màu xanh và màu trắng.
• Chọn ngẫu nhiên một em.
Gọi A là biến cố chọn được em y phục có màu trắng.
Gọi B là biến cố chọn được em y phục có màu xanh.
Xác suất để em đó y phục có màu trắng với điều kiện y phục của em đó có màu xanh là:

🔑 Chọn đáp án:
Đáp án: B
✍️ Hướng dẫn giải:
Dựa vào dữ kiện:
• Một lớp có 60 em học sinh, 40 em có y phục màu xanh, 10 em có y phục có cả màu xanh và màu trắng.
• Chọn ngẫu nhiên một em.
Gọi A là biến cố chọn được em y phục có màu trắng.
Gọi B là biến cố chọn được em y phục có màu xanh.
Xác suất để em đó y phục có màu trắng với điều kiện y phục của em đó có màu xanh là:

🔑 Chọn đáp án:
Đáp án: B
Câu 10 [1038616]: Hai nhà máy cùng sản xuất 1 loại linh kiện điện tử. Năng suất nhà máy hai gấp 3 lần năng suất nhà máy một. Tỷ lệ hỏng của nhà máy một và hai lần lượt là 0,1% và 0,2%. Giả sử linh kiện bán ở Trung tâm chỉ do hai nhà máy này sản xuất. Mua 1 linh kiện ở Trung tâm. Xác suất để linh kiện ấy hỏng là
A, 0,175%.
B, 0,125%.
C, 0,225%.
D, 0,233%.
📌 Chú ý: Đây là kiểu câu hỏi “Nhiều lựa chọn”, với phần chọn phương án được cho bởi “hình tròn” câu hỏi này thuộc dạng “Chọn một trong bốn đáp án”, có nghĩa là chỉ có một phương án đúng duy nhất trong câu hỏi này.
✍️ Hướng dẫn giải:
Dựa vào dữ kiện:
• Hai nhà máy cùng sản xuất 1 loại linh kiện điện tử.
• Năng suất nhà máy hai gấp 3 lần năng suất nhà máy một. Tỷ lệ hỏng của nhà máy một và hai lần lượt là 0,1% và 0,2%.
• Linh kiện bán ở trung tâm chỉ do hai nhà máy này sản xuất.
• Mua 1 linh kiện ở trung tâm.
Gọi
lần lượt là biến cố linh kiện điện tử do nhà máy I và nhà máy II sản xuất.
là một hệ đầy đủ.
Gọi B là biến cố linh kiện điện tử bị hỏng

Xác suất linh kiện bán ra là một linh kiện bị hỏng là:




🔑 Chọn đáp án: 0,175%. Đáp án: A
✍️ Hướng dẫn giải:
Dựa vào dữ kiện:
• Hai nhà máy cùng sản xuất 1 loại linh kiện điện tử.
• Năng suất nhà máy hai gấp 3 lần năng suất nhà máy một. Tỷ lệ hỏng của nhà máy một và hai lần lượt là 0,1% và 0,2%.
• Linh kiện bán ở trung tâm chỉ do hai nhà máy này sản xuất.
• Mua 1 linh kiện ở trung tâm.
Gọi
lần lượt là biến cố linh kiện điện tử do nhà máy I và nhà máy II sản xuất.
là một hệ đầy đủ.Gọi B là biến cố linh kiện điện tử bị hỏng

Xác suất linh kiện bán ra là một linh kiện bị hỏng là:




🔑 Chọn đáp án: 0,175%. Đáp án: A
Dạng 2: Câu hỏi “Chọn nhiều đáp án đúng”.
Câu 11 [1038617]: Năm 2001, Cộng đồng châu Âu có làm một đợt kiểm tra rất rộng rãi các con bò để phát hiện những con bò bị bệnh bò điên. Không có xét nghiệm nào cho kết quả chính xác 100%. Một loại xét nghiệm, mà ở đây ta gọi là xét nghiệm A, cho kết quả như sau: khi con bò bị bệnh bò điên thì xác suất để có phản ứng dương tính trong xét nghiệm A là 70%, còn khi con bò không bị bệnh bò điên thì xác suất để có phản ứng dương tính trong xét nghiệm A là 10%. Biết rằng tỉ lệ bò bị mắc bệnh bò điên ở Hà Lan là
con trên 1 000 000 con.
Những phát biểu nào dưới đây đúng?
con trên 1 000 000 con.(Nguồn: F.M. Dekking et al., A modern introduction to probability and statistics – Understanding why and how}, Springer, 2005)
Chọn ngẫu nhiên một con bò ở Hà Lan. Những phát biểu nào dưới đây đúng?
📌 Chú ý: Đây là kiểu câu hỏi “Nhiều lựa chọn” với phần chọn phương án được cho bởi “hình vuông” câu hỏi này thuộc dạng “Chọn nhiều đáp án đúng” có nghĩa là có nhiều hơn một phương án đúng trong câu hỏi này.
✍️ Hướng dẫn giải:
Dựa vào dữ kiện:
• Không có xét nghiệm nào cho kết quả chính xác 100%.
• Một loại xét nghiệm, mà ở đây ta gọi là xét nghiệm A, cho kết quả như sau: khi con bò bị bệnh bò điên thì xác suất để có phản ứng dương tính trong xét nghiệm A là 70%, còn khi con bò không bị bệnh bò điên thì xác suất để có phản ứng dương tính trong xét nghiệm A là 10%.
• Tỉ lệ bò bị mắc bệnh bò điên ở Hà Lan là
con trên 1 000 000 con.
Gọi
là biến cố: “Con bò bị bệnh bò điên”

là biến cố: “Con bò không bị bệnh bò điên”

là biến cố: “Kết quả xét nghiệm A dương tính”

là biến cố: “Kết quả xét nghiệm A âm tính”

Xác suất con bò được chọn bị bệnh bò điên:
Xác suất dương tính nếu biết bò bị bệnh:
Xác suất một con bò bất kỳ dương tính với xét nghiệm A
📒 Áp dụng công thức xác suất toàn phần:



Xác suất không bị bệnh, biết xét nghiệm dương tính
📒 Áp dụng công thức Bayes:


🔑 Chọn phát biểu thứ hai và phát biểu thứ nhất.
✍️ Hướng dẫn giải:
Dựa vào dữ kiện:
• Không có xét nghiệm nào cho kết quả chính xác 100%.
• Một loại xét nghiệm, mà ở đây ta gọi là xét nghiệm A, cho kết quả như sau: khi con bò bị bệnh bò điên thì xác suất để có phản ứng dương tính trong xét nghiệm A là 70%, còn khi con bò không bị bệnh bò điên thì xác suất để có phản ứng dương tính trong xét nghiệm A là 10%.
• Tỉ lệ bò bị mắc bệnh bò điên ở Hà Lan là
con trên 1 000 000 con.Gọi
là biến cố: “Con bò bị bệnh bò điên”
là biến cố: “Con bò không bị bệnh bò điên”
là biến cố: “Kết quả xét nghiệm A dương tính”
là biến cố: “Kết quả xét nghiệm A âm tính”
Xác suất con bò được chọn bị bệnh bò điên:

Xác suất dương tính nếu biết bò bị bệnh:

Xác suất một con bò bất kỳ dương tính với xét nghiệm A
📒 Áp dụng công thức xác suất toàn phần:



Xác suất không bị bệnh, biết xét nghiệm dương tính
📒 Áp dụng công thức Bayes:


🔑 Chọn phát biểu thứ hai và phát biểu thứ nhất.
Câu 12 [1038618]: Một công ty truyền thông đấu thầu hai dự án. Khả năng thắng thầu của dự án 1 và dự án 2 lần lượt là 50% và 60%. Khả năng trúng thầu cả hai dự án của công ty là 40%. Gọi A là biến cố công ty thắng thầu dự án 1 và B là biến cố công ty thắng thầu dự án 2.
Những phát biểu nào dưới đây sai?
Những phát biểu nào dưới đây sai?
📌 Chú ý: Đây là kiểu câu hỏi “Nhiều lựa chọn” với phần chọn phương án được cho bởi “hình vuông” câu hỏi này thuộc dạng “Chọn nhiều đáp án đúng” có nghĩa là có nhiều hơn một phương án đúng trong câu hỏi này.
✍️ Hướng dẫn giải:
Dựa vào dữ kiện:
• Khả năng thắng thầu của dự án 1 và dự án 2 lần lượt là 50% và 60%.
• Khả năng trúng thầu cả hai dự án của công ty là 40%.
Kết hợp với dữ kiện: A là biến cố công ty thắng thầu dự án 1
.
Kết hợp với dữ kiện: B là biến cố công ty thắng thầu dự án 2.
.
Suy ra:


Kết hợp với dữ kiện: Công ty không thắng thầu dự án 1.
Khả năng công ty sẽ thắng thầu dự án 2 là:

Xác suất công ty chỉ thắng thầu đúng một dự án là:


.
🔑 Chọn phát biểu thứ hai và phát biểu thứ nhất.
✍️ Hướng dẫn giải:
Dựa vào dữ kiện:
• Khả năng thắng thầu của dự án 1 và dự án 2 lần lượt là 50% và 60%.
• Khả năng trúng thầu cả hai dự án của công ty là 40%.
Kết hợp với dữ kiện: A là biến cố công ty thắng thầu dự án 1
.Kết hợp với dữ kiện: B là biến cố công ty thắng thầu dự án 2.
.Suy ra:


Kết hợp với dữ kiện: Công ty không thắng thầu dự án 1.
Khả năng công ty sẽ thắng thầu dự án 2 là:

Xác suất công ty chỉ thắng thầu đúng một dự án là:


.🔑 Chọn phát biểu thứ hai và phát biểu thứ nhất.
Câu 13 [1038619]: Một nhóm nhà khoa học tiến hành nghiên cứu một phương pháp xét nghiệm bệnh Z, người ta thấy rằng cứ 100 người trong cộng đồng thì có 20 người mắc bệnh Z. Biết rằng nếu một người có kết quả xét nghiệm là dương tính thì xác suất để người đó mắc bệnh Z là 0,9; nếu một người có kết quả xét nghiệm là âm tính thì xác suất để người đó mắc bệnh Z là 0,1.
Gọi
là biến cố: “Một người trong cộng đồng mắc bệnh Z”
Gọi
là biến cố: “Một người trong cộng đồng có kết quả xét nghiệm dương tính với bệnh Z”
Những phát biểu nào dưới đây đúng?
Gọi
là biến cố: “Một người trong cộng đồng mắc bệnh Z”Gọi
là biến cố: “Một người trong cộng đồng có kết quả xét nghiệm dương tính với bệnh Z” Những phát biểu nào dưới đây đúng?
📌 Chú ý: Đây là kiểu câu hỏi “Nhiều lựa chọn” với phần chọn phương án được cho bởi “hình vuông” câu hỏi này thuộc dạng “Chọn nhiều đáp án đúng” có nghĩa là có nhiều hơn một phương án đúng trong câu hỏi này.
✍️ Hướng dẫn giải:
Dựa vào dữ kiện:
• Cứ 100 người trong cộng đồng thì có 20 người mắc bệnh Z.
• Nếu một người có kết quả xét nghiệm là dương tính thì xác suất để người đó mắc bệnh Z là 0,9; nếu một người có kết quả xét nghiệm là âm tính thì xác suất để người đó mắc bệnh Z là 0,1.
Kết hợp với dữ kiện: A là biến cố: “Một người trong cộng đồng mắc bệnh Z”

là biến cố: “Một người trong cộng đồng không mắc bệnh Z”


Kết hợp với dữ kiện: B là biến cố: “Một người trong cộng đồng có kết quả xét nghiệm dương tính với bệnh Z”
là biến cố: “Một người trong cộng đồng có kết quả xét nghiệm âm tính với bệnh Z”
là xác suất người đó mắc bệnh Z biết rằng người đó có kết quả xét nghiệm là dương tính
.
là xác suất người đó mắc bệnh Z biết rằng người đó có kết quả xét nghiệm là âm tính
là xác suất người đó có kết quả xét nghiệm là dương tính với bệnh Z biết rằng người đó mắc bệnh Z.
Đặt
với 

với 




(1).




(2).
Từ (1), (2)


🔑 Chọn phát biểu thứ nhất và phát biểu thứ tư.
✍️ Hướng dẫn giải:
Dựa vào dữ kiện:
• Cứ 100 người trong cộng đồng thì có 20 người mắc bệnh Z.
• Nếu một người có kết quả xét nghiệm là dương tính thì xác suất để người đó mắc bệnh Z là 0,9; nếu một người có kết quả xét nghiệm là âm tính thì xác suất để người đó mắc bệnh Z là 0,1.
Kết hợp với dữ kiện: A là biến cố: “Một người trong cộng đồng mắc bệnh Z”

là biến cố: “Một người trong cộng đồng không mắc bệnh Z”

Kết hợp với dữ kiện: B là biến cố: “Một người trong cộng đồng có kết quả xét nghiệm dương tính với bệnh Z”
là biến cố: “Một người trong cộng đồng có kết quả xét nghiệm âm tính với bệnh Z”
là xác suất người đó mắc bệnh Z biết rằng người đó có kết quả xét nghiệm là dương tính
.
là xác suất người đó mắc bệnh Z biết rằng người đó có kết quả xét nghiệm là âm tính
là xác suất người đó có kết quả xét nghiệm là dương tính với bệnh Z biết rằng người đó mắc bệnh Z.Đặt

với 

với 




(1).



(2).Từ (1), (2)



🔑 Chọn phát biểu thứ nhất và phát biểu thứ tư.
Câu 14 [1038620]: Một công ty dược phẩm giới thiệu một bộ xét nghiệm bệnh sởi. Thử nghiệm trên 10000 người nghi mắc bệnh sởi, trong đó có 900 người thực sự mắc bệnh sởi cho kết quả như sau: trong số 900 người thực sự mắc bệnh có 99% cho kết quả xét nghiệm dương tính, còn lại cho kết quả xét nghiệm âm tính; trong số những người không mắc bệnh có 98% cho kết quả xét nghiệm âm tính, còn lại cho kết quả xét nghiệm dương tính. Chọn ngẫu nhiên một người trong số những người được thử nghiệm.
Những phát biểu nào dưới đây sai?
Những phát biểu nào dưới đây sai?
📌 Chú ý: Đây là kiểu câu hỏi “Nhiều lựa chọn” với phần chọn phương án được cho bởi “hình vuông” câu hỏi này thuộc dạng “Chọn nhiều đáp án đúng” có nghĩa là có nhiều hơn một phương án đúng trong câu hỏi này.
✍️ Hướng dẫn giải:
Dựa vào dữ kiện:
• Thử nghiệm trên 10 000 người nghi mắc bệnh sởi, trong đó có 900 người thực sự mắc bệnh sởi cho kết quả như sau: trong số 900 người thực sự mắc bệnh có 99% cho kết quả xét nghiệm dương tính, còn lại cho kết quả xét nghiệm âm tính; trong số những người không mắc bệnh có 98% cho kết quả xét nghiệm âm tính, còn lại cho kết quả xét nghiệm dương tính.
• Chọn ngẫu nhiên một người trong số những người được thử nghiệm.
Xét biến cố A: “ Người thực sự mắc bệnh sởi”
Xác suất bệnh nhân thực sự mắc bệnh sởi là
B: “Người có kết quả dương tính”.
Xác suất người đó thực bị bệnh, biết người đó có kết quả dương tính là:

Kết hợp với dữ kiện: Người được chọn ra có kết quả xét nghiệm dương tính Xác suất để người đó thực sự mắc bệnh sởi bằng:
.
Xác suất người có kết quả xét nghiệm dương tính là:

🔑 Chọn phát biểu thứ nhất và phát biểu thứ ba.
✍️ Hướng dẫn giải:
Dựa vào dữ kiện:
• Thử nghiệm trên 10 000 người nghi mắc bệnh sởi, trong đó có 900 người thực sự mắc bệnh sởi cho kết quả như sau: trong số 900 người thực sự mắc bệnh có 99% cho kết quả xét nghiệm dương tính, còn lại cho kết quả xét nghiệm âm tính; trong số những người không mắc bệnh có 98% cho kết quả xét nghiệm âm tính, còn lại cho kết quả xét nghiệm dương tính.
• Chọn ngẫu nhiên một người trong số những người được thử nghiệm.
Xét biến cố A: “ Người thực sự mắc bệnh sởi”
Xác suất bệnh nhân thực sự mắc bệnh sởi là

B: “Người có kết quả dương tính”.
Xác suất người đó thực bị bệnh, biết người đó có kết quả dương tính là:

Kết hợp với dữ kiện: Người được chọn ra có kết quả xét nghiệm dương tính Xác suất để người đó thực sự mắc bệnh sởi bằng:
.Xác suất người có kết quả xét nghiệm dương tính là:

