Câu 1 [8528]: Cho hình chóp tứ giác
có đáy
là hình vuông cạnh
cạnh bên
vuông góc với mặt phẳng đáy và
Tính thể tích
của khối chóp
có đáy
là hình vuông cạnh
cạnh bên
vuông góc với mặt phẳng đáy và
Tính thể tích
của khối chóp
A, 

B, 

C, 

D, 

Đáp án: D
Câu 2 [8529]: Cho hình chóp
có
vuông góc với mặt phẳng
tam giác
vuông tại
và
Tính thể tích khối chóp
biết
có
vuông góc với mặt phẳng
tam giác
vuông tại
và
Tính thể tích khối chóp
biết
A, 

B, 

C, 

D, 

Đáp án: A
Câu 3 [1063025]: Cho hình chóp
có đáy
là tam giác đều cạnh
, cạnh bên
vuông góc với đáy, đường thẳng
tạo với mặt đáy một góc
Thể tích khối chóp
bằng
có đáy
là tam giác đều cạnh
, cạnh bên
vuông góc với đáy, đường thẳng
tạo với mặt đáy một góc
Thể tích khối chóp
bằng A, 

B, 

C, 

D, 

Chọn B.

Do
vuông góc với đáy
nên
là hình chiếu của
trên
do đó góc giữa
vfa đáy bằng 
Xét tam giác
vuông tại
có
nên

Vậy thể tích khối chóp
là
Đáp án: B

Do
vuông góc với đáy
nên
là hình chiếu của
trên
do đó góc giữa
vfa đáy bằng 
Xét tam giác
vuông tại
có
nên

Vậy thể tích khối chóp
là
Đáp án: B
Câu 4 [8550]: Cho hình chóp
có
vuông góc với mặt phẳng
tam giác
vuông tại
và
Tính thể tích khối chóp
biết góc giữa
và
bằng
có
vuông góc với mặt phẳng
tam giác
vuông tại
và
Tính thể tích khối chóp
biết góc giữa
và
bằng
A, 

B, 

C, 

D, 

Đáp án: A
Câu 5 [8531]: Cho hình chóp
có đáy là tam giác
đều cạnh
Hai mặt phẳng
và
cùng vuông góc với mặt phẳng đáy. Tính thể tích khối chóp
biết
có đáy là tam giác
đều cạnh
Hai mặt phẳng
và
cùng vuông góc với mặt phẳng đáy. Tính thể tích khối chóp
biết
A, 

B, 

C, 

D, 

Chọn đáp án B.

Do
Ta có:
Khi đó

Đáp án: B

Do

Ta có:
Khi đó


Đáp án: B
Câu 6 [324939]: Cho hình chóp
có đáy là tam giác vuông tại
là tam giác đều cạnh
và mặt bên
vuông góc với đáy. Tính thể tích khối chóp
có đáy là tam giác vuông tại
là tam giác đều cạnh
và mặt bên
vuông góc với đáy. Tính thể tích khối chóp
A, 

B, 

C, 

D, 

Đáp án: C
Câu 7 [8555]: Cho hình chóp
có đáy
là hình vuông cạnh
Hai mặt phẳng 
cùng vuông góc với mặt phẳng đáy. Tính thể tích khối chóp
biết
hợp với đáy một góc
với
là trung điểm của
có đáy
là hình vuông cạnh
Hai mặt phẳng 
cùng vuông góc với mặt phẳng đáy. Tính thể tích khối chóp
biết
hợp với đáy một góc
với
là trung điểm của
A, 

B, 

C, 

D, 

Đáp án: A
Câu 8 [324938]: Cho hình chóp
có đáy là hình vuông cạnh
Tam giác
cân tại
và thuộc mặt phẳng vuông góc với đáy. Tính thể tích của khối chóp
có đáy là hình vuông cạnh
Tam giác
cân tại
và thuộc mặt phẳng vuông góc với đáy. Tính thể tích của khối chóp
A, 

B, 

C, 

D, 

Đáp án: A
Câu 9 [324936]: Cho hình chóp
có đáy là tam giác vuông tại
có
Hình chiếu của đỉnh
trên mặt phẳng đáy trùng với trung điểm của cạnh
Biết
tạo với đáy một góc
Thể tích khối chóp
là:
có đáy là tam giác vuông tại
có
Hình chiếu của đỉnh
trên mặt phẳng đáy trùng với trung điểm của cạnh
Biết
tạo với đáy một góc
Thể tích khối chóp
là: A, 

