Dựa vào thông tin dưới đây để trả lời các câu từ 1 đến 2
Cho hàm số f(x) = x4 - 2x2 - 1 có đồ thị (C).
Câu 1 [1063352]: Hàm số
nghịch biến trên khoảng nào sau đây?
nghịch biến trên khoảng nào sau đây? A, 

B, 

C, 

D, 

1. Phương pháp: Hàm số nghịch biến trên các khoảng mà đạo hàm
mang dấu âm
2. Cách giải: Ta có đạo hàm
Xét bất phương trình
Lập trục xét dấu, ta thấy đạo hàm âm trên các khoảng
và
Vậy hàm số nghịch biến trên khoảng
và
nên hàm số cũng nghịch biến trên khoảng
3. Kết luận: Chọn đáp án A. Đáp án: A
mang dấu âm
2. Cách giải: Ta có đạo hàm
Xét bất phương trình
Lập trục xét dấu, ta thấy đạo hàm âm trên các khoảng
và
Vậy hàm số nghịch biến trên khoảng
và
nên hàm số cũng nghịch biến trên khoảng
3. Kết luận: Chọn đáp án A. Đáp án: A
Câu 2 [709387]: Cho hàm số
có đồ thị
Gọi
là hai tiếp tuyến của đồ thị
tại các điểm cực trị của nó. Khoảng cách giữa hai đường thẳng
và
bằng
có đồ thị
Gọi
là hai tiếp tuyến của đồ thị
tại các điểm cực trị của nó. Khoảng cách giữa hai đường thẳng
và
bằng A, 

B, 

C, 

D, 

Ta có đồ thị hàm số
như hình sau:
Do đó tiếp tuyến tại các điểm cực trị lần lượt là
Vậy khoảng cách giữa hai đường thẳng này là
Chọn đáp án C. Đáp án: C
Dựa vào thông tin dưới đây để trả lời các câu từ 3 đến 5

Câu 3 [1063353]: Hàm số
đồng biến trên khoảng nào sau đây?
đồng biến trên khoảng nào sau đây? A, 

B, 

C, 

D, 

1. Phương pháp: Tính đạo hàm
tìm các khoảng mà đạo hàm nhận giá trị dương (
) để kết luận hàm số đồng biến.
2. Cách giải: Tập xác định
Ta có đạo hàm:
Ta có


Ta có bảng biến thiên:
Dựa vào bảng biến thiên, ta thấy hàm số đồng biến trên
3. Kết luận: Chọn đáp án A.
tìm các khoảng mà đạo hàm nhận giá trị dương (
) để kết luận hàm số đồng biến.
2. Cách giải: Tập xác định
Ta có đạo hàm:
Ta có


Ta có bảng biến thiên:
Dựa vào bảng biến thiên, ta thấy hàm số đồng biến trên
3. Kết luận: Chọn đáp án A.
Câu 4 [1063354]: Diện tích của tam giác
(với
là gốc toạ độ) bằng
(với
là gốc toạ độ) bằng A, 

B, 

C, 

D, 

Gợi ý: Diện tích tam giác
với
là
Ta có bảng biến thiên:
Dựa vào bảng biến thiên ta suy ra hai điểm cực trị là
và
Ta có diện tích tam giác
là:
Chọn đáp án C. Đáp án: C
với
là
Ta có bảng biến thiên:
Dựa vào bảng biến thiên ta suy ra hai điểm cực trị là
và
Ta có diện tích tam giác
là:
Chọn đáp án C. Đáp án: C
Câu 5 [1063355]: Khoảng cách từ điểm
đến đường thẳng
bằng
đến đường thẳng
bằng A, 

B, 

C, 

D, 

1. Phương pháp: Viết phương trình đường thẳng qua 2 cực trị bằng công thức nhanh
sau đó dùng công thức khoảng cách từ điểm đến đường thẳng.
2. Cách giải: Phương trình đường thẳng đi qua hai điểm cực trị
của hàm số
là: 


Giả sử điểm
có tọa độ
khoảng cách từ
đến đường thẳng
là: 
sau đó dùng công thức khoảng cách từ điểm đến đường thẳng.
2. Cách giải: Phương trình đường thẳng đi qua hai điểm cực trị
của hàm số
là: 


Giả sử điểm
có tọa độ
khoảng cách từ
đến đường thẳng
là: 
Câu 6 [509244]: [Đề thi tham khảo BGD-ĐT năm 2020]: Có bao nhiêu giá trị nguyên của tham số
để hàm số
đồng biến trên
để hàm số
đồng biến trên
A, 5
B, 4
C, 3
D, 2
Chọn đáp án A.
Ta có:
.
Để hàm số đã cho đồng biến trên
khi và chỉ khi