🔑 Chọn phát biểu thứ nhất và phát biểu thứ ba.
Câu 15 [1038621]: Ô cửa bí mật (Let's Make a Deal) là một trò chơi trên truyền hình nổi tiếng ở Mỹ. Nội dung trò chơi như sau:
• Người chơi được mời lên sân khấu và đứng trước ba cánh cửa đóng kín. Sau một cánh cửa có chiếc ô tô, sau mỗi cánh cửa còn lại là một con lừa. Người chơi được yêu cầu chọn ngẫu nhiên một cánh cửa, nhưng không được mở ra.
• Tiếp đó người quản trò tuyên bố sẽ mở ngẫu nhiên một trong hai cánh cửa người chơi không chọn mà sau cửa đó là con lừa. Người quản trò hỏi người chơi muốn giữ nguyên sự lựa chọn ban đầu của mình hay muốn chuyển sang cửa chưa mở còn lại.
Giả sử người chơi chọn cửa số 1. Kí hiệu
tương ứng là các biến cố: “Sau ô cửa số 1 có ô tô”; “Sau ô cửa số 2 có ô tô”; “Sau ô cửa số 3 có ô tô” và
là biến cố: “Người quản trò mở một ô cửa có chứa con lừa”.
Những phát biểu nào dưới đây sai?
• Người chơi được mời lên sân khấu và đứng trước ba cánh cửa đóng kín. Sau một cánh cửa có chiếc ô tô, sau mỗi cánh cửa còn lại là một con lừa. Người chơi được yêu cầu chọn ngẫu nhiên một cánh cửa, nhưng không được mở ra.
• Tiếp đó người quản trò tuyên bố sẽ mở ngẫu nhiên một trong hai cánh cửa người chơi không chọn mà sau cửa đó là con lừa. Người quản trò hỏi người chơi muốn giữ nguyên sự lựa chọn ban đầu của mình hay muốn chuyển sang cửa chưa mở còn lại.
Giả sử người chơi chọn cửa số 1. Kí hiệu
tương ứng là các biến cố: “Sau ô cửa số 1 có ô tô”; “Sau ô cửa số 2 có ô tô”; “Sau ô cửa số 3 có ô tô” và
là biến cố: “Người quản trò mở một ô cửa có chứa con lừa”. Những phát biểu nào dưới đây sai?
📌 Chú ý: Đây là kiểu câu hỏi “Nhiều lựa chọn” với phần chọn phương án được cho bởi “hình vuông” câu hỏi này thuộc dạng “Chọn nhiều đáp án đúng” có nghĩa là có nhiều hơn một phương án đúng trong câu hỏi này.
✍️ Hướng dẫn giải:
Dựa vào dữ kiện:
Người chơi được mời lên sân khấu và đứng trước ba cánh cửa đóng kín. Sau một cánh cửa có chiếc ô tô, sau mỗi cánh cửa còn lại là một con lừa. Người chơi được yêu cầu chọn ngẫu nhiên một cánh cửa, nhưng không được mở ra.
Tiếp đó người quản trò tuyên bố sẽ mở ngẫu nhiên một trong hai cánh cửa người chơi không chọn mà sau cửa đó là con lừa. Người quản trò hỏi người chơi muốn giữ nguyên sự lựa chọn ban đầu của mình hay muốn chuyển sang cửa chưa mở còn lại.
Giả sử người chơi chọn cửa số 1. Kí hiệu
tương ứng là các biến cố: “Sau ô cửa số 1 có ô tô”; “Sau ô cửa số 2 có ô tô”; “Sau ô cửa số 3 có ô tô” và
là biến cố: “Người quản trò mở một ô cửa có chứa con lừa”.
•
•
xảy ra và người chơi đã chọn cổng 1
Cổng 2 và 3 đều là lừa.

•
xảy ra, người chơi đã chọn cổng 1
Sẽ có một cổng ra xe (cổng 2) và một cổng ra lừa (cổng 3).

•
và 
Khi đó
nên nếu người chơi chuyển sang ô cửa số 2 thì xác suất chiến thắng sẽ giảm gấp đôi.
🔑 Chọn phát biểu thứ nhất và phát biểu thứ ba.
✍️ Hướng dẫn giải:
Dựa vào dữ kiện:
Người chơi được mời lên sân khấu và đứng trước ba cánh cửa đóng kín. Sau một cánh cửa có chiếc ô tô, sau mỗi cánh cửa còn lại là một con lừa. Người chơi được yêu cầu chọn ngẫu nhiên một cánh cửa, nhưng không được mở ra.
Tiếp đó người quản trò tuyên bố sẽ mở ngẫu nhiên một trong hai cánh cửa người chơi không chọn mà sau cửa đó là con lừa. Người quản trò hỏi người chơi muốn giữ nguyên sự lựa chọn ban đầu của mình hay muốn chuyển sang cửa chưa mở còn lại.
Giả sử người chơi chọn cửa số 1. Kí hiệu
tương ứng là các biến cố: “Sau ô cửa số 1 có ô tô”; “Sau ô cửa số 2 có ô tô”; “Sau ô cửa số 3 có ô tô” và
là biến cố: “Người quản trò mở một ô cửa có chứa con lừa”.•

•
xảy ra và người chơi đã chọn cổng 1
Cổng 2 và 3 đều là lừa.
•
xảy ra, người chơi đã chọn cổng 1
Sẽ có một cổng ra xe (cổng 2) và một cổng ra lừa (cổng 3).
•
và 
Khi đó
nên nếu người chơi chuyển sang ô cửa số 2 thì xác suất chiến thắng sẽ giảm gấp đôi.🔑 Chọn phát biểu thứ nhất và phát biểu thứ ba.
Dạng 3: Câu hỏi “Chọn đáp án Đúng/Sai”
Câu 16 [1038622]: Một thống kê cho thấy tỉ lệ dân số mắc bệnh hiểm nghèo X là 0,3%. Bác Toàn đi xét nghiệm bệnh hiểm nghèo X và nhận được kết quả âm tính. Biết rằng nếu thật sự mắc bệnh hiểm nghèo X thì sẽ cho 6% xét nghiệm chuẩn đoán sai, nếu không mắc bệnh hiểm nghèo X thì sẽ cho 96% xét nghiệm chuẩn đoán đúng. Gọi A là biến cố bác Toàn nhận được kết quả âm tính, B là biến cố bác Toàn thật sự mắc bệnh hiểm nghèo X.
Mỗi phát biểu sau đây là đúng hay sai?
Mỗi phát biểu sau đây là đúng hay sai?
📌 Chú ý: Đây là câu hỏi “Chọn đáp án Đúng/Sai” dạng bảng. Khi trả lời câu hỏi này, học sinh cần chú ý đến các phát biểu theo thứ tự từ trên xuống dưới. Rất có thể các phát biểu trước là gợi ý để trả lời các phát biểu sau. Thí sinh cần chọn hoặc đúng hoặc sai cho tất cả các ý trong câu hỏi này.
✍️ Hướng dẫn giải:
Dựa vào dữ kiện:
• Một thống kê cho thấy tỉ lệ dân số mắc bệnh hiểm nghèo X là 0,3%. Bác Toàn đi xét nghiệm bệnh hiểm nghèo X và nhận được kết quả âm tính.
• Nếu thật sự mắc bệnh hiểm nghèo X thì sẽ cho 6% xét nghiệm chẩn đoán sai, nếu không mắc bệnh hiểm nghèo X thì sẽ cho 96% xét nghiệm chuẩn đoán đúng.
Ta có sơ đồ:

Kết hợp với dữ kiện: A là biến cố bác Toàn nhận được kết quả âm tính, B là biến cố bác Toàn thật sự mắc bệnh hiểm nghèo X.


Sau khi xét nghiệm âm tính, xác suất để bác Toàn không mắc bệnh X là:


🔑 Đáp án: Đúng – Sai – Sai.
✍️ Hướng dẫn giải:
Dựa vào dữ kiện:
• Một thống kê cho thấy tỉ lệ dân số mắc bệnh hiểm nghèo X là 0,3%. Bác Toàn đi xét nghiệm bệnh hiểm nghèo X và nhận được kết quả âm tính.
• Nếu thật sự mắc bệnh hiểm nghèo X thì sẽ cho 6% xét nghiệm chẩn đoán sai, nếu không mắc bệnh hiểm nghèo X thì sẽ cho 96% xét nghiệm chuẩn đoán đúng.
Ta có sơ đồ:

Kết hợp với dữ kiện: A là biến cố bác Toàn nhận được kết quả âm tính, B là biến cố bác Toàn thật sự mắc bệnh hiểm nghèo X.