B, 

C, 

D, 

Đáp án: D
Câu 10 [324934]: Cho hình chóp
có đáy là hình vuông cạnh
hình chiếu vuông góc của
lên mặt phẳng
trùng với trung điểm của cạnh
cạnh bên
hợp với đáy một góc
Tính theo
thể tích
của khối chóp
có đáy là hình vuông cạnh
hình chiếu vuông góc của
lên mặt phẳng
trùng với trung điểm của cạnh
cạnh bên
hợp với đáy một góc
Tính theo
thể tích
của khối chóp
A, 

B, 

C, 

D, 

Đáp án: B
Câu 11 [324932]: [Đề thi THPT QG năm 2017-Mã 102] Cho khối chóp
có đáy là hình chữ nhật,
vuông góc với đáy và mặt phẳng
tạo với đáy một góc
Tính thể tích
của khối chóp
có đáy là hình chữ nhật,
vuông góc với đáy và mặt phẳng
tạo với đáy một góc
Tính thể tích
của khối chóp
A, 

B, 

C, 

D, 

Đáp án: C
Câu 12 [324931]: Cho hình chóp
có đáy
là tam giác vuông cân tại
hai mặt phẳng
và
cùng vuông góc với mặt phẳng
Biết góc giữa hai mặt phẳng
và
bằng
Tính thể tích khối chóp
có đáy
là tam giác vuông cân tại
hai mặt phẳng
và
cùng vuông góc với mặt phẳng
Biết góc giữa hai mặt phẳng
và
bằng
Tính thể tích khối chóp
A, 

B, 

C, 

D, 

Đáp án: B
Câu 13 [324935]: Cho hình chóp
có đáy là tam giác đều cạnh
Biết mặt phẳng
tạo với đáy một góc
Thể tích khối chóp
là
có đáy là tam giác đều cạnh
Biết mặt phẳng
tạo với đáy một góc
Thể tích khối chóp
là A, 

B, 

C, 

D, 

Đáp án: B
Câu 14 [324940]: Cho hình chóp
có đáy là tam giác ABC vuông tại
có
. Tam giác
cân tại S và thuộc mặt phẳng vuông góc với đáy, mặt phẳng
tạo với đáy một góc
. Thể tích khối chóp
là:
có đáy là tam giác ABC vuông tại
có
. Tam giác
cân tại S và thuộc mặt phẳng vuông góc với đáy, mặt phẳng
tạo với đáy một góc
. Thể tích khối chóp
là: A, 

B, 

C, 

D, 

Đáp án: B
Câu 15 [324941]: Cho hình chóp
có đáy là tam giác
đều cạnh
Hình chiếu vuông góc
của đỉnh
trên mặt đáy nằm trên cạnh
sao cho
Mặt phẳng
tạo với đáy một góc
Thể tích khối chóp
là
có đáy là tam giác
đều cạnh
Hình chiếu vuông góc
của đỉnh
trên mặt đáy nằm trên cạnh
sao cho
Mặt phẳng
tạo với đáy một góc
Thể tích khối chóp
là A, 

B, 

C, 

D, 

Đáp án: A
Câu 16 [1063026]: Cho hình chóp
có đáy
là hình vuông cạnh
, tam giác
cân tại
và nằm trong mặt phẳng vuông góc với mặt đáy. Góc giữa hai mặt phẳng
và
bằng
Tính thể tích
của khối chóp
có đáy
là hình vuông cạnh
, tam giác
cân tại
và nằm trong mặt phẳng vuông góc với mặt đáy. Góc giữa hai mặt phẳng
và
bằng
Tính thể tích
của khối chóp
A, 

B, 

C, 

D, 

Chọn B.
Gọi
và
lần lượt là trung điểm của
Do tam giác
cân tại
nên
Mặt khác
nằm trong mặt phẳng vuông góc với
nên
suy ra
Xét hình vuông
có
và
lần lượt là trung điểm của
suy ra
và
Xét mặt phẳng
có
và
nên
Lại có hai mặt phẳng
và
có giao tuyến
có
và
nên góc giữa hai mặt phẳng
và
bằng góc giữa hai đường thẳng
và
và bằng
Xét tam giác
vuông tại
nên
Vậy thể tích khối chóp
là
Đáp án: B
Gọi
và
lần lượt là trung điểm của
Do tam giác
cân tại
nên
Mặt khác
nằm trong mặt phẳng vuông góc với
nên
suy ra
Xét hình vuông
có
và
lần lượt là trung điểm của
suy ra
và
Xét mặt phẳng
có
và
nên
Lại có hai mặt phẳng
và
có giao tuyến
có
và
nên góc giữa hai mặt phẳng
và
bằng góc giữa hai đường thẳng
và
và bằng
Xét tam giác
vuông tại
nên
Vậy thể tích khối chóp
là
Đáp án: B
Câu 17 [8542]: Cho hình chóp
với
đôi một vuông góc và độ dài các cạnh
Thể tích hình chóp
bằng
với
đôi một vuông góc và độ dài các cạnh
Thể tích hình chóp
bằng A, 