Vậy có 5 giá trị nguyên của m thỏa mãn yêu cầu bài toán. Đáp án: A
Ta có:
.Để hàm số đã cho đồng biến trên
khi và chỉ khi

Vậy có 5 giá trị nguyên của m thỏa mãn yêu cầu bài toán. Đáp án: A
Dựa vào thông tin dưới đây để trả lời các câu từ 7 đến 8
Cho hàm số f(x) = - x3 + 3(m + 1)x2 + (9m + 15)x + 1, với m là tham số.
Câu 7 [1005636]: Với
thì hàm số có bao nhiêu điểm cực trị?
thì hàm số có bao nhiêu điểm cực trị? A, 

B, 

C, 

D, 

Phương pháp: Tìm số nghiệm bội lẻ của phương trình
để tìm số điểm cực trị.
Cách giải:

Với

Xét

Không phải điểm cực trị.
Kết luận: Vậy hàm số không có điểm cực trị.
Chọn đáp án A.
Đáp án: A
để tìm số điểm cực trị.Cách giải:

Với


Xét


Không phải điểm cực trị.Kết luận: Vậy hàm số không có điểm cực trị.
Chọn đáp án A.
Đáp án: A
Câu 8 [1005637]: Gọi
là tập hợp các giá trị nguyên của để hàm số nghịch biến trên Khi đó tổng các phần tử của
bằng
là tập hợp các giá trị nguyên của để hàm số nghịch biến trên Khi đó tổng các phần tử của
bằng A, 

B, 

C, 

D, 

Phương pháp: Hàm số
nghịch biến trên 

Cách giải:


Hàm số nghịch biến trên






mà 


Kết luận: Vậy tổng các phần tử của
là: 
Chọn đáp án B. Đáp án: B
nghịch biến trên 

Cách giải:


Hàm số nghịch biến trên







mà 


Kết luận: Vậy tổng các phần tử của
là: 
Chọn đáp án B. Đáp án: B
Câu 9 [509246]: Hỏi có bao nhiêu số nguyên m để hàm số
nghịch biến trên khoảng
?
nghịch biến trên khoảng
? A, 2.
B, 1.
C, 0.
D, 3.
Với
hàm số nghịch biến trên
Với
không thỏa mãn nghịch biến trên
Với
nghịch biến trên


Kết hợp YCBT suy ra
Chọn đáp án A. Đáp án: A
hàm số nghịch biến trên
Với

không thỏa mãn nghịch biến trên
Với

nghịch biến trên


Kết hợp YCBT suy ra
Chọn đáp án A. Đáp án: A
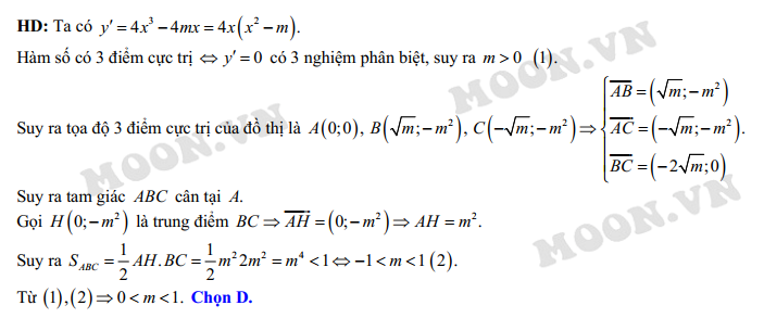
Câu 10 [1015113]: Cho hàm số
Hàm số
có hai điểm cực trị khi và chỉ khi tham số
thoả mãn
Hàm số
có hai điểm cực trị khi và chỉ khi tham số
thoả mãn A, 

B,
hoặc 
hoặc 
C,
hoặc 
hoặc 
D, 

1. Phương pháp: Hàm số bậc ba có hai điểm cực trị khi và chỉ khi phương trình đạo hàm
có hai nghiệm phân biệt 
2. Cách giải: Ta có đạo hàm:
Để hàm số có hai điểm cực trị thì phương trình
phải có hai nghiệm phân biệt.



3. Kết luận: Chọn đáp án C. Đáp án: C
có hai nghiệm phân biệt 
2. Cách giải: Ta có đạo hàm:

Để hàm số có hai điểm cực trị thì phương trình
phải có hai nghiệm phân biệt.



