Câu 1 [7745]: Cho hình chóp tứ giác
có đáy là hình vuông cạnh bằng
vuông góc với mặt phẳng
. Biết góc giữa
và mặt phẳng
bằng
. Tính khoảng cách
từ điểm
đến mặt phẳng
.
có đáy là hình vuông cạnh bằng
vuông góc với mặt phẳng
. Biết góc giữa
và mặt phẳng
bằng
. Tính khoảng cách
từ điểm
đến mặt phẳng
. A,
.
.B,
.
.C,
.
.D,
.
.
Đáp án: D
Câu 2 [325101]: Cho hình chóp S.ABC có đáy là tam giác ABC đều cạnh
Hình chiếu vuông góc
của đỉnh
trên mặt đáy nằm trên cạnh
sao cho
Biết
tính khoảng cách từ
đến mặt phẳng
Hình chiếu vuông góc
của đỉnh
trên mặt đáy nằm trên cạnh
sao cho
Biết
tính khoảng cách từ
đến mặt phẳng
A, 

B, 

C, 

D, 


Dựng
, mặt khác 
Dựng

vuông tại
có góc
(do
đều) nên
.Hoặc ta có:
.
vuông tại 

.Mặt khác
.Cách 2: Áp dụng công thức tính nhanh với


ta có:
. Chọn đáp án D. Đáp án: D
Câu 3 [325104]: Cho hình chóp
có đáy là hình vuông cạnh
mặt bên
là tam giác đều và nằm trong mặt phẳng vuông góc với đáy. Tính khoảng cách từ
đến mặt phẳng
có đáy là hình vuông cạnh
mặt bên
là tam giác đều và nằm trong mặt phẳng vuông góc với đáy. Tính khoảng cách từ
đến mặt phẳng
A, 

B, 

C, 

D, 

Chọn đáp án B.
Gọi
là trung điểm của
Do
đều cạnh
.
Do
Dựng
Lại có:
.
Đáp án: B
Gọi
là trung điểm của
Do
đều cạnh
.
Do
Dựng
Lại có:
.
Đáp án: B
Câu 4 [280803]: Cho hình chóp đều
có chiều cao
(tham khảo hình bên). Tính khoảng cách từ điểm
đến mặt phẳng
.
có chiều cao
(tham khảo hình bên). Tính khoảng cách từ điểm
đến mặt phẳng
.A,
.
.B,
.
.C,
.
.D,
.
.- Gọi
,
là trung điểm
. Trong
, kẻ
.Có


.Mà
nên
.- Vì O là trung điểm BD nên


.Có
,
. Đáp án: C
Câu 5 [325106]: [Đề thi minh họa năm 2017]: Cho hình chóp tứ giác
, đáy là hình vuông cạnh bằng
. Tam giác
cân tại
và nằm trong mặt phẳng vuông góc với đáy. Biết thể tích khối chóp
bằng
. Tính khoảng cách
từ điểm
đến mặt phẳng
.
, đáy là hình vuông cạnh bằng
. Tam giác
cân tại
và nằm trong mặt phẳng vuông góc với đáy. Biết thể tích khối chóp
bằng
. Tính khoảng cách
từ điểm
đến mặt phẳng
. A,
.
.B,
.
.C,
.
.D,
.
.
Chuẩn hóa
.Gọi
là trung điểm của 
Do

Ta có:


Do


Mặt khác:


. Do
, dựng
.Ta có:
. Cách 2: Với

.
Chọn đáp án B. Đáp án: B
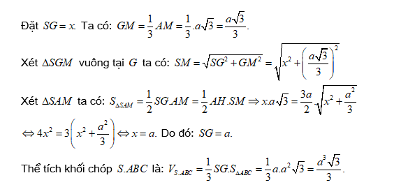
Câu 6 [325102]: Cho tam giác đều
có cạnh bằng
. Điểm
thuộc cạnh
với
. Dựng đoạn thẳng
vuông góc với mặt phẳng
với
. Khoảng cách từ điểm
đến mặt phẳng
bằng:
có cạnh bằng
. Điểm
thuộc cạnh
với
. Dựng đoạn thẳng
vuông góc với mặt phẳng
với
. Khoảng cách từ điểm
đến mặt phẳng
bằng: A, 