Sau khi xét nghiệm âm tính, xác suất để bác Toàn không mắc bệnh X là:


🔑 Đáp án: Đúng – Sai – Sai.
Câu 17 [1038623]: Công ty X có giao cho hai xí nghiệp I và II sản xuất một loại sản phẩm Y. Xí nghiệp I sản xuất 30% tổng sản phẩm và có tỉ lệ phế phẩm là 5%, xí nghiệp hai có tỉ lệ phế phẩm là 3%. Để điều chỉnh xác suất chọn được phế phẩm, người ta dùng một con súc sắc cân đối đồng chất để gieo ngẫu nhiên, nếu số chấm thu được không vượt quá 4 thì chọn một sản phẩm của xí nghiệp II, nếu số chấm lớn hơn 4 thì chọn ngẫu nhiên một sản phẩm của công ty (tức là của cả hai xí nghiệp). Gọi A là biến cố chọn được phế phẩm, B là biến cố chọn được sản phẩm của xí nghiệp II.
Mỗi phát biểu sau đây là đúng hay sai?
Mỗi phát biểu sau đây là đúng hay sai?
📌 Chú ý: Đây là câu hỏi “Chọn đáp án Đúng/Sai” dạng bảng. Khi trả lời câu hỏi này, học sinh cần chú ý đến các phát biểu theo thứ tự từ trên xuống dưới. Rất có thể các phát biểu trước là gợi ý để trả lời các phát biểu sau. Thí sinh cần chọn hoặc đúng hoặc sai cho tất cả các ý trong câu hỏi này.
✍️ Hướng dẫn giải:
Dựa vào dữ kiện:
• Xí nghiệp I sản xuất 30% tổng sản phẩm và có tỉ lệ phế phẩm là 5%, xí nghiệp hai có tỉ lệ phế phẩm là 3%.
• Để điều chỉnh xác suất chọn được phế phẩm, người ta dùng một con súc sắc cân đối đồng chất để gieo ngẫu nhiên, nếu số chấm thu được không vượt quá 4 thì chọn một sản phẩm của xí nghiệp II, nếu số chấm lớn hơn 4 thì chọn ngẫu nhiên một sản phẩm của công ty (tức là của cả hai xí nghiệp).
Gọi C là biến cố số chấm nhỏ hơn hoặc bằng 4.
Suy ra
là biến cố số chấm lớn hơn 4.
Kết hợp với dữ kiện: A là biến cố chọn được phế phẩm, B là biến cố chọn được sản phẩm của xí nghiệp II.

📒 Áp dụng công thức xác suất toàn phần:






🔑 Đáp án: Đúng – Đúng – Sai.
✍️ Hướng dẫn giải:
Dựa vào dữ kiện:
• Xí nghiệp I sản xuất 30% tổng sản phẩm và có tỉ lệ phế phẩm là 5%, xí nghiệp hai có tỉ lệ phế phẩm là 3%.
• Để điều chỉnh xác suất chọn được phế phẩm, người ta dùng một con súc sắc cân đối đồng chất để gieo ngẫu nhiên, nếu số chấm thu được không vượt quá 4 thì chọn một sản phẩm của xí nghiệp II, nếu số chấm lớn hơn 4 thì chọn ngẫu nhiên một sản phẩm của công ty (tức là của cả hai xí nghiệp).

Gọi C là biến cố số chấm nhỏ hơn hoặc bằng 4.
Suy ra
là biến cố số chấm lớn hơn 4.Kết hợp với dữ kiện: A là biến cố chọn được phế phẩm, B là biến cố chọn được sản phẩm của xí nghiệp II.

📒 Áp dụng công thức xác suất toàn phần:






🔑 Đáp án: Đúng – Đúng – Sai.
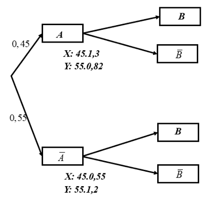
Câu 18 [1038624]: Cho hai tuyển thủ thể thao điện tử X và Y thi đấu với nhau. Chỉ số tổng lực ban đầu của X và Y lần lượt là 45 và 55. Biết rằng xác suất chiến thắng của mỗi tuyển thủ trong một trận đấu bằng tỉ lệ chỉ số tổng lực của tuyển thủ đó chia cho tổng chỉ số tổng lực của hai tuyển thủ ngay trước trận đấu đó. Với giả thiết sau mỗi trận mà X thắng thì chỉ số tổng lực của X sẽ tăng 30% so với ngay trước đó và nếu thua thì chỉ số tổng lực giảm 45% so ngay với trước đó, còn tuyển thủ Y thì ổn định hơn sau mỗi trận mà Y thắng chỉ số tổng lực tăng 20% và thua thì giảm 18% so với ngay trước đó. Gọi A là biến cố trận đầu tiên X thắng, B là biến cố trận thứ hai X thắng.
Mỗi phát biểu sau đây là đúng hay sai?
Mỗi phát biểu sau đây là đúng hay sai?
📌 Chú ý: Đây là câu hỏi “Chọn đáp án Đúng/Sai” dạng bảng. Khi trả lời câu hỏi này, học sinh cần chú ý đến các phát biểu theo thứ tự từ trên xuống dưới. Rất có thể các phát biểu trước là gợi ý để trả lời các phát biểu sau. Thí sinh cần chọn hoặc đúng hoặc sai cho tất cả các ý trong câu hỏi này.
✍️ Hướng dẫn giải:
Dựa vào dữ kiện:
• Chỉ số tổng lực ban đầu của X và Y lần lượt là 45 và 55. • Xác suất chiến thắng của mỗi tuyển thủ trong một trận đấu bằng tỉ lệ chỉ số tổng lực của tuyển thủ đó chia cho tổng chỉ số tổng lực của hai tuyển thủ ngay trước trận đấu đó.
• Với giả thiết sau mỗi trận mà X thắng thì chỉ số tổng lực của X sẽ tăng 30% so với ngay trước đó và nếu thua thì chỉ số tổng lực giảm 45% so ngay với trước đó • Tuyển thủ Y thì ổn định hơn sau mỗi trận mà Y thắng chỉ số tổng lực tăng 20% và thua thì giảm 18% so với ngay trước đó.
Trước khi vào trận đầu tiên thì tổng lực vẫn là 45 và 55.





.


🔑 Đáp án: Sai– Đúng – Đúng.
✍️ Hướng dẫn giải:
Dựa vào dữ kiện:
• Chỉ số tổng lực ban đầu của X và Y lần lượt là 45 và 55. • Xác suất chiến thắng của mỗi tuyển thủ trong một trận đấu bằng tỉ lệ chỉ số tổng lực của tuyển thủ đó chia cho tổng chỉ số tổng lực của hai tuyển thủ ngay trước trận đấu đó.
• Với giả thiết sau mỗi trận mà X thắng thì chỉ số tổng lực của X sẽ tăng 30% so với ngay trước đó và nếu thua thì chỉ số tổng lực giảm 45% so ngay với trước đó • Tuyển thủ Y thì ổn định hơn sau mỗi trận mà Y thắng chỉ số tổng lực tăng 20% và thua thì giảm 18% so với ngay trước đó.
Trước khi vào trận đầu tiên thì tổng lực vẫn là 45 và 55.






.

🔑 Đáp án: Sai– Đúng – Đúng.
Câu 19 [1038625]: Khối 12 của một trường THPT được thống kê và thấy có 54% học sinh thích khối A, 32% thích khối B, mỗi học sinh chỉ được thích duy nhất một khối và khi thống kê chỉ quan tâm tới các khối A, B, C. Biết rằng trong các bạn nam có 60% là thích khối A, 25% thích khối B còn trong các bạn nữ chỉ có 40% thích khối A. Chọn ngẫu nhiên một học sinh từ khối 12 của trường này.
Mỗi phát biểu sau đây là đúng hay sai?
Mỗi phát biểu sau đây là đúng hay sai?
📌 Chú ý: Đây là câu hỏi “Chọn đáp án Đúng/Sai” dạng bảng. Khi trả lời câu hỏi này, học sinh cần chú ý đến các phát biểu theo thứ tự từ trên xuống dưới. Rất có thể các phát biểu trước là gợi ý để trả lời các phát biểu sau. Thí sinh cần chọn hoặc đúng hoặc sai cho tất cả các ý trong câu hỏi này.
✍️ Hướng dẫn giải:
Dựa vào dữ kiện:
• Khối 12 của một trường THPT được thống kê và thấy có 54% học sinh thích khối A, 32% thích khối B, mỗi học sinh chỉ được thích duy nhất một khối và khi thống kê chỉ quan tâm tới các khối A, B, C.
• Trong các bạn nam có 60% là thích khối A, 25% thích khối B còn trong các bạn nữ chỉ có 40% thích khối A.
• Chọn ngẫu nhiên một học sinh từ khối 12 của trường này.
Gọi X là biến cố: “Chọn được học sinh nam”
là biến cố: “Chọn được học sinh nữ”
Ta có sơ đồ:


Xác suất để chọn được học sinh thích khối C là:
Xác suất chọn được học sinh thích khối A biết học sinh này là nữ, bằng:

.
Xác suất để chọn được học sinh nữ bằng:


🔑 Đáp án: Đúng – Đúng – Đúng – Đúng.
✍️ Hướng dẫn giải:
Dựa vào dữ kiện:
• Khối 12 của một trường THPT được thống kê và thấy có 54% học sinh thích khối A, 32% thích khối B, mỗi học sinh chỉ được thích duy nhất một khối và khi thống kê chỉ quan tâm tới các khối A, B, C.
• Trong các bạn nam có 60% là thích khối A, 25% thích khối B còn trong các bạn nữ chỉ có 40% thích khối A.
• Chọn ngẫu nhiên một học sinh từ khối 12 của trường này.
Gọi X là biến cố: “Chọn được học sinh nam”
là biến cố: “Chọn được học sinh nữ”
Ta có sơ đồ:


Xác suất để chọn được học sinh thích khối C là:

Xác suất chọn được học sinh thích khối A biết học sinh này là nữ, bằng:


.Xác suất để chọn được học sinh nữ bằng:



🔑 Đáp án: Đúng – Đúng – Đúng – Đúng.
Câu 20 [1038626]: Cho hộp I đựng 5 viên bi đỏ và 3 viên bi xanh, hộp II đựng 2 viên bi đỏ và 6 viên bi xanh, các viên bi có cùng kích thước và khối lượng. Bạn A bốc ngẫu nhiên ba viên bi từ hộp I và bạn B bốc ngẫu nhiên ba viên bi từ hộp II.
Mỗi phát biểu sau đây là đúng hay sai?
Mỗi phát biểu sau đây là đúng hay sai?
📌 Chú ý: Đây là câu hỏi “Chọn đáp án Đúng/Sai” dạng bảng. Khi trả lời câu hỏi này, học sinh cần chú ý đến các phát biểu theo thứ tự từ trên xuống dưới. Rất có thể các phát biểu trước là gợi ý để trả lời các phát biểu sau. Thí sinh cần chọn hoặc đúng hoặc sai cho tất cả các ý trong câu hỏi này.
✍️ Hướng dẫn giải:
Dựa vào dữ kiện:
• Hộp I đựng 5 viên bi đỏ và 3 viên bi xanh, hộp II đựng 2 viên bi đỏ và 6 viên bi xanh, các viên bi có cùng kích thước và khối lượng.
• Bạn A bốc ngẫu nhiên ba viên bi từ hộp I và bạn B bốc ngẫu nhiên ba viên bi từ hộp II.
Xét biến cố: “B bốc nhiều bi đỏ hơn A”
là các trường hợp số bi đỏ mà 2 bạn có thể bốc được.
Xác suất của biến cố này là: 
Gọi biến cố Y: “A bốc được số bi đỏ nhiều hơn B”
Biến cố X: “A bốc được không ít hơn 3 viên bi đỏ”
Suy ra:
Y:
Xác suất để A bốc được ba viên bi đỏ là:
Nếu A bốc được 3 bi đỏ thì A luôn có nhiều bi đỏ hơn B nên xác suất của biến cố này bằng:






🔑 Đáp án: Sai – Đúng.
✍️ Hướng dẫn giải:
Dựa vào dữ kiện:
• Hộp I đựng 5 viên bi đỏ và 3 viên bi xanh, hộp II đựng 2 viên bi đỏ và 6 viên bi xanh, các viên bi có cùng kích thước và khối lượng.
• Bạn A bốc ngẫu nhiên ba viên bi từ hộp I và bạn B bốc ngẫu nhiên ba viên bi từ hộp II.
Xét biến cố: “B bốc nhiều bi đỏ hơn A”
là các trường hợp số bi đỏ mà 2 bạn có thể bốc được.
Xác suất của biến cố này là: 
Gọi biến cố Y: “A bốc được số bi đỏ nhiều hơn B”
Biến cố X: “A bốc được không ít hơn 3 viên bi đỏ”
Suy ra:
Y:

Xác suất để A bốc được ba viên bi đỏ là:

Nếu A bốc được 3 bi đỏ thì A luôn có nhiều bi đỏ hơn B nên xác suất của biến cố này bằng:







🔑 Đáp án: Sai – Đúng.
Câu 21 [1038627]: Một nhà mạng viễn thông đang triển khai hệ thống phát hiện và chặn các số điện thoại thực hiện cuộc gọi lừa đảo. Tuy nhiên, do hệ thống chưa hoàn hảo, nó có thể chặn nhầm một số điện thoại hợp lệ hoặc bỏ sót một số điện thoại lừa đảo. Hệ thống hoạt động với các thông số sau:
+ Tỷ lệ số điện thoại lừa đảo trong hệ thống: 5% (tức là
tổng số thuê bao là số lừa đảo).
+ Xác suất hệ thống phát hiện đúng và chặn một số điện thoại lừa đảo: 94%.
+ Xác suất hệ thống chặn nhầm một số điện thoại hợp lệ (tức là số điện thoại không lừa đảo): 3%.
Chọn ngẫu nhiên một số điện thoại đã được thử nghiệm hệ thống.
Mỗi phát biểu sau đây là đúng hay sai?
+ Tỷ lệ số điện thoại lừa đảo trong hệ thống: 5% (tức là
tổng số thuê bao là số lừa đảo).+ Xác suất hệ thống phát hiện đúng và chặn một số điện thoại lừa đảo: 94%.
+ Xác suất hệ thống chặn nhầm một số điện thoại hợp lệ (tức là số điện thoại không lừa đảo): 3%.
Chọn ngẫu nhiên một số điện thoại đã được thử nghiệm hệ thống.
Mỗi phát biểu sau đây là đúng hay sai?
📌 Chú ý: Đây là câu hỏi “Chọn đáp án Đúng/Sai” dạng bảng. Khi trả lời câu hỏi này, học sinh cần chú ý đến các phát biểu theo thứ tự từ trên xuống dưới. Rất có thể các phát biểu trước là gợi ý để trả lời các phát biểu sau. Thí sinh cần chọn hoặc đúng hoặc sai cho tất cả các ý trong câu hỏi này.
✍️ Hướng dẫn giải:
Dựa vào dữ kiện:
+ Tỷ lệ số điện thoại lừa đảo trong hệ thống: 5% (tức là
tổng số thuê bao là số lừa đảo).
+ Xác suất hệ thống phát hiện đúng và chặn một số điện thoại lừa đảo: 94%.
+ Xác suất hệ thống chặn nhầm 1 số điện thoại hợp lệ (tức là số điện thoại không lừa đảo): 3%.
Chọn ngẫu nhiên một số điện thoại đã được thử nghiệm hệ thống.
Gọi A là biến cố “số điện thoại lừa đảo”, B là biến cố “chặn một số điện thoại bất kỳ”.



📒 Áp dụng công thức Bayes:
.
.
🔑 Đáp án: Sai – Sai.
✍️ Hướng dẫn giải:
Dựa vào dữ kiện:
+ Tỷ lệ số điện thoại lừa đảo trong hệ thống: 5% (tức là
tổng số thuê bao là số lừa đảo).+ Xác suất hệ thống phát hiện đúng và chặn một số điện thoại lừa đảo: 94%.
+ Xác suất hệ thống chặn nhầm 1 số điện thoại hợp lệ (tức là số điện thoại không lừa đảo): 3%.
Chọn ngẫu nhiên một số điện thoại đã được thử nghiệm hệ thống.
Gọi A là biến cố “số điện thoại lừa đảo”, B là biến cố “chặn một số điện thoại bất kỳ”.



📒 Áp dụng công thức Bayes:
.
.🔑 Đáp án: Sai – Sai.
Câu 22 [1038628]: Một hộp có chứa 6 viên bi màu xanh và 8 viên bi màu đỏ (các viên bi có cùng kích thước và khối lượng, được đánh số khác nhau). Bạn Phú lấy ngẫu nhiên
viên bi từ trong hộp và không hoàn lại, tiếp đó bạn Trí lấy ngẫu nhiên 2 viên bi từ trong hộp.
Mỗi phát biểu sau đây là đúng hay sai?
viên bi từ trong hộp và không hoàn lại, tiếp đó bạn Trí lấy ngẫu nhiên 2 viên bi từ trong hộp. Mỗi phát biểu sau đây là đúng hay sai?
📌 Chú ý: Đây là câu hỏi “Chọn đáp án Đúng/Sai” dạng bảng. Khi trả lời câu hỏi này, học sinh cần chú ý đến các phát biểu theo thứ tự từ trên xuống dưới. Rất có thể các phát biểu trước là gợi ý để trả lời các phát biểu sau. Thí sinh cần chọn hoặc đúng hoặc sai cho tất cả các ý trong câu hỏi này.
✍️ Hướng dẫn giải:
Dựa vào dữ kiện:
• Một hộp có chứa 6 viên bi màu xanh và 8 viên bi màu đỏ (các viên bi có cùng kích thước và khối lượng, được đánh số khác nhau).
• Bạn Phú lấy ngẫu nhiên
viên bi từ trong hộp và không hoàn lại, tiếp đó bạn Trí lấy ngẫu nhiên 2 viên bi từ trong hộp.
Khi bạn Phú đã lấy được 1 viên bi màu đỏ thì trong hộp còn 6 viên bi màu xanh và 7 viên bi màu đỏ.
Xác suất để bạn Trí lấy được 2 viên bi màu xanh là 
Gọi A là biến cố “bạn Phú lấy được 1 viên bi màu đỏ”.
Gọi B là biến cố “bạn Trí lấy được 2 viên bi khác màu”.