3. Kết luận: Chọn đáp án C. Đáp án: C
Câu 11 [15699]: Tìm tham số
để hàm số
đạt cực tiểu tại
.
để hàm số
đạt cực tiểu tại
. A, 

B, 

C, 

D, 

Ta có
Hàm số đạt cực tiểu tại


Đáp án: A
Hàm số đạt cực tiểu tại



Đáp án: A
Câu 12 [791249]: Tìm giá trị thực của tham số
để hàm số
đạt cực đại tại
để hàm số
đạt cực đại tại
A,
.
.B,
.
.C,
.
.D,
.
.
Đáp án C
Ta có
.
Điều kiện hàm đạt cực đại là
. Đáp án: C
Ta có

.
Điều kiện hàm đạt cực đại là

. Đáp án: C
Câu 13 [1063356]: Cho hàm số
đạt cực tiểu tại điểm
Khi giá trị cực đại của hàm số
là
thì giá trị của
bằng
đạt cực tiểu tại điểm
Khi giá trị cực đại của hàm số
là
thì giá trị của
bằng A, 

B, 

C, 

D, 

1. Phương pháp: Dùng điều kiện
để tìm
, sau đó xác định điểm cực đại của hàm số và giải phương trình
để tìm 
2. Cách giải: Ta có đạo hàm
Vì hàm số đạt cực tiểu tại
nên 


Khi
, ta có
Giải

Ta có bảng biến thiên:
Dựa vào bảng biến thiên, ta thấy hàm số đạt cực đại tại
Theo đề bài, giá trị cực đại bằng 5 nên
Thay vào hàm số:

3. Kết luận: Chọn đáp án A. Đáp án: A
để tìm
, sau đó xác định điểm cực đại của hàm số và giải phương trình
để tìm 
2. Cách giải: Ta có đạo hàm

Vì hàm số đạt cực tiểu tại
nên 


Khi
, ta có
Giải


Ta có bảng biến thiên:
Dựa vào bảng biến thiên, ta thấy hàm số đạt cực đại tại

Theo đề bài, giá trị cực đại bằng 5 nên

Thay vào hàm số:


3. Kết luận: Chọn đáp án A. Đáp án: A
Dựa vào thông tin dưới đây để trả lời các câu từ 14 đến 16
Cho hàm số f(x) = x3 - 9x2 + 24x + m.
Câu 14 [1063357]: Giá trị của
bằng
bằng A, 

B, 

C, 

D, 

Ta có 
Chọn đáp án B. Đáp án: B

Chọn đáp án B. Đáp án: B
Câu 15 [1063358]: Khi
thì trung điểm
của đoạn thẳng nối hai điểm cực trị của đồ thị hàm số có toạ độ là
thì trung điểm
của đoạn thẳng nối hai điểm cực trị của đồ thị hàm số có toạ độ là A, 

B, 

C, 

D, 

1. Phương pháp: Tìm tọa độ hai điểm cực trị
rồi dùng công thức trung điểm
2. Cách giải: Khi
hàm số trở thành
Ta có đạo hàm:
Giải phương trình
Hai điểm cực trị là
và
Tọa độ trung điểm
của đoạn thẳng
là: 
Vậy tọa độ điểm cần tìm là
3. Kết luận: Chọn đáp án C. Đáp án: C
rồi dùng công thức trung điểm
2. Cách giải: Khi
hàm số trở thành
Ta có đạo hàm:
Giải phương trình
Hai điểm cực trị là
và
Tọa độ trung điểm
của đoạn thẳng
là: 
Vậy tọa độ điểm cần tìm là
3. Kết luận: Chọn đáp án C. Đáp án: C
Câu 16 [1063359]: Có bao nhiêu giá trị nguyên của tham số
để đồ thị hàm số đã cho có hai điểm cực trị nằm về hai phía của trục hoành?
để đồ thị hàm số đã cho có hai điểm cực trị nằm về hai phía của trục hoành? A, 

B, 

C, 

D, 

1. Phương pháp: Hai điểm cực trị nằm về hai phía của trục hoành
khi và chỉ khi tích giá trị cực đại và cực tiểu nhỏ hơn 0
2. Cách giải: Ta có đạo hàm:
Giải
Tính giá trị cực trị:
Để hai điểm cực trị nằm về hai phía trục hoành thì:
Vì
là số nguyên nên
Vậy có 3 giá trị nguyên thỏa mãn.
3. Kết luận: Chọn đáp án A. Đáp án: A
khi và chỉ khi tích giá trị cực đại và cực tiểu nhỏ hơn 0
2. Cách giải: Ta có đạo hàm:
Giải

Tính giá trị cực trị:
Để hai điểm cực trị nằm về hai phía trục hoành thì:

Vì
là số nguyên nên
Vậy có 3 giá trị nguyên thỏa mãn.
3. Kết luận: Chọn đáp án A. Đáp án: A
Dựa vào thông tin dưới đây để trả lời các câu từ 17 đến 19
Cho hàm số f(x) = x3 - 3x2 + mx - 1 với m là tham số thực.
Câu 17 [1005643]: Với
giá trị cực đại của hàm số
bằng
giá trị cực đại của hàm số
bằng A, 

B, 

C, 

D, 

Phương pháp: Hàm số đạt cực đại tại
khi và chỉ khi 
Cách giải:

Với
ta có: 




Hàm số đạt cực đại tại
khi và chỉ khi 
Vậy tại
thì hàm số đạt cực đại.
Kết luận:
Chọn đáp án C. Đáp án: C
khi và chỉ khi 
Cách giải:

Với
ta có: 




Hàm số đạt cực đại tại
khi và chỉ khi 
Vậy tại
thì hàm số đạt cực đại.
Kết luận:
Chọn đáp án C. Đáp án: C
Câu 18 [1005644]: Hàm số đã cho có hai điểm cực trị khi và chỉ khi
A, 

B, 

C, 

D, 

Phương pháp: Hàm có hai điểm cực trị khi và chỉ khi
có hai nghiệm phân biệt hay 
Cách giải:



Hàm có hai điểm cực trị khi và chỉ khi
có hai nghiệm phân biệt.



Kết luận: Chọn đáp án B.
Đáp án: B
có hai nghiệm phân biệt hay 
Cách giải:



Hàm có hai điểm cực trị khi và chỉ khi
có hai nghiệm phân biệt.


Kết luận: Chọn đáp án B.
Đáp án: B
Câu 19 [1005645]: Biết rằng khi
thì hàm số đã cho có hai điểm cực trị
thoả mãn
khi đó
thuộc khoảng
thì hàm số đã cho có hai điểm cực trị
thoả mãn
khi đó
thuộc khoảng A, 

B, 

C, 

D, 

Gợi ý: Điểm cực trị của hàm số là nghiệm bội lẻ của phương trình
Sử dụng định lí Viète.
Ta có
Đầu tiên, ta đi tìm điều kiện để hàm số có hai cực trị: Để hàm số có hai điểm cực trị
thì
có hai nghiệm phân biệt 



Vì phương trình
có hai nghiệm phân biệt
, nên theo định lí Viète, ta có
Và hai nghiệm
này thỏa mãn phương trình
(thêm một lượng
để tạo thành bình phương của một tổng)
(thay
và
vừa tìm được vào)

So với điều kiện
thì ta thấy
thỏa mãn.
Vậy
thỏa mãn yêu cầu bài toán.
Chọn đáp án A. Đáp án: A
Sử dụng định lí Viète.
Ta có
Đầu tiên, ta đi tìm điều kiện để hàm số có hai cực trị: Để hàm số có hai điểm cực trị
thì
có hai nghiệm phân biệt 



Vì phương trình
có hai nghiệm phân biệt
, nên theo định lí Viète, ta có
Và hai nghiệm
này thỏa mãn phương trình
(thêm một lượng
để tạo thành bình phương của một tổng)
(thay
và
vừa tìm được vào)

So với điều kiện
thì ta thấy
thỏa mãn.
Vậy
thỏa mãn yêu cầu bài toán.
Chọn đáp án A. Đáp án: A
Dựa vào thông tin dưới đây để trả lời các câu từ 20 đến 22

Câu 20 [1005652]: Với
hàm số đã cho nghịch biến trên khoảng
hàm số đã cho nghịch biến trên khoảng A, 

B, 

C, 

D, 

Phương pháp: Lập bảng biến thiên, xét tính đơn điệu hàm số.
Cách giải:

Với
ta có: 


Ta lập bảng biến thiên:

Từ bảng biến thiên, hàm số nghịch biến trên khoảng
Mà
thuộc 
Kết luận:
Chọn đáp án D. Đáp án: D
Cách giải:

Với
ta có: 


Ta lập bảng biến thiên:

Từ bảng biến thiên, hàm số nghịch biến trên khoảng

Mà
thuộc 
Kết luận:
Chọn đáp án D. Đáp án: D
Câu 21 [1005653]: Có bao nhiêu giá trị nguyên của
để hàm số đã cho có hai điểm cực trị dương?
để hàm số đã cho có hai điểm cực trị dương? A, 

B, 

C, 

D, 

Phương pháp: hàm số có hai điểm cực trị dương khi và chỉ khi phương trình
có hai nghiệm phân biệt dương 
Cách giải:


Để hàm số có hai điểm cực trị dương khi và chỉ khi phương trình
có hai nghiệm phân biệt dương




Mà


Kết luận:
Vậy có 6 giá trị nguyên của
thỏa mãn yêu cầu đề bài
Chọn đáp án A. Đáp án: A
có hai nghiệm phân biệt dương 
Cách giải:


Để hàm số có hai điểm cực trị dương khi và chỉ khi phương trình
có hai nghiệm phân biệt dương



Mà



Kết luận:
Vậy có 6 giá trị nguyên của
thỏa mãn yêu cầu đề bàiChọn đáp án A. Đáp án: A
Câu 22 [1005654]: Gọi
là tập hợp các giá trị của tham số
để hàm số có hai điểm cực trị
thoả mãn
Tổng bình phương các phần tử thuộc tập
là
là tập hợp các giá trị của tham số
để hàm số có hai điểm cực trị
thoả mãn
Tổng bình phương các phần tử thuộc tập
là A, 

B, 

C, 

D, 

Gợi ý: Điểm cực trị của hàm số là nghiệm bội lẻ của phương trình
Sử dụng định lí Viète.
Ta có
Đầu tiên, ta đi tìm điều kiện để hàm số có hai cực trị: Để hàm số có hai điểm cực trị
thì
có hai nghiệm phân biệt 




Vì phương trình
có hai nghiệm phân biệt
, nên theo định lí Viète, ta có
Và hai nghiệm
này thỏa mãn phương trình
(bình phương hai vế)
(thêm một lượng
để tạo thành bình phương của một tổng)
(thay
và
vừa tìm được vào)



Bấm máy tính, ta được kết quả
Vậy tổng bình phương các phần tử thuộc
bằng
Chọn đáp án A. Đáp án: A
Sử dụng định lí Viète.
Ta có
Đầu tiên, ta đi tìm điều kiện để hàm số có hai cực trị: Để hàm số có hai điểm cực trị
thì
có hai nghiệm phân biệt 




Vì phương trình
có hai nghiệm phân biệt
, nên theo định lí Viète, ta có
Và hai nghiệm
này thỏa mãn phương trình
(bình phương hai vế)
(thêm một lượng
để tạo thành bình phương của một tổng)
(thay
và
vừa tìm được vào)



Bấm máy tính, ta được kết quả
Vậy tổng bình phương các phần tử thuộc
bằng
Chọn đáp án A. Đáp án: A
Câu 23 [1063360]: Gọi
là tập tất cả giá trị của tham số
để hàm số
đạt cực trị tại 2 điểm
sao cho
Tổng tất cả các phần tử của S bằng
là tập tất cả giá trị của tham số
để hàm số
đạt cực trị tại 2 điểm
sao cho
Tổng tất cả các phần tử của S bằng A, 1.
B, 2.
C, 3.
D, 4.
1. Phương pháp: Sử dụng định lý Vi-ét cho phương trình đạo hàm
kết hợp với giả thiết
để tìm nghiệm, từ đó suy ra 
2. Cách giải: Ta có đạo hàm
Vì tích hệ số
nên phương trình
luôn có 2 nghiệm phân biệt
với mọi 
Theo định lý Vi-ét:
Theo giả thiết
thay vào
ta được:


Trường hợp 1:
Thay vào
: 

Trường hợp 2:
Thay vào
: 

Tổng các phần tử của
là: 
3. Kết luận: Chọn đáp án B. Đáp án: B
kết hợp với giả thiết
để tìm nghiệm, từ đó suy ra 
2. Cách giải: Ta có đạo hàm

Vì tích hệ số
nên phương trình
luôn có 2 nghiệm phân biệt
với mọi 
Theo định lý Vi-ét:

Theo giả thiết
thay vào
ta được:


Trường hợp 1:

Thay vào
: 

Trường hợp 2:

Thay vào
: 

Tổng các phần tử của
là: 
3. Kết luận: Chọn đáp án B. Đáp án: B
Câu 24 [1063361]: Có bao nhiêu giá trị nguyên của tham số
để hàm số
có hai điểm cực trị trái dấu?
để hàm số
có hai điểm cực trị trái dấu? A, 

B, 

C, 

D, 

1. Phương pháp: Hàm số có hai điểm cực trị trái dấu
khi và chỉ khi phương trình
có hai nghiệm trái dấu
2. Cách giải: Ta có đạo hàm
Để hàm số có hai điểm cực trị trái dấu thì phương trình
phải có tích hai nghiệm âm:


Vì
là số nguyên nên
Vậy có 5 giá trị nguyên của tham số
thỏa mãn.
3. Kết luận: Chọn đáp án C. Đáp án: C
khi và chỉ khi phương trình
có hai nghiệm trái dấu
2. Cách giải: Ta có đạo hàm

Để hàm số có hai điểm cực trị trái dấu thì phương trình
phải có tích hai nghiệm âm:


Vì
là số nguyên nên
Vậy có 5 giá trị nguyên của tham số
thỏa mãn.
3. Kết luận: Chọn đáp án C. Đáp án: C
Dựa vào thông tin dưới đây để trả lời các câu từ 25 đến 27
Cho hàm số f(x) = 2x3 - 6mx2 + 6(m + 12)x + 1.
Câu 25 [1063362]: Khi
hàm số
có bao nhiêu điểm cực trị?
hàm số
có bao nhiêu điểm cực trị? A, 

B, 

C, 

D, 

Chọn B.
Với
thì
Khi đó
có 1 nghiệm kép
Do đó hàm số
không có điểm cực trị.
Đáp án: B
Với
thì
Khi đó
có 1 nghiệm kép
Do đó hàm số
không có điểm cực trị.
Đáp án: B
Câu 26 [1063363]: Có bao nhiêu giá trị nguyên của tham số
để hàm số
đồng biến trên khoảng
?
để hàm số
đồng biến trên khoảng
? A, 

B, 

C, 

D, 

Chọn C.
Ta có
Để hàm số
đồng biến trên khoảng
thì
(Áp dụng lí thuyết: Tam thức bậc 2 có
thì
)
Ta có giá trị
nên để
thì
Mặt khác
nên
Đáp án: C
Ta có
Để hàm số
đồng biến trên khoảng
thì
(Áp dụng lí thuyết: Tam thức bậc 2 có
thì
)
Ta có giá trị
nên để
thì
Mặt khác
nên
Đáp án: C
Câu 27 [1063364]: Tích các giá trị của tham số
để đồ thị hàm số
có hai điểm cực trị mà hoành độ của nó là độ dài hai cạnh góc vuông của một tam giác vuông có độ dài cạnh huyền bằng
là
để đồ thị hàm số
có hai điểm cực trị mà hoành độ của nó là độ dài hai cạnh góc vuông của một tam giác vuông có độ dài cạnh huyền bằng
là A, 

B, 

C, 

D, 

Chọn D.
Ta có
Để hàm số
có hai điểm cực trị thì
Do hai điểm cực trị có hoành độ là độ dài hai cạnh góc vuông của một tam giác vuông có độ dài cạnh huyền bằng
nên
Lại có
Vậy tích các giá trị của
là
Đáp án: D
Ta có
Để hàm số
có hai điểm cực trị thì
Do hai điểm cực trị có hoành độ là độ dài hai cạnh góc vuông của một tam giác vuông có độ dài cạnh huyền bằng
nên
Lại có
Vậy tích các giá trị của
là
Đáp án: D Dựa vào thông tin dưới đây để trả lời các câu từ 28 đến 30
Cho hàm số f(x) = x3 - 3x2 + m với m là tham số.
Câu 28 [0]:
Đáp án: D
Câu 29 [1063365]: Hàm số
đồng biến trên khoảng nào sau đây?
đồng biến trên khoảng nào sau đây? A, 

B, 

C, 

D, 

1. Phương pháp: Dựa vào bảng xét dấu cảu đạo hàm để xác định khoảng đồng biến nghịch biến chủa hàm số.
2. Cách giải: Ta có
Ta có

Ta có bảng biến thiên:
Dựa vào bảng biến thiên, ta thấy hàm số đồng biến trên các khoảng
và
3. Kết luận: Chọn đáp án C. Đáp án: C
2. Cách giải: Ta có
Ta có

Ta có bảng biến thiên:
Dựa vào bảng biến thiên, ta thấy hàm số đồng biến trên các khoảng
và
3. Kết luận: Chọn đáp án C. Đáp án: C
Câu 30 [1063366]: Giá trị cực tiểu của hàm số
là
là A, 

B, 

C, 

D, 

Ta có bảng biến thiên:
Dựa vào bảng biến thiên, ta thấy hàm số đạt cực tiểu tại
Chọn đáp án D. Đáp án: D
Dựa vào bảng biến thiên, ta thấy hàm số đạt cực tiểu tại
Chọn đáp án D. Đáp án: D
Câu 31 [1063367]: Tìm tất cả các giá trị của tham số
để đồ thị hàm số
có hai điểm cực trị
thoả mãn
(với
là gốc toạ độ).
để đồ thị hàm số
có hai điểm cực trị
thoả mãn
(với
là gốc toạ độ). A, 

