Câu 1 [26005]: Nghiệm của phương trình
là
là A, 

B, 

C, 

D, 

Đáp án: D
Câu 2 [57478]: Tổng tất cả các nghiệm của phương trình
bằng
bằng A, 

B, 

C, 

D, 

Đáp án: A
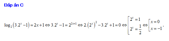
Câu 3 [25942]: Phương trình
có hai nghiệm là
Tính giá trị
có hai nghiệm là
Tính giá trị
A, 

B, 

C, 

D, 

PT 



Chọn đáp án D. Đáp án: D




Chọn đáp án D. Đáp án: D
Câu 4 [57556]: Cho phương trình
. Số nghiệm của phương trình là
. Số nghiệm của phương trình là A, 2.
B, 1.
C, 

D, 0.
Đáp án: A
Câu 5 [57517]: Tìm tổng các nghiệm của phương trình
A, 3.
B, 

C, 0.
D, 

Đáp án: C
Câu 6 [1062744]: Gọi
là 2 nghiệm của phương trình
Tính
là 2 nghiệm của phương trình
Tính
A, 

B, 

C, 

D, 

Chọn D.
Ta có
Đặt
khi đó
Ta có
Đáp án: D
Ta có
Đặt
khi đó
Ta có
Đáp án: D
Câu 7 [57519]: Giải phương trình
ta được nghiệm là
ta được nghiệm là A, 

B, 

C, 

D, 

Đáp án: D
Câu 8 [658657]: Số nghiệm của phương trình
là
là A, 1.
B, 2.
C, 3.
D, 0.
Để ý rằng:
Đặt
Khi đó phương trình trở thành
Với
Vậy phương trình có 1 nghiệm. Chọn A.
Đáp án: A
Đặt
Khi đó phương trình trở thành
Với
Vậy phương trình có 1 nghiệm. Chọn A.
Đáp án: A
Câu 9 [1062745]: Biết rằng phương trình
có hai nghiệm là
Tính tổng
có hai nghiệm là
Tính tổng
A, 2.
B, 4.
C, 

D, 5.
Chọn B.
Ta có
Đặt
khi đó
Ta có
Đáp án: B
Ta có
Đặt
khi đó
Ta có
Đáp án: B
Câu 10 [658654]: Số nghiệm của phương trình
là
là A, 1.
B, 2.
C, 3.
D, 4.
Đặt
thì
Phương trình trở thành
Với điều kiện
suy ra
Vậy phương trình có 2 nghiệm. Chọn B. Đáp án: B
Câu 11 [1062746]: Gọi
là 2 nghiệm của phương trình 
Tính
là 2 nghiệm của phương trình 
Tính
A, 

B, 

C, 

D, 

Chọn D.
Ta có
(do
Đặt
khi đó
Với
suy ra
Đáp án: D
Ta có
(do
Đặt
khi đó
Với
suy ra
Đáp án: D
Câu 12 [57537]: Tổng tất cả các nghiệm của phương trình
bằng
bằng A,
.
.B,
.
.C,
.
.D,
.
.
Đáp án: C
Câu 13 [26014]: Phương trình
có tích 2 nghiệm là:
có tích 2 nghiệm là: A, 

B, 

C, 

D, 

Đáp án: D
Câu 14 [25902]: Tính tổng
tất cả các nghiệm của phương trình
tất cả các nghiệm của phương trình
A, 

B, 

C, 

D, 

Đáp án: A
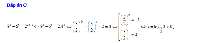
Câu 15 [57483]: Phương trình
có bao nhiêu nghiệm âm?
có bao nhiêu nghiệm âm? A,
.
.B,
.
.C,
.
.D,
.
.
Đáp án: C
Câu 16 [658659]: Tổng tất cả các nghiệm của phương trình
là
là A, 

B, 

C, 

D, 

Chia cả 2 vế của phương trình cho
thì
Mặt khác ta để ý rằng:
Đặt
ta có:
Suy ra
Chọn A.
Đáp án: A
thì
Mặt khác ta để ý rằng:
Đặt
ta có:
Suy ra
Chọn A.
Đáp án: A
Câu 17 [25949]: Tích tất cả các nghiệm thực của phương trình
bằng
bằng A, 

B, 

C, 

D, 

Đáp án: A
Câu 18 [659355]: Phương trình
có số nghiệm là
có số nghiệm là A, 4.
B, 2.
C, 3.
D, 1.
Để ý
Đặt
ta được
Do đó
Chọn A.
Đáp án: A
Đặt
ta được
Do đó
Chọn A.
Đáp án: A
Câu 19 [659351]: Gọi
và
là 2 nghiệm của phương trình
Biết
tính
và
là 2 nghiệm của phương trình
Biết
tính
A, 

B, 

C, 

D, 

Lấy logarit cơ số 5 cả 2 vế ta được:
Vì
nên
Chọn B.
Đáp án: B
Vì
nên
Chọn B.
Đáp án: B
Câu 20 [27447]: Gọi
là hai nghiệm của phương trình
khi đó
bằng
là hai nghiệm của phương trình
khi đó
bằng A,
.
.B,
.
.C,
.
.D,
.
.
Đáp án: A