Câu 1 [57634]: Phương trình
có nghiệm là
có nghiệm là A, 2.
B, 4.
C, 16.
D, 8.
Đáp án: C
Câu 2 [57587]: Số nghiệm của phương trình
là
là A, 2.
B, 0.
C, 1.
D, 3.
Đáp án: C
Câu 3 [57626]: Số nghiệm của phương trình
là
là A, 0.
B, 1.
C, 2.
D, 3.
Đáp án: B
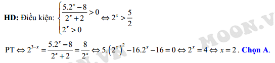
Câu 4 [527813]: Phương trình
có bao nhiêu nghiệm?
có bao nhiêu nghiệm? A, 4.
B, 3.
C, 2.
D, 1.
Chọn C
Điều kiện
(*)
Ta có



Kết hợp điều kiện (*) suy ra phương trình có các nghiệm
Đáp án: C
Điều kiện

(*)
Ta có




Kết hợp điều kiện (*) suy ra phương trình có các nghiệm
Đáp án: C
Câu 5 [975395]: Gọi
là tập nghiệm của phương trình
Số phần tử của tập hợp
là
là tập nghiệm của phương trình
Số phần tử của tập hợp
là A, 1.
B, 2.
C, 3.
D, 0.
Điều kiện
Khi đó phương trình
Kết hợp điều kiện suy ra phương trình đã cho có 1 nghiệm. Chọn A. Đáp án: A
Khi đó phương trình
Kết hợp điều kiện suy ra phương trình đã cho có 1 nghiệm. Chọn A. Đáp án: A
Câu 6 [57588]: Số nghiệm thực của phương trình
là
là A, 2.
B, 0.
C, 1.
D, 3.
Đáp án: B
Câu 7 [25931]: Gọi
là các nghiệm của phương trình
.Khi đó tổng
bằng
là các nghiệm của phương trình
.Khi đó tổng
bằng
Câu 8 [57561]: Tổng tất cả các nghiệm của phương trình
bằng
bằng A,
.
.B,
.
.C,
.
.D,
.
.
Đáp án: C
Câu 9 [57566]: Biết rằng phương trình
có hai nghiệm
và
Hãy tính tổng
có hai nghiệm
và
Hãy tính tổng
Câu 10 [975399]: Phương trình
có nghiệm duy nhất
được biểu diễn dưới dạng
với
là các số nguyên. Tổng
bằng
có nghiệm duy nhất
được biểu diễn dưới dạng
với
là các số nguyên. Tổng
bằng
Điều kiện:
Phương trình đã cho trở thành
Mà
được biểu diễn dưới dạng
suy ra 
Phương trình đã cho trở thành
Mà
được biểu diễn dưới dạng
suy ra 
Câu 11 [975403]: Gọi
là tập nghiệm của phương trình
Tổng các phần tử của tập hợp
bằng
là tập nghiệm của phương trình
Tổng các phần tử của tập hợp
bằng A, 

B, 

C, 

D, 

Điều kiện
Khi đó phương trình
TH1: Với
thì
Kết hợp điều kiện suy ra
TH2: Với
thì
Kết hợp điều kiện suy ra
Vậy
Chọn D.
Đáp án: D
Khi đó phương trình
TH1: Với
thì
Kết hợp điều kiện suy ra
TH2: Với
thì
Kết hợp điều kiện suy ra
Vậy
Chọn D.
Đáp án: D
Câu 12 [1062774]: Phương trình
có hai nghiệm
khi đó
là
có hai nghiệm
khi đó
là A, 

B, 8.
C, 

D, 

Chọn C.
ĐKXĐ:
Xét vé trái của phương trình:
Xét vế phải của phương trình:
Suy ra
Nếu
thì
Nếu
thì
Vậy phương trình có 2 nghiệm là
và
nên
Đáp án: C
ĐKXĐ:
Xét vé trái của phương trình:
Xét vế phải của phương trình:
Suy ra
Nếu
thì
Nếu
thì
Vậy phương trình có 2 nghiệm là
và
nên
Đáp án: C
Câu 13 [57607]: Gọi
là tổng các nghiệm của phương trình
Tính
.
là tổng các nghiệm của phương trình
Tính
. A, 