B, 

C, 

D, 


Dựng


Tam giác
đều nên
, Xét
vuông tại
có góc
nên
Suy ra
. Lại có:

. Cách 2: Áp dụng công thức tính nhanh với

ta có:
. Chọn đáp án B. Đáp án: B
Câu 7 [325108]: Cho hình chóp tam giác đều
có đáy là tam giác đều cạnh
Cạnh bên tạo với đáy góc
Tính khoảng cách
từ
đến mặt phẳng
có đáy là tam giác đều cạnh
Cạnh bên tạo với đáy góc
Tính khoảng cách
từ
đến mặt phẳng
A, 

B, 

C, 

D, 

Chọn đáp án C.
Gọi
là trọng tâm tam giác
.
Gọi
là trung điểm của
Mà
.
Dựng
.
Do đó
.
Do
Ta có:
Mà
Đáp án: C
Gọi
là trọng tâm tam giác
.
Gọi
là trung điểm của
Mà
.
Dựng
.
Do đó
.
Do
Ta có:
Mà
Đáp án: C
Câu 8 [325107]: Cho hình chóp
có đáy là hình vuông cạnh
điểm
thuộc cạnh
sao cho
và
biết
Tính khoảng cách từ
đến mặt phẳng
có đáy là hình vuông cạnh
điểm
thuộc cạnh
sao cho
và
biết
Tính khoảng cách từ
đến mặt phẳng
A, 

B, 

C, 

D, 


Gọi
tâm hình vuông
sao cho
và 
Ta có


Ta có

mà 

Ta có
(Thales) 
Xét
có 



Chọn đáp án A. Đáp án: A
Câu 9 [7750]: Cho khối chóp
có đáy
là tam giác vuông tại
Tam giác
đều và nằm trong mặt phẳng vuông góc với đáy. Tính khoảng cách
từ
đến mặt phẳng
.
có đáy
là tam giác vuông tại
Tam giác
đều và nằm trong mặt phẳng vuông góc với đáy. Tính khoảng cách
từ
đến mặt phẳng
. A, 

B, 

C, 

D, 

Chọn đáp án A.
Gọi
lần lượt là trung điểm
Ta có
tại
Vẽ
tại K , ta có
Đáp án: A
Gọi
lần lượt là trung điểm
Ta có
tại
Vẽ
tại K , ta có
Đáp án: A
Câu 10 [7757]: Cho hình chóp tứ giác đều
có cạnh đáy bằng
, góc giữa mặt bên và mặt đáy bằng
. Tính khoảng cách từ
đến mặt phẳng
.
có cạnh đáy bằng
, góc giữa mặt bên và mặt đáy bằng
. Tính khoảng cách từ
đến mặt phẳng
. A, 

B, 

C, 

D, 

Đáp án: B
Câu 11 [7761]: Cho hình chóp đều
có
, khoảng cách từ
đến mp
là
. Tính thể tích hình chóp
.
có
, khoảng cách từ
đến mp
là
. Tính thể tích hình chóp
. A,
.
.B,
.
.C,
.
.D,
.
.
Đáp án: D
Câu 12 [7785]: Cho hình chóp tứ giác đều
có cạnh bên là
và diện tích đáy là
Khoảng cách từ
đến mặt phẳng
là
có cạnh bên là
và diện tích đáy là
Khoảng cách từ
đến mặt phẳng
là A, 

B, 

C, 

D, 

Đáp án: C
Câu 13 [7786]: Cho hình chóp tứ giác đều
có cạnh đáy bằng
và thể tích khối chóp là
Tính theo
khoảng cách từ
đến mặt phẳng
có cạnh đáy bằng
và thể tích khối chóp là
Tính theo
khoảng cách từ
đến mặt phẳng
A, 

B, 

C, 

D, 

Đáp án: A
Câu 14 [46021]: Cho hình chóp
có đáy là hình vuông cạnh
, mặt bên
là tam giác đều và nằm trong mặt phẳng vuông góc với mặt phẳng đáy (minh họa như hình vẽ bên). Khoảng cách từ
đến mặt phẳng
bằng
có đáy là hình vuông cạnh
, mặt bên
là tam giác đều và nằm trong mặt phẳng vuông góc với mặt phẳng đáy (minh họa như hình vẽ bên). Khoảng cách từ
đến mặt phẳng
bằng
A, 