Gọi C là biến cố “bạn Trí lấy được 2 viên bi màu xanh”.




🔑 Đáp án: Đúng – Sai – Đúng.
✍️ Hướng dẫn giải:
Dựa vào dữ kiện:
• Một hộp có chứa 6 viên bi màu xanh và 8 viên bi màu đỏ (các viên bi có cùng kích thước và khối lượng, được đánh số khác nhau).
• Bạn Phú lấy ngẫu nhiên
viên bi từ trong hộp và không hoàn lại, tiếp đó bạn Trí lấy ngẫu nhiên 2 viên bi từ trong hộp.Khi bạn Phú đã lấy được 1 viên bi màu đỏ thì trong hộp còn 6 viên bi màu xanh và 7 viên bi màu đỏ.
Xác suất để bạn Trí lấy được 2 viên bi màu xanh là 
Gọi A là biến cố “bạn Phú lấy được 1 viên bi màu đỏ”.
Gọi B là biến cố “bạn Trí lấy được 2 viên bi khác màu”.



Gọi C là biến cố “bạn Trí lấy được 2 viên bi màu xanh”.




🔑 Đáp án: Đúng – Sai – Đúng.
Câu 23 [1038629]: Gia đình bạn An chuẩn bị đi tham quan một hòn đảo trong hai ngày thứ 7 và chủ nhật. Ở hòn đảo đó mỗi ngày chỉ có nắng hoặc mưa, nếu một ngày là nắng thì khả năng sảy ra mưa ở ngày tiếp theo là 20%, còn nếu một ngày là mưa thì khả năng ngày hôm sau vẫn mưa là 30%. Theo dự báo thời tiết, xác suất trời sẽ nắng vào ngày thứ 7 là 0,7.
Mỗi phát biểu sau đây là đúng hay sai?
Mỗi phát biểu sau đây là đúng hay sai?
📌 Chú ý: Đây là câu hỏi “Chọn đáp án Đúng/Sai” dạng bảng. Khi trả lời câu hỏi này, học sinh cần chú ý đến các phát biểu theo thứ tự từ trên xuống dưới. Rất có thể các phát biểu trước là gợi ý để trả lời các phát biểu sau. Thí sinh cần chọn hoặc đúng hoặc sai cho tất cả các ý trong câu hỏi này.
✍️ Hướng dẫn giải:
Dựa vào dữ kiện: Gia đình bạn An chuẩn bị đi tham quan một hòn đảo trong hai ngày thứ Bảy và Chủ nhật.
Gọi A là biến cố: “ Ngày thứ 7 trời nắng” và B là biến cố: “ Ngày chủ nhật trời mưa”.
Kết hợp với dữ kiện: Theo dự báo thời tiết, xác suất trời sẽ nắng vào ngày thứ 7 là
nên
.
Kết hợp với dữ kiện: Nếu một ngày là nắng thì khả năng sảy ra mưa ở ngày tiếp theo là 20%

Kết hợp với dữ kiện: Nếu một ngày là mưa thì khả năng ngày hôm sau vẫn mưa là 30%

Xác suất để ngày chủ nhật trời nắng là
.
Ta có:



🔑 Đáp án: Đúng – Sai.
✍️ Hướng dẫn giải:
Dựa vào dữ kiện: Gia đình bạn An chuẩn bị đi tham quan một hòn đảo trong hai ngày thứ Bảy và Chủ nhật.
Gọi A là biến cố: “ Ngày thứ 7 trời nắng” và B là biến cố: “ Ngày chủ nhật trời mưa”.
Kết hợp với dữ kiện: Theo dự báo thời tiết, xác suất trời sẽ nắng vào ngày thứ 7 là
nên
.Kết hợp với dữ kiện: Nếu một ngày là nắng thì khả năng sảy ra mưa ở ngày tiếp theo là 20%


Kết hợp với dữ kiện: Nếu một ngày là mưa thì khả năng ngày hôm sau vẫn mưa là 30%


Xác suất để ngày chủ nhật trời nắng là
.Ta có:



🔑 Đáp án: Đúng – Sai.
Dạng 4: Câu hỏi “Kéo thả đáp án đúng từ những đáp án cho trước”
Câu 24 [1038630]: Kéo và thả các số thích hợp vào các chỗ trống.
Một xạ thủ bán vào bia số 1 và bia số 2. Xác suất để xạ thủ đó bắn trúng bia số 1 là 0,8 và bắn trúng bia số 2 là 0,9. Xác suất để xạ thủ đó bắn trúng cả hai bia là 0,75. Xét hai biến cố: A: “Xạ thủ đó bắn trúng bia số 1”; B: “Xạ thủ đó bắn trúng bia số 2”.
Xác suất để xạ thủ đó bắn trượt bia số 1 là [[20860558]].
Biết xạ thủ đó bắn trúng bia số 1, xác suất để xạ thủ đó bắn trúng bia số 2 là [[20860559]].
Một xạ thủ bán vào bia số 1 và bia số 2. Xác suất để xạ thủ đó bắn trúng bia số 1 là 0,8 và bắn trúng bia số 2 là 0,9. Xác suất để xạ thủ đó bắn trúng cả hai bia là 0,75. Xét hai biến cố: A: “Xạ thủ đó bắn trúng bia số 1”; B: “Xạ thủ đó bắn trúng bia số 2”.
Xác suất để xạ thủ đó bắn trượt bia số 1 là [[20860558]].
Biết xạ thủ đó bắn trúng bia số 1, xác suất để xạ thủ đó bắn trúng bia số 2 là [[20860559]].
📌 Chú ý: Đây là câu hỏi “Kéo thả đáp án đúng từ những đáp án cho trước”, học sinh chọn các phương án cho trước để kéo và thả vào các chỗ trống nhằm thu được các khẳng định đúng.
✍️ Hướng dẫn giải:
Dựa vào dữ kiện:
• Xác suất để xạ thủ đó bắn trúng bia số 1 là 0,8 và bắn trúng bia số 2 là 0,9.
• Xác suất để xạ thủ đó bắn trúng cả hai bia là 0,75.
Xét hai biến cố:
Biến cố A: “Xạ thủ đó bắn trúng bia số 1”
Biến cố B: “Xạ thủ đó bắn trúng bia số 2”.

Ta có:
nên hai biến cố A và B không độc lập.
Nếu xạ thủ đó bắn trúng bia số 1, xác suất để xạ thủ đó bắn trúng bia số 2 là:
🔑 Đáp án các ô lần lượt là: 0,2;
✍️ Hướng dẫn giải:
Dựa vào dữ kiện:
• Xác suất để xạ thủ đó bắn trúng bia số 1 là 0,8 và bắn trúng bia số 2 là 0,9.
• Xác suất để xạ thủ đó bắn trúng cả hai bia là 0,75.
Xét hai biến cố:
Biến cố A: “Xạ thủ đó bắn trúng bia số 1”
Biến cố B: “Xạ thủ đó bắn trúng bia số 2”.

Ta có:
nên hai biến cố A và B không độc lập. Nếu xạ thủ đó bắn trúng bia số 1, xác suất để xạ thủ đó bắn trúng bia số 2 là:
🔑 Đáp án các ô lần lượt là: 0,2;
Câu 25 [1038631]: Kéo và thả các số thích hợp vào các chỗ trống.
Một cuộc thi có 2 vòng. Vòng 1 lấy 90% thí sinh. Vòng 2 lấy 80% thí sinh của vòng 1.
Xác suất thí sinh bị loại ở vòng 2 biết rằng thí sinh đó bị loại là [[20860570]].
Xác suất để thí sinh đỗ cuộc thi biết rằng thí sinh đó vượt qua vòng 1 là [[20860573]].
Một cuộc thi có 2 vòng. Vòng 1 lấy 90% thí sinh. Vòng 2 lấy 80% thí sinh của vòng 1.
Xác suất thí sinh bị loại ở vòng 2 biết rằng thí sinh đó bị loại là [[20860570]].
Xác suất để thí sinh đỗ cuộc thi biết rằng thí sinh đó vượt qua vòng 1 là [[20860573]].
📌 Chú ý: Đây là câu hỏi “Kéo thả đáp án đúng từ những đáp án cho trước”, học sinh chọn các phương án cho trước để kéo và thả vào các chỗ trống nhằm thu được các khẳng định đúng.
✍️ Hướng dẫn giải:
Dựa vào dữ kiện: Vòng 1 lấy 90% thí sinh. Vòng 2 lấy 80% thí sinh của vòng 1.
Xét các biến cố sau:
là biến cố “Thí sinh đó đỗ cuộc thi”
là biến cố “Thí sinh đó không đỗ cuộc thi”
là biến cố “Thí sinh đó qua vòng 1”
là biến cố “Thí sinh đó qua vòng 2”
Xác suất thí sinh đó qua vòng 1 là:


Xác suất thí sinh đó qua vòng 2 là:
Xác suất bị loại của thí sinh ở vòng 2 là:


Ta có
Xác suất thí sinh bị loại ở vòng 2 biết rằng thí sinh đó bị loại là:


Xác suất để thí sinh đỗ cuộc thi biết rằng thí sinh đó vượt qua vòng 1 là:


🔑 Đáp án các ô lần lượt là:
✍️ Hướng dẫn giải:
Dựa vào dữ kiện: Vòng 1 lấy 90% thí sinh. Vòng 2 lấy 80% thí sinh của vòng 1.
Xét các biến cố sau:
là biến cố “Thí sinh đó đỗ cuộc thi”
là biến cố “Thí sinh đó không đỗ cuộc thi”
là biến cố “Thí sinh đó qua vòng 1”
là biến cố “Thí sinh đó qua vòng 2”Xác suất thí sinh đó qua vòng 1 là:



Xác suất thí sinh đó qua vòng 2 là:

Xác suất bị loại của thí sinh ở vòng 2 là:

Ta có
Xác suất thí sinh bị loại ở vòng 2 biết rằng thí sinh đó bị loại là:


Xác suất để thí sinh đỗ cuộc thi biết rằng thí sinh đó vượt qua vòng 1 là:


🔑 Đáp án các ô lần lượt là:
Câu 26 [1038632]: Kéo và thả các số thích hợp vào các chỗ trống.
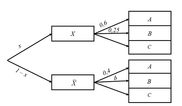
Một nhà máy có hai máy I và II. Máy I sản xuất 40% số lượng sản phẩm và Máy II sản xuất 60% số lượng sản phẩm. Có 4% mặt hàng do Máy I sản xuất bị lỗi và 5% sản phẩm do Máy II sản xuất bị lỗi. Một vật phẩm được rút ngẫu nhiên.
Xác suất để vật lấy ra không bị lỗi là [[20860579]].
Nếu vật được rút ra bị lỗi, xác suất để vật đó được tạo ra bởi Máy II bằng [[20860577]].
Một nhà máy có hai máy I và II. Máy I sản xuất 40% số lượng sản phẩm và Máy II sản xuất 60% số lượng sản phẩm. Có 4% mặt hàng do Máy I sản xuất bị lỗi và 5% sản phẩm do Máy II sản xuất bị lỗi. Một vật phẩm được rút ngẫu nhiên.
Xác suất để vật lấy ra không bị lỗi là [[20860579]].
Nếu vật được rút ra bị lỗi, xác suất để vật đó được tạo ra bởi Máy II bằng [[20860577]].
📌 Chú ý: Đây là câu hỏi “Kéo thả đáp án đúng từ những đáp án cho trước”, học sinh chọn các phương án cho trước để kéo và thả vào các chỗ trống nhằm thu được các khẳng định đúng.
✍️ Hướng dẫn giải:
Dựa vào dữ kiện:
• Máy I sản xuất 40% số lượng sản phẩm và Máy II sản xuất 60% số lượng sản phẩm.
• Có 4% mặt hàng do Máy I sản xuất bị lỗi và 5% sản phẩm do Máy II sản xuất bị lỗi.
• Một sản phẩm được rút ngẫu nhiên.
Gọi
là sự kiện các vật phẩm được sản xuất bởi máy I,
là sự kiện các vật phẩm được sản xuất bởi máy II.
Gọi
là biến cố rút được một sản phẩm bị lỗi.
Khi đó:
📒 Áp dụng công thức xác suất toàn phần:
Xác xuất để vật lấy ra bị lỗi là 0,046.
Xác suất vật lấy ra không bị lỗi là
📒 Áp dụng định lý Bayes:
Nếu vật được rút ra bị lỗi, xác suất để vật đó được tạo ra bởi Máy I là:


🔑 Đáp án các ô lần lượt là: 0,954;
✍️ Hướng dẫn giải:
Dựa vào dữ kiện:
• Máy I sản xuất 40% số lượng sản phẩm và Máy II sản xuất 60% số lượng sản phẩm.
• Có 4% mặt hàng do Máy I sản xuất bị lỗi và 5% sản phẩm do Máy II sản xuất bị lỗi.
• Một sản phẩm được rút ngẫu nhiên.
Gọi
là sự kiện các vật phẩm được sản xuất bởi máy I,
là sự kiện các vật phẩm được sản xuất bởi máy II. Gọi
là biến cố rút được một sản phẩm bị lỗi. Khi đó:
📒 Áp dụng công thức xác suất toàn phần:
Xác xuất để vật lấy ra bị lỗi là 0,046.
Xác suất vật lấy ra không bị lỗi là
📒 Áp dụng định lý Bayes:
Nếu vật được rút ra bị lỗi, xác suất để vật đó được tạo ra bởi Máy I là:


🔑 Đáp án các ô lần lượt là: 0,954;
Câu 27 [1038633]: Kéo và thả các số thích hợp vào các chỗ trống.
Trong một trạm cấp cứu bỏng: 80% bệnh nhân bỏng do nóng, 20% bỏng do hóa chất. Loại bỏng do nóng có 30% bi biến chứng, loại bỏng do hóa chất có 50% bị biến chứng.
Chọn ngẫu nhiên một bệnh án. Xác suất để gặp một bệnh án của bệnh nhân bị biến chứng là [[20860594]].
Rút ngẫu nhiên được một bệnh án của một bệnh nhân bị biến chứng. Xác suất để bệnh án đó là của bệnh nhân bị biến chứng do hoá chất gây ra là [[20860595]].
Trong một trạm cấp cứu bỏng: 80% bệnh nhân bỏng do nóng, 20% bỏng do hóa chất. Loại bỏng do nóng có 30% bi biến chứng, loại bỏng do hóa chất có 50% bị biến chứng.
Chọn ngẫu nhiên một bệnh án. Xác suất để gặp một bệnh án của bệnh nhân bị biến chứng là [[20860594]].
Rút ngẫu nhiên được một bệnh án của một bệnh nhân bị biến chứng. Xác suất để bệnh án đó là của bệnh nhân bị biến chứng do hoá chất gây ra là [[20860595]].
📌 Chú ý: Đây là câu hỏi “Kéo thả đáp án đúng từ những đáp án cho trước”, học sinh chọn các phương án cho trước để kéo và thả vào các chỗ trống nhằm thu được các khẳng định đúng.
✍️ Hướng dẫn giải:
Dựa vào dữ kiện:
• Trong một trạm cấp cứu bỏng: 80% bệnh nhân bỏng do nóng, 20% bỏng do hóa chất.
• Loại bỏng do nóng có 30% bi biến chứng, loại bỏng do hóa chất có 50% bị biến chứng.
• Chọn ngẫu nhiên một bệnh án.
Gọi A là biến cố: “ Bệnh nhân có bệnh án của bệnh nhân bị biến chứng”
là biến cố “Bệnh nhân bị bỏng nóng”.
là biến cố “Bệnh nhân bị bỏng hoá chất”.
Ta có:
và

🔑 Đáp án các ô lần lượt là: 0,34;
✍️ Hướng dẫn giải:
Dựa vào dữ kiện:
• Trong một trạm cấp cứu bỏng: 80% bệnh nhân bỏng do nóng, 20% bỏng do hóa chất.
• Loại bỏng do nóng có 30% bi biến chứng, loại bỏng do hóa chất có 50% bị biến chứng.
• Chọn ngẫu nhiên một bệnh án.
Gọi A là biến cố: “ Bệnh nhân có bệnh án của bệnh nhân bị biến chứng”
là biến cố “Bệnh nhân bị bỏng nóng”.
là biến cố “Bệnh nhân bị bỏng hoá chất”. Ta có:
và

