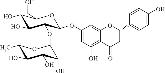
NARINGIN
Naringin có nhiều trong trái cây họ cam quýt, đặc biệt là trong bưởi. Naringin có hoạt tính chống viêm và chống oxy hóa mạnh. Một số nghiên cứu cho thấy rằng bổ sung naringin có lợi cho việc điều trị bệnh béo phì, tiểu đường, tăng huyết áp và hội chứng chuyển hóa. Naringin có công thức phân tử C27H32O14 và công thức cấu tạo như hình dưới đây:
Câu 1 [382601]: Phân tử naringin có bao nhiêu nhóm -OH alcohol?
A, 2.
B, 5.
C, 6.
D, 8.
Đáp án: C
Câu 2 [382602]: Phân tử naringin có bao nhiêu nhóm nhóm -OH phenol?
A, 6.
B, 2.
C, 3.
D, 1.
Đáp án: B
Câu 3 [382603]: Phương pháp tách naringin từ vỏ bưởi như sau: vỏ bưởi được xử lí bằng dung dịch sodium hydroxide. Lọc, acid hóa phần nước lọc, thu được naringin. Hãy cho biết phương pháp trên dựa vào tính chất nào của naringin?
A, Nhóm chức phenol có khả năng phản ứng với dung dịch NaOH.
B, Nhóm chức ancol có khả năng phản ứng với dung dịch NaOH.
C, Naringin không tan trong dung dịch NaOH.
D, Naringin tan tốt trong nước.
Đáp án: A