B, 

C, 

D, 


Ta có

Kẻ
và 

Kẻ


Gọi
tại 
Ta có

Cạnh
Cạnh 
Từ
Chọn B.
Đáp án: B
Câu 15 [7749]: Cho hình chóp
có đáy là hình vuông; mặt bên
là tam giác đều và nằm trong mặt phẳng vuông góc với đáy;
. Tính khoảng cách
từ điểm
đến mặt phẳng
.
có đáy là hình vuông; mặt bên
là tam giác đều và nằm trong mặt phẳng vuông góc với đáy;
. Tính khoảng cách
từ điểm
đến mặt phẳng
. A, 

B, 

C, 

D, 

Đáp án: A
Câu 16 [7764]: Cho hình chóp tứ giác đều
có cạnh đáy bằng
và chiều cao bằng
. Khoảng cách từ
đến mặt phẳng
bằng
có cạnh đáy bằng
và chiều cao bằng
. Khoảng cách từ
đến mặt phẳng
bằng A, 

B, 

C, 

D, 

Đáp án: C
Câu 17 [7803]: Cho hình chóp
có đáy
là hình vuông cạnh
. Tam giác
đều và nằm trong mặt phẳng vuông góc với đáy. Tính khoảng cách từ điểm
đến mặt phẳng
.
có đáy
là hình vuông cạnh
. Tam giác
đều và nằm trong mặt phẳng vuông góc với đáy. Tính khoảng cách từ điểm
đến mặt phẳng
. A, 

B, 

C, 

D, 

Đáp án: B
Câu 18 [325105]: [Đề thi minh họa năm 2019] Cho hình chóp
có đáy là hình thoi cạnh
và
vuông góc với mặt phẳng đáy. Khoảng cách từ
đến mặt phẳng
bằng
có đáy là hình thoi cạnh
và
vuông góc với mặt phẳng đáy. Khoảng cách từ
đến mặt phẳng
bằng A, 

B, 

C, 

D, 

Chọn đáp án A.
Tam giác
cân tại 
có
đều cạnh
.
Có
Dựng
.
Do
Xét
vuông tại
.
Ta có:
.
Nhận xét: Vì góc
là góc tù nên điểm
nằm bên ngoài đoạn
.
Đáp án: A
Tam giác
cân tại 
có
đều cạnh
.
Có
Dựng
.
Do
Xét
vuông tại
.
Ta có:
. Nhận xét: Vì góc
là góc tù nên điểm
nằm bên ngoài đoạn
.
Đáp án: A
Câu 19 [677934]: Cho hình lăng trụ đứng
có tất cả các cạnh bằng
. Gọi
là trung điểm của
(tham khảo hình bên). Khoảng cách từ
đến mặt phẳng
bằng

có tất cả các cạnh bằng
. Gọi
là trung điểm của
(tham khảo hình bên). Khoảng cách từ
đến mặt phẳng
bằng
A,
.
.B,
.
.C,
.
.D,
.
.
Chọn A.

, suy ra 
.
Ta có

.
Lại có
,
, 
.
Suy ra

.
Vậy

. Đáp án: A

, suy ra 
.Ta có


. Lại có
,
, 
.Suy ra


. Vậy


. Đáp án: A
Câu 20 [309935]: Cho hình chóp đều
có đáy
là hình vuông tâm
cạnh
cạnh bên tạo với đáy một góc
Gọi
là điểm thuộc cạnh
sao cho
(tham khảo hình vẽ). Tính khoảng cách từ
đến mặt phẳng 
có đáy
là hình vuông tâm
cạnh
cạnh bên tạo với đáy một góc
Gọi
là điểm thuộc cạnh
sao cho
(tham khảo hình vẽ). Tính khoảng cách từ
đến mặt phẳng 
A, 

B, 

C, 

D, 

Chọn đáp án D.
Ta có:
Áp dụng công thức nhanh
ta có:
.
Đáp án: D
Ta có:
Áp dụng công thức nhanh
ta có:
.
Đáp án: D