Dạng 1: Câu hỏi “Chọn một trong bốn đáp án”
Câu 1 [1037006]:
là nghiệm của phương trình
là nghiệm của phương trình A, 

B, 

C, 

D, 

📌 Chú ý: Đây là kiểu câu hỏi “Nhiều lựa chọn”, với phần chọn phương án được cho bởi “hình tròn”
câu hỏi này thuộc dạng “Chọn một trong bốn đáp án”, có nghĩa là chỉ có một phương án đúng duy nhất trong câu hỏi này.
✍️ Hướng dẫn giải:
Giải các phương trình:
•
•
•
•
là nghiệm của
🔑Chọn đáp án:
Đáp án: B
câu hỏi này thuộc dạng “Chọn một trong bốn đáp án”, có nghĩa là chỉ có một phương án đúng duy nhất trong câu hỏi này.✍️ Hướng dẫn giải:
Giải các phương trình:
•
•
•
•
là nghiệm của
🔑Chọn đáp án:
Đáp án: B
Câu 2 [1037007]: Công thức nghiệm tổng quát của phương trình
là
là A, 

B, 

C, 

D, 

📌 Chú ý: Đây là kiểu câu hỏi “Nhiều lựa chọn”, với phần chọn phương án được cho bởi “hình tròn”
câu hỏi này thuộc dạng “Chọn một trong bốn đáp án”, có nghĩa là chỉ có một phương án đúng duy nhất trong câu hỏi này.
✍️ Hướng dẫn giải:
📒Nhắc lại kiến thức: Phương trình bậc nhất hai ẩn x, y là phương trình có dạng
★ Trong đó: a, b, c là các số cho trước và
hoặc
Nếu các số thực
và
thỏa mãn
thì cặp số
được gọi là nghiệm của phương trình
hoặc
Trong mặt phẳng tọa độ Oxy, mỗi nghiệm
của phương trình
được biểu diễn bởi điểm có tọa độ 
Dựa vào dữ kiện: Phương trình

🔑Chọn đáp án:
Đáp án: A
câu hỏi này thuộc dạng “Chọn một trong bốn đáp án”, có nghĩa là chỉ có một phương án đúng duy nhất trong câu hỏi này.✍️ Hướng dẫn giải:
📒Nhắc lại kiến thức: Phương trình bậc nhất hai ẩn x, y là phương trình có dạng
★ Trong đó: a, b, c là các số cho trước và
hoặc
Nếu các số thực
và
thỏa mãn
thì cặp số
được gọi là nghiệm của phương trình
hoặc
Trong mặt phẳng tọa độ Oxy, mỗi nghiệm
của phương trình
được biểu diễn bởi điểm có tọa độ 
Dựa vào dữ kiện: Phương trình


🔑Chọn đáp án:
Đáp án: A
Câu 3 [1037008]: Tập nghiệm
của phương trình
được biểu diễn bởi đường thẳng nào dưới đây?
của phương trình
được biểu diễn bởi đường thẳng nào dưới đây?
A, 

B, 

C, 

D, 

📌 Chú ý: Đây là kiểu câu hỏi “Nhiều lựa chọn”, với phần chọn phương án được cho bởi “hình tròn”
câu hỏi này thuộc dạng “Chọn một trong bốn đáp án”, có nghĩa là chỉ có một phương án đúng duy nhất trong câu hỏi này.
✍️ Hướng dẫn giải:
Dựa vào dữ kiện: Phương trình
Xét các đáp án:
• Đồ thị hàm số đi qua điểm
không phải là nghiệm của phương trình
không phải là đồ thị biểu diễn tập nghiệm của phương trình
• Đồ thị hàm số đi qua điểm
không phải là nghiệm của phương trình
không phải là đồ thị biểu diễn tập nghiệm của phương trình
• Đồ thị hàm số đi qua điểm
không phải là nghiệm của phương trình
không phải là đồ thị biểu diễn tập nghiệm của phương trình
• Đồ thị hàm số đi qua hai điểm
và
là hai nghiệm của phương trình
là đồ thị biểu diễn tập nghiệm của phương trình
🔑Chọn đáp án:
Đáp án: D
câu hỏi này thuộc dạng “Chọn một trong bốn đáp án”, có nghĩa là chỉ có một phương án đúng duy nhất trong câu hỏi này.✍️ Hướng dẫn giải:
Dựa vào dữ kiện: Phương trình
Xét các đáp án:
• Đồ thị hàm số đi qua điểm
không phải là nghiệm của phương trình
không phải là đồ thị biểu diễn tập nghiệm của phương trình
• Đồ thị hàm số đi qua điểm
không phải là nghiệm của phương trình
không phải là đồ thị biểu diễn tập nghiệm của phương trình
• Đồ thị hàm số đi qua điểm
không phải là nghiệm của phương trình
không phải là đồ thị biểu diễn tập nghiệm của phương trình
• Đồ thị hàm số đi qua hai điểm
và
là hai nghiệm của phương trình
là đồ thị biểu diễn tập nghiệm của phương trình
🔑Chọn đáp án:
Đáp án: D
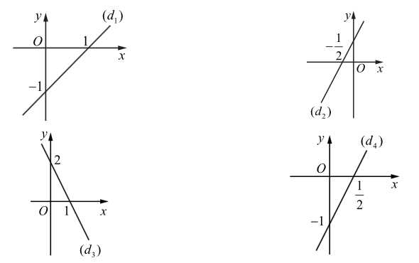
Câu 4 [1037009]: Đường thẳng
trong hình vẽ biểu diễn tập nghiệm của phương trình nào dưới đây?
trong hình vẽ biểu diễn tập nghiệm của phương trình nào dưới đây?
A, 

B, 

C, 

D, 

📌 Chú ý: Đây là kiểu câu hỏi “Nhiều lựa chọn”, với phần chọn phương án được cho bởi “hình tròn”
câu hỏi này thuộc dạng “Chọn một trong bốn đáp án”, có nghĩa là chỉ có một phương án đúng duy nhất trong câu hỏi này.
✍️ Hướng dẫn giải:
Dựa vào hình vẽ:
Đồ thị hàm số là đường thẳng 
Xét các đáp án:
•
•
•
•
🔑Chọn đáp án:
Đáp án: B
câu hỏi này thuộc dạng “Chọn một trong bốn đáp án”, có nghĩa là chỉ có một phương án đúng duy nhất trong câu hỏi này.✍️ Hướng dẫn giải:
Dựa vào hình vẽ:
Đồ thị hàm số là đường thẳng 
Xét các đáp án:
•

•

•

•

🔑Chọn đáp án:
Đáp án: B
Câu 5 [1037010]: Tìm x, biết tứ giác ABCD là hình vuông (Hình vẽ bên).
A, 

B, 

C, 

D, 

📌 Chú ý: Đây là kiểu câu hỏi “Nhiều lựa chọn”, với phần chọn phương án được cho bởi “hình tròn”
câu hỏi này thuộc dạng “Chọn một trong bốn đáp án”, có nghĩa là chỉ có một phương án đúng duy nhất trong câu hỏi này.
✍️ Hướng dẫn giải:
Dựa vào dữ kiện: Tứ giác ABCD là hình vuông
Kết hợp với hình vẽ:

🔑Chọn đáp án:
Đáp án: A
câu hỏi này thuộc dạng “Chọn một trong bốn đáp án”, có nghĩa là chỉ có một phương án đúng duy nhất trong câu hỏi này.✍️ Hướng dẫn giải:
Dựa vào dữ kiện: Tứ giác ABCD là hình vuông
Kết hợp với hình vẽ:

🔑Chọn đáp án:
Đáp án: A
Câu 6 [1037011]: Hình tam giác và hình chữ nhật ở hình vẽ có cùng chu vi. Giá trị của x là bao nhiêu?
A, 5.
B, 6.
C, 7.
D, 8.
📌 Chú ý: Đây là kiểu câu hỏi “Nhiều lựa chọn”, với phần chọn phương án được cho bởi “hình tròn”
câu hỏi này thuộc dạng “Chọn một trong bốn đáp án”, có nghĩa là chỉ có một phương án đúng duy nhất trong câu hỏi này.
✍️ Hướng dẫn giải:
Dựa vào hình vẽ:
Chu vi của hình tam giác là:
Chu vi vủa hình chữ nhật là:
Kết hợp với dữ kiện: Hình tam giác và hình chữ nhật ở hình vẽ có cùng chu vi
🔑Chọn đáp án: 6. Đáp án: B
câu hỏi này thuộc dạng “Chọn một trong bốn đáp án”, có nghĩa là chỉ có một phương án đúng duy nhất trong câu hỏi này.✍️ Hướng dẫn giải:
Dựa vào hình vẽ:
Chu vi của hình tam giác là:
Chu vi vủa hình chữ nhật là:
Kết hợp với dữ kiện: Hình tam giác và hình chữ nhật ở hình vẽ có cùng chu vi
🔑Chọn đáp án: 6. Đáp án: B
Câu 7 [1037012]: Cho hai phương trình
và
Nghiệm chung của hai phương trình là
và
Nghiệm chung của hai phương trình là A, 

B, 

C, 

D, 

📌 Chú ý: Đây là kiểu câu hỏi “Nhiều lựa chọn”, với phần chọn phương án được cho bởi “hình tròn”
câu hỏi này thuộc dạng “Chọn một trong bốn đáp án”, có nghĩa là chỉ có một phương án đúng duy nhất trong câu hỏi này.
✍️ Hướng dẫn giải:
Dựa vào dữ kiện:





Kết hợp với dữ kiện:
Do đó, ta có hệ:
Vậy nghiệm chung của hai phương trình là
🔑 Chọn đáp án:
Đáp án: D
câu hỏi này thuộc dạng “Chọn một trong bốn đáp án”, có nghĩa là chỉ có một phương án đúng duy nhất trong câu hỏi này.✍️ Hướng dẫn giải:
Dựa vào dữ kiện:






Kết hợp với dữ kiện:

Do đó, ta có hệ:

Vậy nghiệm chung của hai phương trình là

🔑 Chọn đáp án:
Đáp án: D
Câu 8 [1037013]: Phương trình
có nghiệm là
có nghiệm là A, 

B, 

C, 

D, 

📌 Chú ý: Đây là kiểu câu hỏi “Nhiều lựa chọn”, với phần chọn phương án được cho bởi “hình tròn”
câu hỏi này thuộc dạng “Chọn một trong bốn đáp án”, có nghĩa là chỉ có một phương án đúng duy nhất trong câu hỏi này.
✍️ Hướng dẫn giải:
Dựa vào dữ kiện: Phương trình
🔑Chọn đáp án:
Đáp án: A
câu hỏi này thuộc dạng “Chọn một trong bốn đáp án”, có nghĩa là chỉ có một phương án đúng duy nhất trong câu hỏi này.✍️ Hướng dẫn giải:
Dựa vào dữ kiện: Phương trình
🔑Chọn đáp án:
Đáp án: A
Câu 9 [1037014]: Phương trình
có bao nhiêu nghiệm?
có bao nhiêu nghiệm? A, 1.
B, 2.
C, 3.
D, 4.
📌 Chú ý: Đây là kiểu câu hỏi “Nhiều lựa chọn”, với phần chọn phương án được cho bởi “hình tròn”
câu hỏi này thuộc dạng “Chọn một trong bốn đáp án”, có nghĩa là chỉ có một phương án đúng duy nhất trong câu hỏi này.
✍️ Hướng dẫn giải:
Dựa vào dữ kiện: Phương trình
• Trường hợp 1:
Khi đó phương trình trở thành:
• Trường hợp 2:
Khi đó phương tình trở thành:
Phương trình có một nghiệm là:
🔑Chọn đáp án: 1. Đáp án: A
câu hỏi này thuộc dạng “Chọn một trong bốn đáp án”, có nghĩa là chỉ có một phương án đúng duy nhất trong câu hỏi này.✍️ Hướng dẫn giải:
Dựa vào dữ kiện: Phương trình
• Trường hợp 1:
Khi đó phương trình trở thành:
• Trường hợp 2:
Khi đó phương tình trở thành:
Phương trình có một nghiệm là:
🔑Chọn đáp án: 1. Đáp án: A
Câu 10 [1037015]: Giá trị của m để điểm
thuộc đường thẳng
là
thuộc đường thẳng
là A, 5.
B, 6.
C, 7.
D, 8.
📌 Chú ý: Đây là kiểu câu hỏi “Nhiều lựa chọn”, với phần chọn phương án được cho bởi “hình tròn”
câu hỏi này thuộc dạng “Chọn một trong bốn đáp án”, có nghĩa là chỉ có một phương án đúng duy nhất trong câu hỏi này.
✍️ Hướng dẫn giải:
Dựa vào dữ kiện: Điểm
thuộc đường thẳng
Thay tọa độ điểm N vào phương trình đường thẳng:
🔑Chọn đáp án: 7. Đáp án: C
câu hỏi này thuộc dạng “Chọn một trong bốn đáp án”, có nghĩa là chỉ có một phương án đúng duy nhất trong câu hỏi này.✍️ Hướng dẫn giải:
Dựa vào dữ kiện: Điểm
thuộc đường thẳng
Thay tọa độ điểm N vào phương trình đường thẳng:
🔑Chọn đáp án: 7. Đáp án: C
Câu 11 [1037016]: Tìm giá trị của m để phương trình
có nghiệm dương và nhỏ hơn 1.
có nghiệm dương và nhỏ hơn 1. A, 

B, 

C, 

D, 

📌 Chú ý: Đây là kiểu câu hỏi “Nhiều lựa chọn”, với phần chọn phương án được cho bởi “hình tròn”
câu hỏi này thuộc dạng “Chọn một trong bốn đáp án”, có nghĩa là chỉ có một phương án đúng duy nhất trong câu hỏi này.
✍️ Hướng dẫn giải:
Dựa vào dữ kiện: Phương trình
• Trường hợp 1:
Khi đó phương trình trở thành:
Phương trình có nghiệm dương
• Trường hợp 2:



Kết hợp với dữ kiện: Phương trình
có nghiệm dương và nhỏ hơn 1



🔑Chọn đáp án:
Đáp án: B
câu hỏi này thuộc dạng “Chọn một trong bốn đáp án”, có nghĩa là chỉ có một phương án đúng duy nhất trong câu hỏi này.✍️ Hướng dẫn giải:
Dựa vào dữ kiện: Phương trình
• Trường hợp 1:
Khi đó phương trình trở thành:
Phương trình có nghiệm dương
• Trường hợp 2:



Kết hợp với dữ kiện: Phương trình
có nghiệm dương và nhỏ hơn 1



🔑Chọn đáp án:
Đáp án: B
Câu 12 [1037017]: Một miếng đất hình chữ nhật có chu vi 200 m. Biết chiều dài gấp ba lần chiều rộng. Diện tích của miếng đất hình chữ nhật đã cho là
A, 

B, 

C, 

D, 

📌 Chú ý: Đây là kiểu câu hỏi “Nhiều lựa chọn”, với phần chọn phương án được cho bởi “hình tròn”
câu hỏi này thuộc dạng “Chọn một trong bốn đáp án”, có nghĩa là chỉ có một phương án đúng duy nhất trong câu hỏi này.
✍️ Hướng dẫn giải:
Gọi chiều rộng của miếng đất hình chữ nhật là x (m)
Dựa vào dữ kiện: Chiều dài gấp ba lần chiều rộng
Chiều dài của miếng đất hình chữ nhật là:
Kết hợp với dữ kiện: Miếng đất hình chữ nhật có chu vi 200 m
Chiều dài hình chữ nhật là:
Diện tích của miếng đất là:
🔑Chọn đáp án:
Đáp án: A
câu hỏi này thuộc dạng “Chọn một trong bốn đáp án”, có nghĩa là chỉ có một phương án đúng duy nhất trong câu hỏi này.✍️ Hướng dẫn giải:
Gọi chiều rộng của miếng đất hình chữ nhật là x (m)
Dựa vào dữ kiện: Chiều dài gấp ba lần chiều rộng
Chiều dài của miếng đất hình chữ nhật là:
Kết hợp với dữ kiện: Miếng đất hình chữ nhật có chu vi 200 m
Chiều dài hình chữ nhật là:
Diện tích của miếng đất là:
🔑Chọn đáp án:
Đáp án: A
Câu 13 [1037018]: Bạn An đi từ nhà đến trường với vận tốc 15 km/h. Lúc về An đi với vận tốc 12 km/h. Thời gian cả đi và về của An là
giờ
phút. Độ dài quãng đường từ nhà An đến trường là
giờ
phút. Độ dài quãng đường từ nhà An đến trường là A, 25 km.
B, 30 km.
C, 35 km.
D, 40 km.
📌 Chú ý: Đây là kiểu câu hỏi “Nhiều lựa chọn”, với phần chọn phương án được cho bởi “hình tròn”
câu hỏi này thuộc dạng “Chọn một trong bốn đáp án”, có nghĩa là chỉ có một phương án đúng duy nhất trong câu hỏi này.
✍️ Hướng dẫn giải:
Gọi độ dài quãng đường từ nhà bạn An đến trường là x (km)
Dựa vào dữ kiện: Bạn An từ nhà đến trường với vận tốc 15 km/h
Thời gian bạn An đi đến trường là:
(giờ)
Kết hợp với dữ kiện: Lúc về An đi với vận tốc 12 km/h
Thời gian bạn An đi về là:
(giờ)
Kết hợp với dữ kiện: Thời gian cả đi và về của An là
giờ
phút
Đổi:
giờ
phút
(giờ)


Độ dài quãng đường từ nhà An đến trường là 30 km
🔑Chọn đáp án: 30 km. Đáp án: B
câu hỏi này thuộc dạng “Chọn một trong bốn đáp án”, có nghĩa là chỉ có một phương án đúng duy nhất trong câu hỏi này.✍️ Hướng dẫn giải:
Gọi độ dài quãng đường từ nhà bạn An đến trường là x (km)
Dựa vào dữ kiện: Bạn An từ nhà đến trường với vận tốc 15 km/h
Thời gian bạn An đi đến trường là:
(giờ)
Kết hợp với dữ kiện: Lúc về An đi với vận tốc 12 km/h
Thời gian bạn An đi về là:
(giờ)
Kết hợp với dữ kiện: Thời gian cả đi và về của An là
giờ
phút
Đổi:
giờ
phút
(giờ)


Độ dài quãng đường từ nhà An đến trường là 30 km
🔑Chọn đáp án: 30 km. Đáp án: B
Câu 14 [1037019]: Một ô tô đi từ A đến B với vận tốc 60 km/h. Khi trở về cũng trên tuyến đường đó, ô tô chạy với vận tốc 40 km/h nên thời gian về mất nhiều hơn thời gian đi là 2 giờ 10 phút. Tính độ dài quãng đường AB.
A, 230 km.
B, 250 km.
C, 255 km.
D, 260 km.
📌 Chú ý: Đây là kiểu câu hỏi “Nhiều lựa chọn”, với phần chọn phương án được cho bởi “hình tròn”
câu hỏi này thuộc dạng “Chọn một trong bốn đáp án”, có nghĩa là chỉ có một phương án đúng duy nhất trong câu hỏi này.
✍️ Hướng dẫn giải:
Gọi độ dài quãng đường AB là x (km)
Dựa vào dữ kiện: Một ô tô đi từ A đến B với vận tốc 60 km/h
Thời gian ô tô đi từ A đến B là:
Kết hợp với dữ kiện: Khi trở về cũng trên tuyến đường đó, ô tô chạy với vận tốc 40 km/h
Thời gian ô tô đi trở về là:
Kết hợp với dữ kiện: Thời gian về mất nhiều hơn thời gian đi là 2 giờ 10 phút
Đổi: 2 giờ 10 phút

Độ dài quãng đường AB dài 260 km
🔑Chọn đáp án: 260 km. Đáp án: D
câu hỏi này thuộc dạng “Chọn một trong bốn đáp án”, có nghĩa là chỉ có một phương án đúng duy nhất trong câu hỏi này.✍️ Hướng dẫn giải:
Gọi độ dài quãng đường AB là x (km)
Dựa vào dữ kiện: Một ô tô đi từ A đến B với vận tốc 60 km/h
Thời gian ô tô đi từ A đến B là:
Kết hợp với dữ kiện: Khi trở về cũng trên tuyến đường đó, ô tô chạy với vận tốc 40 km/h
Thời gian ô tô đi trở về là:
Kết hợp với dữ kiện: Thời gian về mất nhiều hơn thời gian đi là 2 giờ 10 phút
Đổi: 2 giờ 10 phút

Độ dài quãng đường AB dài 260 km
🔑Chọn đáp án: 260 km. Đáp án: D
Câu 15 [1037020]: Hỡi khách qua đường, cho hay Đi-ô-phăng thọ bao nhiêu tuổi?
Biết thời thơ ấu của ông chiếm
cuộc đời,
cuộc đời tiếp theo là thời thanh niên sôi nổi.
Đến khi lập gia đình thì thêm
cuộc đời.
5 năm nữa trôi qua, và một cậu con trai đã được sinh ra.
Nhưng số mệnh buộc con chỉ sống bằng nửa đời cha.
Ông đã từ trần 4 năm sau khi con mất.
Đi-ô-phăng thọ bao nhiêu, hãy tính cho ra?
Biết thời thơ ấu của ông chiếm
cuộc đời,
cuộc đời tiếp theo là thời thanh niên sôi nổi.Đến khi lập gia đình thì thêm
cuộc đời.5 năm nữa trôi qua, và một cậu con trai đã được sinh ra.
Nhưng số mệnh buộc con chỉ sống bằng nửa đời cha.
Ông đã từ trần 4 năm sau khi con mất.
Đi-ô-phăng thọ bao nhiêu, hãy tính cho ra?
(Bài toán bằng thơ trên mộ của Đi-ô-phăng, nhà toán học cổ Hi Lạp thế kỉ II- III)
A, 

B, 85.
C, 86.
D, 87.
📌 Chú ý: Đây là kiểu câu hỏi “Nhiều lựa chọn”, với phần chọn phương án được cho bởi “hình tròn”
câu hỏi này thuộc dạng “Chọn một trong bốn đáp án”, có nghĩa là chỉ có một phương án đúng duy nhất trong câu hỏi này.
✍️ Hướng dẫn giải:
Gọi số tuổi của Đi-ô-phăng là x (tuổi,
)
Dựa vào dữ kiện: Biết thời thơ ấu của ông chiếm
cuộc đời
Thời thơ ấu của ông dài:
(năm)
Kết hợp với dữ kiện:
cuộc đời tiếp theo là thời thanh niên sôi nổi
Thời thanh niên sôi nổi của ông dài:
(năm)
Kết hợp với dữ kiện: Đến khi lập gia đình thì thêm
cuộc đời
Tuổi của ông cho đến khi lập gia đình là:
(năm)
Kết hợp với dữ kiện: 5 năm nữa trôi qua, và một cậu con trai đã được sinh ra
Tuổi của ông cho đến khi con trai được sinh ra là:
(năm)
Kết hợp với dữ kiện: Nhưng số mệnh buộc con chỉ sống bằng nửa đời cha
Tuổi của con ông là:
(tuổi)
Kết hợp với dữ kiện: Ông đã từ trần 4 năm sau khi con mất

Tuổi của ông là 84 tuổi
🔑Chọn đáp án:
Đáp án: A
câu hỏi này thuộc dạng “Chọn một trong bốn đáp án”, có nghĩa là chỉ có một phương án đúng duy nhất trong câu hỏi này.✍️ Hướng dẫn giải:
Gọi số tuổi của Đi-ô-phăng là x (tuổi,
)
Dựa vào dữ kiện: Biết thời thơ ấu của ông chiếm
cuộc đời
Thời thơ ấu của ông dài:
(năm)
Kết hợp với dữ kiện:
cuộc đời tiếp theo là thời thanh niên sôi nổi
Thời thanh niên sôi nổi của ông dài:
(năm)
Kết hợp với dữ kiện: Đến khi lập gia đình thì thêm
cuộc đời
Tuổi của ông cho đến khi lập gia đình là:
(năm)
Kết hợp với dữ kiện: 5 năm nữa trôi qua, và một cậu con trai đã được sinh ra
Tuổi của ông cho đến khi con trai được sinh ra là:
(năm)
Kết hợp với dữ kiện: Nhưng số mệnh buộc con chỉ sống bằng nửa đời cha
Tuổi của con ông là:
(tuổi)
Kết hợp với dữ kiện: Ông đã từ trần 4 năm sau khi con mất

Tuổi của ông là 84 tuổi
🔑Chọn đáp án:
Đáp án: A Dạng 2: Câu hỏi “Chọn nhiều đáp án đúng”
Câu 16 [1037021]: Trong các phương trình sau, phương trình nào là phương trình bậc nhất một ẩn?
Câu 17 [1037022]: Cặp số
là nghiệm của phương trình nào trong các phương trình sau?
là nghiệm của phương trình nào trong các phương trình sau?
📌 Chú ý: Đây là kiểu câu hỏi “Nhiều lựa chọn” với phần chọn phương án được cho bởi “hình vuông”
câu hỏi này thuộc dạng “Chọn nhiều đáp án đúng” có nghĩa là có nhiều hơn một phương án đúng trong câu hỏi này.
✍️ Hướng dẫn giải:
Thay
vào các phương trình:
∎
(vô lý)
không phải là nghiệm của phương trình
∎
(luôn đúng)
là nghiệm của phương trình
∎
(vô lý)
không phải là nghiệm của phương trình
∎
(luôn đúng)
là nghiệm của phương trình
🔑 Chọn đáp án thứ hai và thứ tư.
câu hỏi này thuộc dạng “Chọn nhiều đáp án đúng” có nghĩa là có nhiều hơn một phương án đúng trong câu hỏi này.✍️ Hướng dẫn giải:
Thay
vào các phương trình:
∎
(vô lý)
không phải là nghiệm của phương trình
∎
(luôn đúng)
là nghiệm của phương trình
∎
(vô lý)
không phải là nghiệm của phương trình
∎
(luôn đúng)
là nghiệm của phương trình
🔑 Chọn đáp án thứ hai và thứ tư.
Câu 18 [1037023]: Các cặp số không là nghiệm của phương trình
là
là
📌 Chú ý: Đây là kiểu câu hỏi “Nhiều lựa chọn” với phần chọn phương án được cho bởi “hình vuông”
câu hỏi này thuộc dạng “Chọn nhiều đáp án đúng” có nghĩa là có nhiều hơn một phương án đúng trong câu hỏi này.
✍️ Hướng dẫn giải:
Thay lần lượt các cặp số vào phương trình
∎
(vô lý)
không là nghiệm của phương trình
∎
(vô lý)
không là nghiệm của phương trình
∎
(luôn đúng)
là nghiệm của phương trình
∎
(luôn đúng)
là nghiệm của phương trình
🔑 Chọn đáp án thứ nhất và thứ hai.
câu hỏi này thuộc dạng “Chọn nhiều đáp án đúng” có nghĩa là có nhiều hơn một phương án đúng trong câu hỏi này.✍️ Hướng dẫn giải:
Thay lần lượt các cặp số vào phương trình
∎
(vô lý)
không là nghiệm của phương trình
∎
(vô lý)
không là nghiệm của phương trình
∎
(luôn đúng)
là nghiệm của phương trình
∎
(luôn đúng)
là nghiệm của phương trình
🔑 Chọn đáp án thứ nhất và thứ hai.
Câu 19 [1037024]: Giá trị của m để cặp số
là nghiệm của phương trình
là
là nghiệm của phương trình
là
📌 Chú ý: Đây là kiểu câu hỏi “Nhiều lựa chọn” với phần chọn phương án được cho bởi “hình vuông”
câu hỏi này thuộc dạng “Chọn nhiều đáp án đúng” có nghĩa là có nhiều hơn một phương án đúng trong câu hỏi này.
✍️ Hướng dẫn giải:
Dựa vào dữ kiện: Cặp số
là nghiệm của phương trình
Thay
vào phương trình



🔑 Chọn đáp án thứ nhất và thứ tư.
câu hỏi này thuộc dạng “Chọn nhiều đáp án đúng” có nghĩa là có nhiều hơn một phương án đúng trong câu hỏi này.✍️ Hướng dẫn giải:
Dựa vào dữ kiện: Cặp số
là nghiệm của phương trình
Thay
vào phương trình



🔑 Chọn đáp án thứ nhất và thứ tư.
Câu 20 [1037025]: Phương trình
có nghiệm là
có nghiệm là
📌 Chú ý: Đây là kiểu câu hỏi “Nhiều lựa chọn” với phần chọn phương án được cho bởi “hình vuông”
câu hỏi này thuộc dạng “Chọn nhiều đáp án đúng” có nghĩa là có nhiều hơn một phương án đúng trong câu hỏi này.
✍️ Hướng dẫn giải:
Dựa vào dữ kiện: Phương trình


🔑 Chọn đáp án thứ hai và thứ ba.
câu hỏi này thuộc dạng “Chọn nhiều đáp án đúng” có nghĩa là có nhiều hơn một phương án đúng trong câu hỏi này.✍️ Hướng dẫn giải:
Dựa vào dữ kiện: Phương trình


🔑 Chọn đáp án thứ hai và thứ ba.
Câu 21 [1037026]: Các phương trình có nghiệm
là
là
📌 Chú ý: Đây là kiểu câu hỏi “Nhiều lựa chọn” với phần chọn phương án được cho bởi “hình vuông”
câu hỏi này thuộc dạng “Chọn nhiều đáp án đúng” có nghĩa là có nhiều hơn một phương án đúng trong câu hỏi này.
✍️ Hướng dẫn giải:
Thay
vào các phương trình:
∎
(vô lý)
không phải là nghiệm của phương trình
∎
(luôn đúng)
phải là nghiệm của phương trình
∎
(vô lý)
khồng phải là nghiệm của phương trình
∎
(vô lý)
khồng phải là nghiệm của phương trình
🔑 Chọn đáp án thứ hai
câu hỏi này thuộc dạng “Chọn nhiều đáp án đúng” có nghĩa là có nhiều hơn một phương án đúng trong câu hỏi này.✍️ Hướng dẫn giải:
Thay
vào các phương trình:
∎
(vô lý)
không phải là nghiệm của phương trình
∎
(luôn đúng)
phải là nghiệm của phương trình
∎
(vô lý)
khồng phải là nghiệm của phương trình
∎
(vô lý)
khồng phải là nghiệm của phương trình
🔑 Chọn đáp án thứ hai
Câu 22 [1037027]: Tổng của hai số bằng 80, hiệu của chúng bằng 14. Hai số đó là
📌 Chú ý: Đây là kiểu câu hỏi “Nhiều lựa chọn” với phần chọn phương án được cho bởi “hình vuông”
câu hỏi này thuộc dạng “Chọn nhiều đáp án đúng” có nghĩa là có nhiều hơn một phương án đúng trong câu hỏi này.
✍️ Hướng dẫn giải:
Gọi hai số lần lượt là a và b
Dựa vào dữ kiện: Hiệu của chúng bằng 14
Kết hợp với dữ kiện: Tổng hai số bằng 80



🔑 Chọn đáp án thứ nhất và thứ ba.
câu hỏi này thuộc dạng “Chọn nhiều đáp án đúng” có nghĩa là có nhiều hơn một phương án đúng trong câu hỏi này.✍️ Hướng dẫn giải:
Gọi hai số lần lượt là a và b
Dựa vào dữ kiện: Hiệu của chúng bằng 14
Kết hợp với dữ kiện: Tổng hai số bằng 80



🔑 Chọn đáp án thứ nhất và thứ ba.
Câu 23 [1037028]: Tổng của hai số bằng 90, một số gấp đôi số còn lại. Hai số đó là
📌 Chú ý: Đây là kiểu câu hỏi “Nhiều lựa chọn” với phần chọn phương án được cho bởi “hình vuông”
câu hỏi này thuộc dạng “Chọn nhiều đáp án đúng” có nghĩa là có nhiều hơn một phương án đúng trong câu hỏi này.
✍️ Hướng dẫn giải:
Gọi 1 số trong 2 số là 2a
Dựa vào dữ kiện: Số này gấp đôi số còn lại
Số còn lại là a
Kết hợp với dữ kiện: Tổng của hai số là 90


🔑 Chọn đáp án thứ hai và thứ ba.
câu hỏi này thuộc dạng “Chọn nhiều đáp án đúng” có nghĩa là có nhiều hơn một phương án đúng trong câu hỏi này.✍️ Hướng dẫn giải:
Gọi 1 số trong 2 số là 2a
Dựa vào dữ kiện: Số này gấp đôi số còn lại
Số còn lại là a
Kết hợp với dữ kiện: Tổng của hai số là 90