B, 

C, 

D, 

Đáp án: C
Câu 14 [57618]: Phương trình
có nghiệm là
có nghiệm là A, 

B, 

C, 

D, 

Đáp án: A
Câu 15 [25967]: Phương trình
có hai nghiệm
Vậy
bằng:
có hai nghiệm
Vậy
bằng: A, 8
B, 2.
C, 1/4
D, 33/4
Đáp án: B
Câu 16 [25972]: Tìm tổng tất cả các nghiệm của phương trình
Câu 17 [25892]: Tính tổng các nghiệm của phương trình
Điều kiện: 
Với điều kiện trên,





Vậy tổng các nghiệm của phương trình đã cho là

Với điều kiện trên,






Vậy tổng các nghiệm của phương trình đã cho là
Câu 18 [660052]: Phương trình
có tất cả bao nhiêu nghiệm?
có tất cả bao nhiêu nghiệm? A, 1.
B, 2.
C, 3.
D, 0.
Điều kiện:
Phương trình
Đặt
khi đó
Vậy phương trình đã cho có 2 nghiệm. Chọn B. Đáp án: B
Phương trình
Đặt
khi đó
Vậy phương trình đã cho có 2 nghiệm. Chọn B. Đáp án: B
Câu 19 [57572]: Gọi
là tập nghiệm của phương trình
. Khi đó tổng các phần tử của
bằng
là tập nghiệm của phương trình
. Khi đó tổng các phần tử của
bằng A,
.
.B,
.
.C,
.
.D,
.
.
Đáp án: B
Câu 20 [25944]: Tích tất cả các nghiệm của phương trình
bằng
bằng A, 

B, 

C, 

D, 

Đáp án: C
Câu 21 [57619]: Số nghiệm của phương trình
là
là A, 0.
B, 3.
C, 2.
D, 1.
Đáp án: D
Câu 22 [57596]: Số nghiệm của phương trình
là
là A, 

B, 

C, 

D, 

Đáp án: B
Câu 23 [25963]: Nghiệm của phương trình
là:
là: A, 2.
B, 4 và 

C, 4.
D, 

Đáp án: A
Câu 24 [25912]: Cho phương trình
Khi đặt
ta được phương trình nào dưới đấy?
Khi đặt
ta được phương trình nào dưới đấy? A, 

B, 

C, 

D, 

Đáp án: B
Câu 25 [25960]: Tập nghiệm của phương trình
là
là A, 

B, 

C, 

D, 

Đáp án: B Dựa vào thông tin dưới đây để trả lời các câu từ 26 đến 27
Cho hai số thực dương x, y thỏa mãn log9x = log6y = log4(2x + y).
Câu 26 [739950]: Nếu đặt
thì mệnh đề nào dưới đây là đúng.
thì mệnh đề nào dưới đây là đúng. A, 

B, 

C, 

D, 

Chọn đáp án A.
Suy ra

Đáp án: A
Suy ra


Đáp án: A
Câu 27 [739951]: Giá trị của biểu thức
bằng
bằng A, 

B, 

C, 

D, 

Đặt

Suy ra

Vậy
Chọn B. Đáp án: B

Suy ra

Vậy
Chọn B. Đáp án: B
Câu 28 [25891]: Cho
thỏa mãn
. Tính
.
thỏa mãn
. Tính
. A,
.
.B,
.
.C,
.
.D,
.
.
Ta có: 



Thay
vào
suy ra 



Chọn B. Đáp án: B




Thay

vào
suy ra 



Chọn B. Đáp án: B
Câu 29 [1062775]: Cho các số thực dương
thỏa mãn
Tính tỉ số
thỏa mãn
Tính tỉ số
A, 

B, 

C, 

D, 

Chọn C.
Đặt
Suy ra
và
.
Do đó
(chia cả 2 vế cho
)
Đặt
phương trình trở thành
Vậy
Đáp án: C
Đặt
Suy ra
và
.
Do đó
(chia cả 2 vế cho
)
Đặt
phương trình trở thành
Vậy
Đáp án: C
Câu 30 [25904]: Cho
là các số thực dương thỏa mãn
Tính giá trị
?
là các số thực dương thỏa mãn
Tính giá trị
? A, 

B, 

C, 

D, 

Đáp án: A