🔑 Đáp án các ô lần lượt là: 0,34;
Câu 28 [1038634]: Kéo và thả các số thích hợp vào các chỗ trống.
Một công ty xây dựng có 2 kỹ sư điều hành. Kỹ sư 1 thực hiện 60% công việc của công ty. Kỹ sư 2 thực hiện 40% công việc của công ty. Kinh nghiệm trước đây cho thấy xác suất xảy ra sai sót khi kỹ sư 1 thực hiện công việc là 0,03; trong khi xác suất xảy ra sai sót trong công việc của kỹ sư 2 là 0,04.
Xác suất để xảy ra một lỗi trong công việc là __________.
Giả sử xảy ra một lỗi trong công việc, xác suất để lỗi đó do kỹ sư 1 thực hiện là __________.
Một công ty xây dựng có 2 kỹ sư điều hành. Kỹ sư 1 thực hiện 60% công việc của công ty. Kỹ sư 2 thực hiện 40% công việc của công ty. Kinh nghiệm trước đây cho thấy xác suất xảy ra sai sót khi kỹ sư 1 thực hiện công việc là 0,03; trong khi xác suất xảy ra sai sót trong công việc của kỹ sư 2 là 0,04.
Xác suất để xảy ra một lỗi trong công việc là __________.
Giả sử xảy ra một lỗi trong công việc, xác suất để lỗi đó do kỹ sư 1 thực hiện là __________.
📌 Chú ý: Đây là câu hỏi “Kéo thả đáp án đúng từ những đáp án cho trước”, học sinh chọn các phương án cho trước để kéo và thả vào các chỗ trống nhằm thu được các khẳng định đúng.
✍️ Hướng dẫn giải:
Dựa vào dữ kiện:
• Kỹ sư 1 thực hiện 60% công việc của công ty.
• Kỹ sư 2 thực hiện 40% công việc của công ty.
• Xác suất xảy ra sai sót khi kỹ sư 1 thực hiện công việc là 0,03; trong khi xác suất xảy ra sai sót trong công việc của kỹ sư 2 là 0,04.
Gọi A là sự kiện thực hiện công việc của kỹ sư 1,
là sự kiện thực hiện công việc của kỹ sư 2; B là biến cố xảy ra lỗi trong công việc.


Vì
là các biến cố toàn diện và loại trừ lẫn nhau, theo định lý Bayes, ta có:
Xác suất để một công việc do kĩ sư 1 thực hiện và không xảy ra lỗi là
Xác suất để xảy ra một lỗi trong công việc là
Xác suất để lỗi đó được kỹ sư 1 thực hiện là:


🔑 Đáp án các ô lần lượt là: 0,034;
✍️ Hướng dẫn giải:
Dựa vào dữ kiện:
• Kỹ sư 1 thực hiện 60% công việc của công ty.
• Kỹ sư 2 thực hiện 40% công việc của công ty.
• Xác suất xảy ra sai sót khi kỹ sư 1 thực hiện công việc là 0,03; trong khi xác suất xảy ra sai sót trong công việc của kỹ sư 2 là 0,04.
Gọi A là sự kiện thực hiện công việc của kỹ sư 1,
là sự kiện thực hiện công việc của kỹ sư 2; B là biến cố xảy ra lỗi trong công việc. 

Vì
là các biến cố toàn diện và loại trừ lẫn nhau, theo định lý Bayes, ta có: Xác suất để một công việc do kĩ sư 1 thực hiện và không xảy ra lỗi là

Xác suất để xảy ra một lỗi trong công việc là
Xác suất để lỗi đó được kỹ sư 1 thực hiện là:


🔑 Đáp án các ô lần lượt là: 0,034;
Câu 29 [1038635]: Kéo và thả các số thích hợp vào các chỗ trống.
Một công ty đấu thầu 2 dự án. Khả năng thắng thầu của các dự án 1 và 2 lần lượt là 0,4 và 0,5. Khả năng thắng thầu cả 2 dự án là 0,3. Gọi A, B lần lượt là biến cố thắng thầu dự án 1 và dự án 2.
Biết công ty thắng thầu dự án 1, xác suất công ty thắng thầu dự án 2 là [[20860614]].
Biết công ty không thắng thầu dự án 1, xác suất công ty thắng thầu dự án 2 là [[20860613]].
Một công ty đấu thầu 2 dự án. Khả năng thắng thầu của các dự án 1 và 2 lần lượt là 0,4 và 0,5. Khả năng thắng thầu cả 2 dự án là 0,3. Gọi A, B lần lượt là biến cố thắng thầu dự án 1 và dự án 2.
Biết công ty thắng thầu dự án 1, xác suất công ty thắng thầu dự án 2 là [[20860614]].
Biết công ty không thắng thầu dự án 1, xác suất công ty thắng thầu dự án 2 là [[20860613]].
📌 Chú ý: Đây là câu hỏi “Kéo thả đáp án đúng từ những đáp án cho trước”, học sinh chọn các phương án cho trước để kéo và thả vào các chỗ trống nhằm thu được các khẳng định đúng.
✍️ Hướng dẫn giải:
Dựa vào dữ kiện:
• Một công ty đấu thầu 2 dự án.
• Khả năng thắng thầu của các dự án 1 và 2 lần lượt là 0,4 và 0,5.
• Khả năng thắng thầu cả 2 dự án là 0,3.
Kết hợp với dữ kiện: A, B lần lượt là biến cố thắng thầu dự án 1 và dự án 2.

nên A và B là hai biến cố không độc lập.
Xác suất để công ty thắng thầu đúng một dự án là
Lại có:
Suy ra
Gọi
là biến cố thắng dự 2 biết thắng dự án 1
Khi đó
Xác suất công ty thắng thầu dự án 2, biết công ty không thắng thầu dự án 1 là:

🔑 Đáp án các ô lần lượt là:
✍️ Hướng dẫn giải:
Dựa vào dữ kiện:
• Một công ty đấu thầu 2 dự án.
• Khả năng thắng thầu của các dự án 1 và 2 lần lượt là 0,4 và 0,5.
• Khả năng thắng thầu cả 2 dự án là 0,3.
Kết hợp với dữ kiện: A, B lần lượt là biến cố thắng thầu dự án 1 và dự án 2.

nên A và B là hai biến cố không độc lập.Xác suất để công ty thắng thầu đúng một dự án là

Lại có:

Suy ra

Gọi
là biến cố thắng dự 2 biết thắng dự án 1Khi đó

Xác suất công ty thắng thầu dự án 2, biết công ty không thắng thầu dự án 1 là:

🔑 Đáp án các ô lần lượt là:
Câu 30 [1038636]: Kéo và thả các số thích hợp vào các chỗ trống.
Một học sinh làm 2 bài tập kế tiếp. Xác suất làm đúng bài thứ nhất là 0,7. Nếu làm đúng bài thứ nhất thì khả năng làm đúng bài thứ 2 là 0,8, nhưng nếu làm sai bài thứ 1 thì khả năng làm đúng bài thứ 2 là 0,2.
Xác suất làm đúng bài 1 biết rằng làm đúng bài 2 là [[20860624]].
Xác suất làm đúng cả 2 bài, biết rằng làm đúng ít nhất một bài là [[20860626]].
Một học sinh làm 2 bài tập kế tiếp. Xác suất làm đúng bài thứ nhất là 0,7. Nếu làm đúng bài thứ nhất thì khả năng làm đúng bài thứ 2 là 0,8, nhưng nếu làm sai bài thứ 1 thì khả năng làm đúng bài thứ 2 là 0,2.
Xác suất làm đúng bài 1 biết rằng làm đúng bài 2 là [[20860624]].
Xác suất làm đúng cả 2 bài, biết rằng làm đúng ít nhất một bài là [[20860626]].
📌 Chú ý: Đây là câu hỏi “Kéo thả đáp án đúng từ những đáp án cho trước”, học sinh chọn các phương án cho trước để kéo và thả vào các chỗ trống nhằm thu được các khẳng định đúng.
✍️ Hướng dẫn giải:
Dựa vào dữ kiện:
• Một học sinh làm 2 bài tập kế tiếp.
• Xác suất làm đúng bài thứ nhất là 0,7.
• Nếu làm đúng bài thứ nhất thì khả năng làm đúng bài thứ 2 là 0,8; nhưng nếu làm sai bài thứ 1 thì khả năng làm đúng bài thứ 2 là 0,2.
Gọi A là biến cố làm đúng bài 1.
B là biến cố làm đúng bài 2

Xác suất làm sai cả hai bài là:
Suy ra xác suất làm đúng ít nhất một bài là

Xác suất làm đúng cả hai bài là
Xác suất làm đúng cả 2 bài, biết rằng làm đúng ít nhất một bài là
🔑 Đáp án các ô lần lượt là:
✍️ Hướng dẫn giải:
Dựa vào dữ kiện:
• Một học sinh làm 2 bài tập kế tiếp.
• Xác suất làm đúng bài thứ nhất là 0,7.
• Nếu làm đúng bài thứ nhất thì khả năng làm đúng bài thứ 2 là 0,8; nhưng nếu làm sai bài thứ 1 thì khả năng làm đúng bài thứ 2 là 0,2.
Gọi A là biến cố làm đúng bài 1.
B là biến cố làm đúng bài 2

Xác suất làm sai cả hai bài là:

Suy ra xác suất làm đúng ít nhất một bài là


Xác suất làm đúng cả hai bài là

Xác suất làm đúng cả 2 bài, biết rằng làm đúng ít nhất một bài là

🔑 Đáp án các ô lần lượt là: