MELEZITOSE
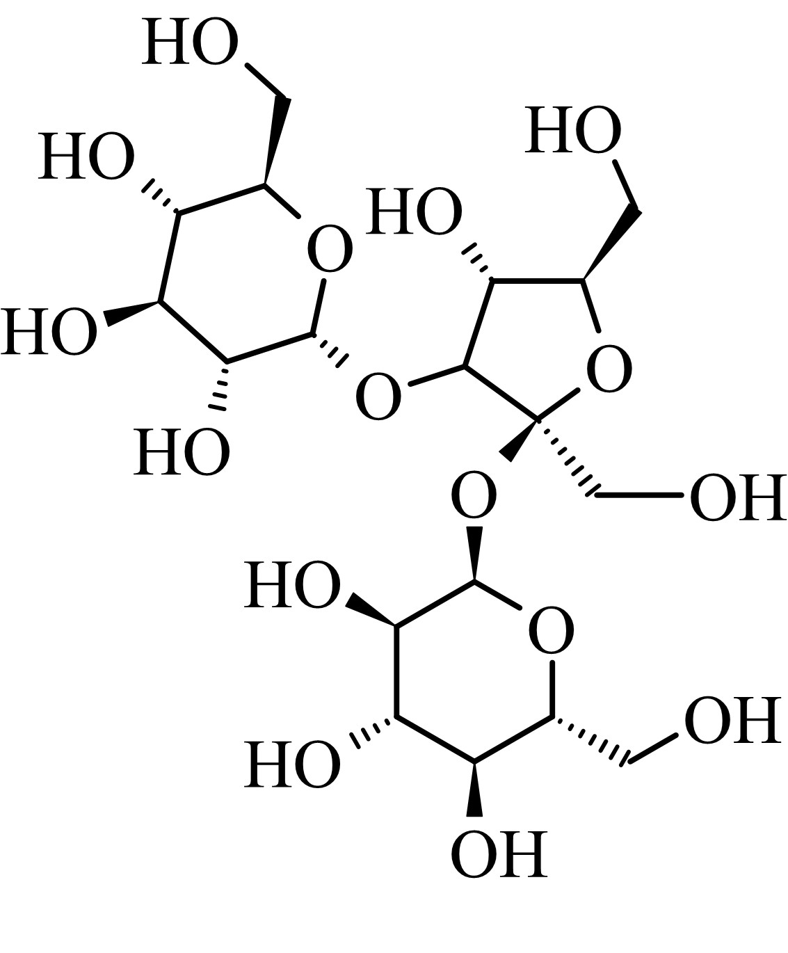
Melezitose là đường không khử, có trong thành phần của mật ong. Khi thuỷ phân hoàn toàn 1 mol melezitose bằng acid sẽ thu được 2 mol glucose và 1 mol fructose. Hình vẽ bên cho biết cấu tạo của phân tử melezitose.
Câu 1 [382592]: Melezitose có phân tử khối là
A, 504.
B, 522.
C, 540.
D, 576.
Melezitose có công thức phân tử là C18H32O16 có phân tử khối là : 12.18+1.32+16.16= 504 Đáp án: A
Câu 2 [382593]: Trong cấu trúc của phân tử melezitose có bao nhiêu nhóm chức alcohol?
A, 10.
B, 11.
C, 12.
D, 13.

Trong cấu trúc của phân tử melezitose có 11 nhóm chức alcohol.
Câu 3 [382594]: Trong phân tích cấu trúc của hợp chất hữu cơ, tác nhân HIO4 dùng để xác định có bao nhiêu nhóm OH liền kề bằng việc cắt đứt liên kết giữa 2 nguyên tử C chứa nhóm OH liền kề. Có bao nhiêu liên kết C-C trong phân tử melezitose sẽ bị cắt đứt nếu dùng tác nhân HIO4?
A, 7.
B, 10.
C, 8.
D, 4.
Có 4 liên kết C-C trong phân tử melezitose sẽ bị cắt đứt nếu dùng tác nhân HIO4. Đáp án: D