HỢP CHẤT CYANOHYDRIN
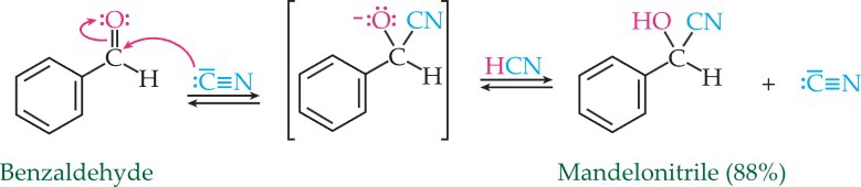
Aldehyde và ketone có thể phản ứng với HCN để tạo ra hợp chất cyanohydrin, RCH(OH)C≡N. Các nghiên cứu được thực hiện vào đầu những năm 1900 bởi Arthur Lapworth cho thấy sự hình thành cyanohydrin là một phản ứng thuận nghịch và được xúc tác bởi môi trường base.
Phản ứng xảy ra chậm khi sử dụng HCN tinh khiết nhưng nhanh khi thêm một lượng nhỏ base để tạo ra ion cyanide, CN–. Ngoài ra, có thể thêm một lượng nhỏ muối KCN vào HCN để xúc tác phản ứng.
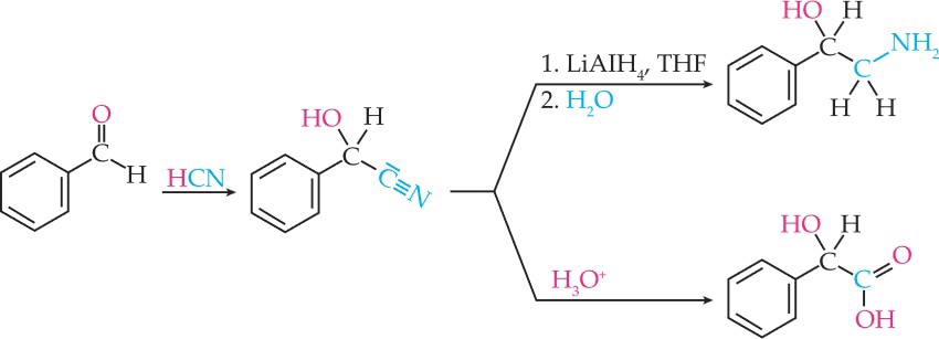
Sự hình thành sản phẩm cyanohydrin rất hữu ích vì từ nó có thể tạo ra các sản phẩm khác:
▪ Tạo carboxylic acid: Quá trình thủy phân cyanohydrin trong môi trường acid tạo thành α-hydroxycarboxylic acid, tức nhóm hydroxyl OH đứng ở carbon bên cạnh (carbon alpha α) so với carbon của nhóm carboxylic acid COOH.
▪ Tạo amine: Liên kết C≡N có thể bị khử bằng LiAlH4 hoặc H2 (xúc tác Ni) để tạo ra amine bậc một (RCH2NH2).

Một điểm đặc biệt của phản ứng giữa của aldehyde, ketone với HCN là giúp tạo thành các sản phẩm với số lượng carbon tăng thêm 1C.
Câu 1 [684455]: Cho propionaldehyde phản ứng lần lượt qua các bước (1) và (2) với các hóa chất tương ứng tạo thành hợp chất X.

Công thức cấu tạo của X là

Công thức cấu tạo của X là
A, 

B, 

C, 

D, 

Công thức cấu tạo thu gọn của propionaldehyde là: CH3CH2CHO
Ta có các phương trình phản ứng:
(1) CH3CH2CHO + HCN/KCN ⟶CH3CH2CH(OH)CN
(2) CH3CH2CH(OH)CN + H3O+ ⟶ CH3CH2CH(OH)COOH + NH4+
X có công thức cấu tạo là: CH3CH2CH(OH)COOH
⇒ Chọn đáp án: A Đáp án: A
Ta có các phương trình phản ứng:
(1) CH3CH2CHO + HCN/KCN ⟶CH3CH2CH(OH)CN
(2) CH3CH2CH(OH)CN + H3O+ ⟶ CH3CH2CH(OH)COOH + NH4+
X có công thức cấu tạo là: CH3CH2CH(OH)COOH
⇒ Chọn đáp án: A Đáp án: A
Câu 2 [684456]: Cho butan-2-one phản ứng lần lượt qua các bước (1) và (2) với các hóa chất tương ứng tạo thành hợp chất Y.

Dự đoán trong cấu tạo của hợp chất Y, nhóm OH ở vị trí carbon số mấy so với nhóm chức amine NH2.

Dự đoán trong cấu tạo của hợp chất Y, nhóm OH ở vị trí carbon số mấy so với nhóm chức amine NH2.
A, 1.
B, 2.
C, 3.
D, 4.
Công thức cấu tạo thu gọn của butan-2-one: CH3COCH2CH3
Ta có các phương trình phản ứng:
(1) CH3COCH2CH3 + HCN/KCN → CH3C(OH)(CN)CH2CH3
(2) CH3C(OH)(CN)CH2CH3 + 2H2 + Ni → CH3C(OH)(CH2NH2)CH2CH3
Y có công thức cấu tạo CH3C(OH)(CH2NH2)CH2CH3 có tên gọi là 2-amino-2-methyl-1-propanol.
Nhóm -OH liên kết với carbon trung tâm nên nhóm OH ở vị trí số 2.
⇒ Chọn đáp án: B Đáp án: B
Ta có các phương trình phản ứng:
(1) CH3COCH2CH3 + HCN/KCN → CH3C(OH)(CN)CH2CH3
(2) CH3C(OH)(CN)CH2CH3 + 2H2 + Ni → CH3C(OH)(CH2NH2)CH2CH3
Y có công thức cấu tạo CH3C(OH)(CH2NH2)CH2CH3 có tên gọi là 2-amino-2-methyl-1-propanol.
Nhóm -OH liên kết với carbon trung tâm nên nhóm OH ở vị trí số 2.
⇒ Chọn đáp án: B Đáp án: B
Câu 3 [684457]: Từ hợp chất carbonyl Z tiến hành phản ứng lần lượt qua các bước (1) và (2) với các hóa chất tương ứng tạo thành hợp chất có công thức cấu tạo dưới đây:

Trong các công thức sau, công thức nào có thể phù hợp với Z?

Trong các công thức sau, công thức nào có thể phù hợp với Z?
A, 

B, 

C, 

D, 

Nhóm C=O hút e mạnh nên H của nhóm CHO linh động gắn gốc CN . Sau khi thủy phân thì CN biến thành nhóm COOH.
Đếm số C của các chất thì công thức (1), (2), (3) có hơn 4C. Công thức (4) khi bỏ nhóm COOH đi đếm số C thì có 4.
⇒ Chọn đáp án: D Đáp án: D
Đếm số C của các chất thì công thức (1), (2), (3) có hơn 4C. Công thức (4) khi bỏ nhóm COOH đi đếm số C thì có 4.
⇒ Chọn đáp án: D Đáp án: D