B, 

C, 

D, 

Ta có tọa độ hai điểm cực trị là
và
Để
thì 


Với
không tạo thành góc (loại).
Với
và
nằm trên hai trục tọa độ, tạo góc vuông tại
(thỏa mãn).
Vậy giá trị cần tìm là
Chọn đáp án C. Đáp án: C
và
Để
thì 


Với
không tạo thành góc (loại).
Với
và
nằm trên hai trục tọa độ, tạo góc vuông tại
(thỏa mãn).
Vậy giá trị cần tìm là
Chọn đáp án C. Đáp án: C
Dựa vào thông tin dưới đây để trả lời các câu từ 31 đến 33

Câu 32 [1063368]: Khi
tiếp tuyến của đồ thị hàm số
tại điểm có tung độ bằng
có hệ số góc là
tiếp tuyến của đồ thị hàm số
tại điểm có tung độ bằng
có hệ số góc là A, 

B, 

C, 

D, 

1. Phương pháp: Tìm hoành độ tiếp điểm
từ phương trình
sau đó tính hệ số góc bằng đạo hàm tại điểm đó:
2. Cách giải: Khi
hàm số trở thành
Theo giả thiết tung độ tiếp điểm bằng
ta có:



Ta có đạo hàm:
Hệ số góc của tiếp tuyến tại
là: 
3. Kết luận: Chọn đáp án B. Đáp án: B
từ phương trình
sau đó tính hệ số góc bằng đạo hàm tại điểm đó:
2. Cách giải: Khi
hàm số trở thành
Theo giả thiết tung độ tiếp điểm bằng
ta có:



Ta có đạo hàm:

Hệ số góc của tiếp tuyến tại
là: 
3. Kết luận: Chọn đáp án B. Đáp án: B
Câu 33 [1063369]: Có bao nhiêu giá trị nguyên của tham số
để hàm số đã cho nghịch biến trên khoảng
?
để hàm số đã cho nghịch biến trên khoảng
? A, 

B, Vô số.
C, 

D, 

1. Phương pháp: Hàm số
nghịch biến trên khoảng
khi
và nghiệm mẫu ngoài khoảng 
2. Cách giải: Điều kiện xác định:
Ta có đạo hàm:
Để hàm số nghịch biến trên khoảng
thì cần thỏa mãn 2 điều kiện:



Vì
là số nguyên
nên 
Vậy có 3 giá trị nguyên của tham số
thỏa mãn.
3. Kết luận: Chọn đáp án A. Đáp án: A
nghịch biến trên khoảng
khi
và nghiệm mẫu ngoài khoảng 
2. Cách giải: Điều kiện xác định:

Ta có đạo hàm:

Để hàm số nghịch biến trên khoảng
thì cần thỏa mãn 2 điều kiện:



Vì
là số nguyên
nên 
Vậy có 3 giá trị nguyên của tham số
thỏa mãn.3. Kết luận: Chọn đáp án A. Đáp án: A
Câu 34 [1063370]: Có bao nhiêu giá trị nguyên của tham số
thuộc đoạn
để hàm số
có hai điểm cực trị?
thuộc đoạn
để hàm số
có hai điểm cực trị? A, 

B, 

C, 

D, 

1. Phương pháp: Đưa hàm số về dạng
hàm số có 2 điểm cực trị khi tử số của đạo hàm có 2 nghiệm phân biệt khác nghiệm của mẫu số.
2. Cách giải: Ta có hàm số:
Đạo hàm:
Để hàm số có 2 cực trị thì phương trình tử số
phải có 2 nghiệm phân biệt khác


Vì
và
nên
(chỉ loại
Vậy có 10 giá trị nguyên thỏa mãn.
3. Kết luận: Chọn đáp án D. Đáp án: D
hàm số có 2 điểm cực trị khi tử số của đạo hàm có 2 nghiệm phân biệt khác nghiệm của mẫu số.
2. Cách giải: Ta có hàm số:

Đạo hàm:

Để hàm số có 2 cực trị thì phương trình tử số
phải có 2 nghiệm phân biệt khác


Vì
và
nên
(chỉ loại
Vậy có 10 giá trị nguyên thỏa mãn.
3. Kết luận: Chọn đáp án D. Đáp án: D
Dựa vào thông tin dưới đây để trả lời các câu từ 34 đến 35

Câu 35 [1063371]: Hàm số
có bao nhiêu điểm cực trị?
có bao nhiêu điểm cực trị? A, 