B, 

C, 

D, 

Đáp án: C
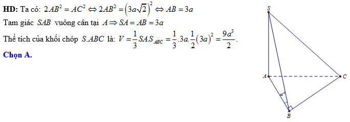
Câu 18 [8544]: Cho hình chóp
có đáy
là tam giác vuông cân tại
với cạnh
Tam giác
đều và nằm trong mặt phẳng vuông góc với mặt đáy. Thể tích khối chóp
bằng
có đáy
là tam giác vuông cân tại
với cạnh
Tam giác
đều và nằm trong mặt phẳng vuông góc với mặt đáy. Thể tích khối chóp
bằng A, 

B, 

C, 

D, 

Đáp án: C
Câu 19 [8545]: Cho hình chóp
có đáy
là tam giác đều cạnh
Mặt bên
là tam giác vuông cân tại
và nằm trong mặt phẳng vuông góc với mặt phẳng đáy. Thể tích khối chóp
bằng
có đáy
là tam giác đều cạnh
Mặt bên
là tam giác vuông cân tại
và nằm trong mặt phẳng vuông góc với mặt phẳng đáy. Thể tích khối chóp
bằng A, 

B, 

C, 

D, 

Đáp án: C
Câu 20 [8546]: Cho hình chóp
có đáy ABCD là hình vuông cạnh
Tam giác
cân tại
và nằm trong mặt phẳng vuông góc với mặt đáy. Thể tích khối chóp
bằng
Tính độ dài cạnh
có đáy ABCD là hình vuông cạnh
Tam giác
cân tại
và nằm trong mặt phẳng vuông góc với mặt đáy. Thể tích khối chóp
bằng
Tính độ dài cạnh
A, 

B, 

C, 

D, 

Đáp án: B
Câu 21 [8533]: Cho hình chóp
có đáy là hình chữ nhật,
Gọi
là trung điểm của
biết
vuông góc với mặt phẳng đáy. Tính thể tích khối chóp
biết
có đáy là hình chữ nhật,
Gọi
là trung điểm của
biết
vuông góc với mặt phẳng đáy. Tính thể tích khối chóp
biết
A, 

B, 

C, 

D, 

Đáp án: C
Câu 22 [8538]: Cho hình chóp
có đáy
là hình vuông cạnh
Hình chiếu
lên
là trung điểm
của cạnh
Tính thể tích của khối chóp biết
có đáy
là hình vuông cạnh
Hình chiếu
lên
là trung điểm
của cạnh
Tính thể tích của khối chóp biết
A, 

B, 

C, 

D, 


Gọi
là trung điểm của
ta có 
Mà

vuông tại 


Ta có


Chọn đáp án B. Đáp án: B
Câu 23 [8557]: Cho khối chóp
đáy
là hình chữ nhật,
Gọi
là trung điểm của
và
vuông góc với đáy. Tính thể tích khối chóp
biết
hợp với đáy một góc
đáy
là hình chữ nhật,
Gọi
là trung điểm của
và
vuông góc với đáy. Tính thể tích khối chóp
biết
hợp với đáy một góc
A, 

B, 

C, 

D, 

Đáp án: B
Câu 24 [8558]: Cho hình chóp
có tam giác
đều cạnh
tam giác
cân tại
Hình chiếu của
trên
là trung điểm của cạnh
góc hợp bởi cạnh
và mặt đáy là
Tính thể tích khối chóp
theo
có tam giác
đều cạnh
tam giác
cân tại
Hình chiếu của
trên
là trung điểm của cạnh
góc hợp bởi cạnh
và mặt đáy là
Tính thể tích khối chóp
theo
A, 

B, 

C, 

D, 


Gọi trung điểm của
là 
Xét
đều có
là đường cao 
Suy ra

Xét
ta có
Thể tích khối chóp

Chọn đáp án D. Đáp án: D
Câu 25 [8564]: Cho hình chóp
có đáy
là hình chữ nhật với
và
Mặt bên
là tam giác cân tại
và nằm trong mặt phẳng vuông góc với mặt đáy. Đường thẳng
tạo với mặt đáy một góc bằng
Tính thể tích khối chóp
có đáy
là hình chữ nhật với
và
Mặt bên
là tam giác cân tại
và nằm trong mặt phẳng vuông góc với mặt đáy. Đường thẳng
tạo với mặt đáy một góc bằng
Tính thể tích khối chóp
A, 

B, 

C, 

D, 

Đáp án: A
Câu 26 [8565]: Cho hình chóp
có đáy
là hình vuông cạnh
Tam giác
cân tại
và nằm trong mặt phẳng vuông góc với mặt đáy. Đường thẳng
tạo với mặt đáy một góc
Thể tích khối chóp
bằng
có đáy
là hình vuông cạnh
Tam giác
cân tại
và nằm trong mặt phẳng vuông góc với mặt đáy. Đường thẳng
tạo với mặt đáy một góc
Thể tích khối chóp
bằng A, . 

B, 

C, 

D, 

Đáp án: B
Câu 27 [7934]: Cho hình chóp
có đáy
là hình chữ nhật, mặt bên
là tam giác đều cạnh
và nằm trong mặt phẳng vuông góc với mặt phẳng đáy. Tính thể tích khối chóp
biết rằng mặt phẳng
tạo với mặt phẳng đáy một góc
có đáy
là hình chữ nhật, mặt bên
là tam giác đều cạnh
và nằm trong mặt phẳng vuông góc với mặt phẳng đáy. Tính thể tích khối chóp
biết rằng mặt phẳng
tạo với mặt phẳng đáy một góc
A, 

B, 

C, 

D, 

Đáp án: D
Câu 28 [7962]: Cho hình chóp
có đáy là tam giác vuông cân tại
và
vuông góc với
. Biết
và góc giữa mặt phẳng
và
bằng
Tính thể tích
của khối chóp
có đáy là tam giác vuông cân tại
và
vuông góc với
. Biết
và góc giữa mặt phẳng
và
bằng
Tính thể tích
của khối chóp
A, 

B, 

C, 

D, 

Đáp án: A
Câu 29 [7926]: Hình chóp tam giác
có đáy là tam giác đều
. Góc giữa
và
bằng
Thể tích khối chóp
bằng
có đáy là tam giác đều
. Góc giữa
và
bằng
Thể tích khối chóp
bằng A, 

B, 

C, 

D, 

Đáp án: A
Câu 30 [8567]: Cho hình chóp
có đáy ABC là tam giác vuông tại
hình chiếu vuông góc của
lên mặt phẳng
là trung điểm H của BC, mặt phẳng
tạo với mặt đáy một góc bằng
Thể tích khối chóp S.ABC bằng
có đáy ABC là tam giác vuông tại
hình chiếu vuông góc của
lên mặt phẳng
là trung điểm H của BC, mặt phẳng
tạo với mặt đáy một góc bằng
Thể tích khối chóp S.ABC bằng A, 

B, 

C, 

D, 

Đáp án: B Dựa vào thông tin dưới đây để trả lời các câu từ 31 đến 33

Câu 31 [1063027]: Chu vi tam giác
là
là A, 

B, 

C, 

D, 

Chọn D.
Do tứ diện
có
đôi một vuông góc với nhau nên các tam giác
lần lượt vuông góc tại
Khi đó:
+)
+)
Vậy chu vi tam giác
là
Đáp án: D
Do tứ diện
có
đôi một vuông góc với nhau nên các tam giác
lần lượt vuông góc tại
Khi đó:
+)
+)
Vậy chu vi tam giác
là
Đáp án: D
Câu 32 [1063028]: Góc giữa hai mặt phẳng
và
là
và
là A, 

B, 

C, 

D, 

Chọn A.
Gọi
là trung điểm
Lại có tam giác
và
lần lượt cân tại
và
nên
và
suy ra góc giữa hai mặt phẳng
và
bằng góc giữa
và
và bằng
Xét tam giác
vuông tại
có
và
suy ra
Đáp án: A
Gọi
là trung điểm
Lại có tam giác
và
lần lượt cân tại
và
nên
và
suy ra góc giữa hai mặt phẳng
và
bằng góc giữa
và
và bằng
Xét tam giác
vuông tại
có
và
suy ra
Đáp án: A
Câu 33 [1063029]: Gọi
là hình chiếu vuông góc của
lên
Tính thể tích khối chóp
là hình chiếu vuông góc của
lên
Tính thể tích khối chóp
A, 

B, 

C, 

D, 

Chọn A.
Kẻ
tại
Xét mặt phẳng
có
và
nên
Suy ra
Mặt khác có tam giác
cân tại
nên
là trung điểm của
Do đó
Có
là tứ diện vuông nên
Đáp án: A
Kẻ
tại
Xét mặt phẳng
có
và
nên
Suy ra
Mặt khác có tam giác
cân tại
nên
là trung điểm của
Do đó
Có
là tứ diện vuông nên
Đáp án: A