Câu 1 [635757]: Rút gọn biểu thức
với
với
A, 

B, 

C, 

D, 

Ta có:
Chọn B. Đáp án: B
Chọn B. Đáp án: B
Câu 2 [635758]: Cho biểu thức
với
Khẳng định nào sau đây là đúng?
với
Khẳng định nào sau đây là đúng? A, 

B, 

C, 

D, 

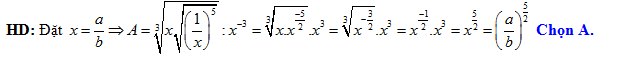
Biến đổi từ trong ra ngoài ta có
Nhận xét: Khi đã quen dần với cách biến đổi này có thể bấm nhanh theo các thao tác sau:
Lấy 3 chia 2
cộng 2
chia 3
cộng 1
chia 4.
Ta có:
Chọn B.
Đáp án: B
Nhận xét: Khi đã quen dần với cách biến đổi này có thể bấm nhanh theo các thao tác sau:
Lấy 3 chia 2
cộng 2
chia 3
cộng 1
chia 4. Ta có:
Chọn B.
Đáp án: B
Câu 3 [50216]: Rút gọn biểu thức
(với
) được kết quả là
(với
) được kết quả là A, 

B, 

C, 

D, 

Đáp án: C
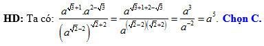
Câu 4 [50158]: Rút gọn biểu thức
A, 

B, 

C, 

D, 

Ta có 

Chọn C. Đáp án: C


Chọn C. Đáp án: C
Câu 5 [50200]: Tính giá trị của biểu thức


Câu 6 [1062993]: Tính giá trị biểu thức
A, 

B,
C,
D,
Đáp án A
Phương pháp:

Cách giải:
Ta có:



Đáp án: A
Phương pháp:

Cách giải:
Ta có:




Đáp án: A
Câu 7 [50239]: Biểu thức
được viết dưới dạng lũy thừa với số mũ hữu tỉ là
được viết dưới dạng lũy thừa với số mũ hữu tỉ là A, 

B, 

C, 

D, 

Đáp án: A
Câu 8 [50215]: Cho biểu thức
, với
Mệnh đề nào dưới đây đúng?
, với
Mệnh đề nào dưới đây đúng? A, 

B, 

C, 

D, 

Ta có 

Chọn D. Đáp án: D


Chọn D. Đáp án: D
Câu 9 [50172]: Cho
là các số thực dương thỏa
Tính
là các số thực dương thỏa
Tính
A, 

B, 

C, 

D, 

Ta có 

Chọn B. Đáp án: B


Chọn B. Đáp án: B
Câu 10 [50266]: Nếu
thì
bằng
thì
bằng A, 54.
B, 45.
C, 27.
D, 81.
Đáp án D
Ta có
Đáp án: D
Ta có

Đáp án: D
Câu 11 [50141]: Cho
là hai số thực khác 0, biết:
. Tỉ số
là:
là hai số thực khác 0, biết:
. Tỉ số
là: A, 

B, 

C, 

D, 

Đáp án D
Ta có :



Đáp án: D
Ta có :




Đáp án: D
Câu 12 [50223]: Cho
Khi đó giá trị biểu thức
là
Khi đó giá trị biểu thức
là A, 27.
B, 23.
C, 10.
D, 25.
4x + 4-x = (2x)2 + (2-x)2 = (2x + 2-x)2 - 2.2x.2-x = 52 - 2 = 23 Đáp án: B
Câu 13 [25748]: Cho phương trình
Tính giá trị của biểu thức
Tính giá trị của biểu thức
A, 

B, 

C, 

D, 

Đáp án: B
Câu 14 [50224]: Nếu
;
là các số thực thì
bằng
;
là các số thực thì
bằng
Ta có 









Câu 15 [50231]: Cho hai số thực dương
và
. Tìm
biết rằng
và
. Tìm
biết rằng
A, 

B, 

C, 

D, 

Ta có 


Chọn D. Đáp án: D



Chọn D. Đáp án: D
Câu 16 [25881]: Nếu
với
và
thì giá trị của biểu thức
bằng
với
và
thì giá trị của biểu thức
bằng
Ta có 




Do đó








Do đó




Câu 17 [25703]: Biết rằng
là các số thực thỏa mãn
. Giá trị của
bằng
là các số thực thỏa mãn
. Giá trị của
bằng
Biến đổi 



Câu 18 [1062994]: Cho
và
là hai số thực thỏa mãn đồng thời hai điều kiện
và
. Tính giá trị của biểu thức
và
là hai số thực thỏa mãn đồng thời hai điều kiện
và
. Tính giá trị của biểu thức
A, 

B, 

C, 

D, 

Ta có




v
Đáp án: D




v
Đáp án: D
Câu 19 [635780]: Cho hàm số
Tính tổng
Tính tổng
A, 

B, 

C, 

D, 

Theo công thức tổng quát ta suy ra
Có
cặp có tổng bằng
và dư
Do đó
Chọn C.
Đáp án: C
Có
cặp có tổng bằng
và dư
Do đó
Chọn C.
Đáp án: C
Câu 20 [635782]: Cho hàm số
Tính giá trị của biểu thức
Tính giá trị của biểu thức
A, 

B, 

C, 

D, 

Ta có
Vậy
Có
cặp
và
và dư
Suy ra
Chọn C.
Đáp án: C
Vậy
Có
cặp
và
và dư
Suy ra
Chọn C.
Đáp án: C
Câu 21 [981671]: Số lượng của loại vi khuẩn A trong một phòng thí nghiệm được tính theo công thức
trong đó
là số lượng vi khuẩn A lúc ban đầu,
là số lượng vi khuẩn A có sau t phút. Biết sau 3 phút thì số lượng vi khuẩn A là 625 nghìn con. Hỏi sau bao lâu, kể từ lúc ban đầu, số lượng vi khuẩn A là 10 triệu con?
trong đó
là số lượng vi khuẩn A lúc ban đầu,
là số lượng vi khuẩn A có sau t phút. Biết sau 3 phút thì số lượng vi khuẩn A là 625 nghìn con. Hỏi sau bao lâu, kể từ lúc ban đầu, số lượng vi khuẩn A là 10 triệu con? A, 48 phút.
B, 19 phút.
C, 7 phút.
D, 12 phút.


Chọn đáp án C. Đáp án: C
Câu 22 [944211]: Áp suất không khí P (đo bằng milimet thủy ngân, kí hiệu mmHg) theo công thức
(mmHg), trong đó
là độ cao (đo bằng mét),
(mmHg) là áp suất không khí ở mức nước biển
k là hệ số suy giảm. Biết rằng ở độ cao 1000 m thì áp suất không khí là 672,71 (mmHg). Tính áp suất của không khí ở độ cao 3000 m.
(mmHg), trong đó
là độ cao (đo bằng mét),
(mmHg) là áp suất không khí ở mức nước biển
k là hệ số suy giảm. Biết rằng ở độ cao 1000 m thì áp suất không khí là 672,71 (mmHg). Tính áp suất của không khí ở độ cao 3000 m. A, 527,06 (mmHg).
B, 530,23 (mmHg).
C, 530,73 (mmHg).
D, 545,01 (mmHg).
Ở độ cao 1000 m ta có: 
Áp suất không khí ở độ cao 3000 m là:
(mmHg). Chọn A. Đáp án: A

Áp suất không khí ở độ cao 3000 m là:
(mmHg). Chọn A. Đáp án: A