LEUCINE (Leu)
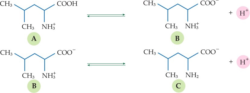
L-leucine hydrochloride, [(CH3)2CHCH2CH(NH3)COOH]+Cl‒, được sử dụng làm chất bổ sung amino acid thiết yếu leucine trong chế độ ăn uống. Nó là một diacid và có quá trình phân li như sau:
Sau khi bị khử proton một lần, leucine hydrochloride tạo thành một dạng có tổng điện tích bằng 0.
Người ta thêm từ từ 50,0 mL dung dịch leucine hydrochloride 0,100 M vào 50,0 mL dung dịch NaOH 0,200 M. Chất chỉ thị Phenolphtalein (đổi màu từ pH = 8,3 đến 10,0) được đã được sử dụng trong quá trình chuẩn độ leucine hydrochloride.
Câu 1 [382622]: Sau khi khử proton một lần thì leucine hydrochloride sẽ tạo thành dạng nào?
A, Dạng A.
B, Dạng B.
C, Dạng C.
D, Dạng B và C.
Sau khi khử proton một lần thì leucine hydrochloride → Leucine hydrochloride phản ứng với tỉ lệ 1:1

Chọn đáp án B
Đáp án: B

Chọn đáp án B
Đáp án: B
Câu 2 [382623]: Sau khi phản ứng chuẩn độ kết thúc, dung dịch có môi trường
A, acid.
B, base.
C, trung tính.
D, không xác định.
Người ta thêm từ từ 50.0 mL dung dịch leucine hydrochloride 0.100 M vào 50.0 ml dung dịch NaOH 0.200 M. Chất chỉ thị Phenolphtalein (đổi màu từ pH = 8.3 đến 10.0)
Tại điểm tương đương dung dịch chuyển sang màu hồng nhạt → tại điểm tương đương dung dịch có môi trường base.

Chọn đáp án B Đáp án: B
Tại điểm tương đương dung dịch chuyển sang màu hồng nhạt → tại điểm tương đương dung dịch có môi trường base.

Chọn đáp án B Đáp án: B
Câu 3 [382624]: Sự thay đổi màu sắc của chất chỉ thị phenolphthalein trong quá trình chuẩn độ như thế nào?
A, không màu chuyển sang màu hồng.
B, màu hồng chuyển sang không màu.
C, không màu chuyển sang màu xanh.
D, màu xanh chuyển sang không màu.
Người ta thêm từ từ 50.0 mL dung dịch leucine hydrochloride 0.100 M vào 50.0 ml dung dịch NaOH 0.200 M. Chất chỉ thị Phenolphtalein (đổi màu từ pH = 8.3 đến 10.0)
Tại điểm tương đương dung dịch chuyển sang màu hồng nhạt.

Chọn đáp án A Đáp án: A
Tại điểm tương đương dung dịch chuyển sang màu hồng nhạt.

Chọn đáp án A Đáp án: A