🔑 Chọn đáp án thứ hai và thứ ba.
Câu 24 [1037029]: Hai tổ công nhân trong một công xưởng, sản xuất được
sản phẩm trong tháng đầu. Sang tháng thứ hai, tổ I làm vượt mức
tổ II vượt mức
do đó cuối tháng cả hai tổ sản xuất được
sản phẩm. Hỏi trong tháng đầu tổ I và tổ II sản xuất được bao nhiêu sản phẩm?
sản phẩm trong tháng đầu. Sang tháng thứ hai, tổ I làm vượt mức
tổ II vượt mức
do đó cuối tháng cả hai tổ sản xuất được
sản phẩm. Hỏi trong tháng đầu tổ I và tổ II sản xuất được bao nhiêu sản phẩm?
📌 Chú ý: Đây là kiểu câu hỏi “Nhiều lựa chọn” với phần chọn phương án được cho bởi “hình vuông”
câu hỏi này thuộc dạng “Chọn nhiều đáp án đúng” có nghĩa là có nhiều hơn một phương án đúng trong câu hỏi này.
✍️ Hướng dẫn giải:
Gọi số sản phẩm tổ I và tổ II sản xuất được trong tháng đầu lần lượt là x và y (sản phẩm,
Dựa vào dữ kiện: Hai tổ công nhân trong một công xưởng, sản xuất được
sản phẩm trong tháng đầu
Kết hợp với dữ kiện: Sang tháng thứ hai, tổ I làm vượt mức
tổ II vượt mức
do đó cuối tháng cả hai tổ sản xuất được
sản phẩm
🔑 Chọn đáp án thứ nhát và thứ hai.
câu hỏi này thuộc dạng “Chọn nhiều đáp án đúng” có nghĩa là có nhiều hơn một phương án đúng trong câu hỏi này.✍️ Hướng dẫn giải:
Gọi số sản phẩm tổ I và tổ II sản xuất được trong tháng đầu lần lượt là x và y (sản phẩm,
Dựa vào dữ kiện: Hai tổ công nhân trong một công xưởng, sản xuất được
sản phẩm trong tháng đầu
Kết hợp với dữ kiện: Sang tháng thứ hai, tổ I làm vượt mức
tổ II vượt mức
do đó cuối tháng cả hai tổ sản xuất được
sản phẩm
🔑 Chọn đáp án thứ nhát và thứ hai.
Câu 25 [1037030]: Một đội sản xuất dự định mỗi ngày hoàn thành 50 sản phẩm, nhưng thực tế đã vượt mức mỗi ngày 10 sản phẩm. Vì vậy, đội đó không những hoàn thành kế hoạch sớm hơn 2 ngày mà còn sản xuất thêm được 30 sản phẩm nữa. Giả sử theo kế hoạch đội đó phải sản xuất x sản phẩm. Những phát biểu nào dưới đây đúng?
📌 Chú ý: Đây là kiểu câu hỏi “Nhiều lựa chọn” với phần chọn phương án được cho bởi “hình vuông”
câu hỏi này thuộc dạng “Chọn nhiều đáp án đúng” có nghĩa là có nhiều hơn một phương án đúng trong câu hỏi này.
✍️ Hướng dẫn giải:
Dựa và dữ kiện: Theo kế hoạch đội đó phải sản xuất x sản phẩm
Kết hợp với dữ kiện: Đội sản xuất dự định mỗi ngày hoàn thành 50 sản phẩm
Thời gian đội hoàn thành công việc theo kế hoạch là:
(ngày)
Kết hợp với dữ kiện: Thực tế đã vượt mức mỗi ngày 10 sản phẩm
Mỗi ngày đội đã làm được:
(sản phẩm)
Kết hợp với dữ kiện: Đội không những hoàn thành kế hoạch sớm hơn 2 ngày mà còn sản xuất thêm được 30 sản phẩm
Số sản phẩm đội đó sản xuất được trong thực tế là:
(sản phẩm)
Thời gian đội hoàn thành công việc thực tế là:
(ngày)

Số sản phẩm đội đó phải sản xuất theo thực tế là 750 sản phẩm
🔑 Chọn đáp án thứ hai và thứ ba.
câu hỏi này thuộc dạng “Chọn nhiều đáp án đúng” có nghĩa là có nhiều hơn một phương án đúng trong câu hỏi này.✍️ Hướng dẫn giải:
Dựa và dữ kiện: Theo kế hoạch đội đó phải sản xuất x sản phẩm
Kết hợp với dữ kiện: Đội sản xuất dự định mỗi ngày hoàn thành 50 sản phẩm
Thời gian đội hoàn thành công việc theo kế hoạch là:
(ngày)
Kết hợp với dữ kiện: Thực tế đã vượt mức mỗi ngày 10 sản phẩm
Mỗi ngày đội đã làm được:
(sản phẩm)
Kết hợp với dữ kiện: Đội không những hoàn thành kế hoạch sớm hơn 2 ngày mà còn sản xuất thêm được 30 sản phẩm
Số sản phẩm đội đó sản xuất được trong thực tế là:
(sản phẩm)
Thời gian đội hoàn thành công việc thực tế là:
(ngày)

Số sản phẩm đội đó phải sản xuất theo thực tế là 750 sản phẩm
🔑 Chọn đáp án thứ hai và thứ ba.