B, 

C, 

D, 

Hàm số bậc nhất trên bậc nhất
(với
luôn đơn điệu trên từng khoảng xác định, do đó không bao giờ có cực trị.
Chọn đáp án C. Đáp án: C
(với
luôn đơn điệu trên từng khoảng xác định, do đó không bao giờ có cực trị.
Chọn đáp án C. Đáp án: C
Câu 36 [1063372]: Có bao nhiêu giá trị nguyên của tham số
để hàm số đã cho đồng biến trên khoảng
?
để hàm số đã cho đồng biến trên khoảng
? A, 

B, 

C, 

D, 

1. Phương pháp: Hàm số
đồng biến trên khoảng
khi
và nghiệm của mẫu không thuộc 
2. Cách giải: Điều kiện xác định:
.
Ta có đạo hàm:
.
Để hàm số đồng biến trên khoảng
thì cần thỏa mãn 2 điều kiện:



Vì
là số nguyên
nên 
Vậy có 2 giá trị nguyên của tham số
thỏa mãn.
3. Kết luận: Chọn đáp án D. Đáp án: D
đồng biến trên khoảng
khi
và nghiệm của mẫu không thuộc 
2. Cách giải: Điều kiện xác định:
.Ta có đạo hàm:

.Để hàm số đồng biến trên khoảng
thì cần thỏa mãn 2 điều kiện:



Vì
là số nguyên
nên 
Vậy có 2 giá trị nguyên của tham số
thỏa mãn.3. Kết luận: Chọn đáp án D. Đáp án: D
Câu 37 [1063373]: Cho hàm số
có đạo hàm
với mọi
Có bao nhiêu giá trị nguyên của
để hàm số đã cho đạt cực tiểu tại
có đạo hàm
với mọi
Có bao nhiêu giá trị nguyên của
để hàm số đã cho đạt cực tiểu tại
A, 

B, 

C, 

D, 

1. Phương pháp: Phân tích đa thức
thành nhân tử, sử dụng điều kiện hàm số đạt cực tiểu tại
khi
đổi dấu từ âm sang dương qua
2. Cách giải: Ta phân tích:
Nhận thấy khi qua
nhân tử
đổi dấu từ âm
sang dương
Để hàm số đạt cực tiểu tại
thì biểu thức còn lại phải mang dấu dương tại
Tức là:

Lưu ý: Nếu
không đổi dấu qua 4 nên không đạt cực trị.
Kết hợp với điều kiện
và
ta có
Số giá trị nguyên của
là:
giá trị.
3. Kết luận: Chọn đáp án A. Đáp án: A
thành nhân tử, sử dụng điều kiện hàm số đạt cực tiểu tại
khi
đổi dấu từ âm sang dương qua
2. Cách giải: Ta phân tích:
Nhận thấy khi qua
nhân tử
đổi dấu từ âm
sang dương
Để hàm số đạt cực tiểu tại
thì biểu thức còn lại phải mang dấu dương tại
Tức là:


Lưu ý: Nếu
không đổi dấu qua 4 nên không đạt cực trị.
Kết hợp với điều kiện
và
ta có
Số giá trị nguyên của
là:
giá trị.
3. Kết luận: Chọn đáp án A. Đáp án: A
Câu 38 [713204]: Có bao nhiêu giá trị nguyên của tham số
sao cho ứng với mỗi
hàm số
có cực đại và cực tiểu đồng thời hoành độ của điểm cực tiểu nhỏ hơn
?
sao cho ứng với mỗi
hàm số
có cực đại và cực tiểu đồng thời hoành độ của điểm cực tiểu nhỏ hơn
? A, 

B, 

C, 

D, 



có 2 nghiệm


TH1:

Khi đó
là điểm cực tiểu


TH2:

Khi đó
là điểm cực tiểu (TM 

Từ 2 TH suy ra m có 5 giá trị.
Chọn đáp án A. Đáp án: A
Câu 39 [28500]: Tìm tất cả các giá trị thực của tham số
để đồ thị hàm số
có ba điểm cực trị tạo thành một tam giác có diện tích nhỏ hơn 1.
để đồ thị hàm số
có ba điểm cực trị tạo thành một tam giác có diện tích nhỏ hơn 1. A, 

B, 

C, 

D, 

Đáp án: D
Câu 40 [711716]: Có bao nhiêu giá trị nguyên của tham số m sao cho ứng với mỗi m, hàm số
có cực tiểu mà không có cực đại?
có cực tiểu mà không có cực đại? A, 

B, 

C, 

D, 

Ta có 
Suy ra


Yêu cầu bài toán tương đương với:
TH1:
có nghiệm kép hoặc vô nghiệm


Khi đó hàm số đã cho đạt cực tiểu tại
TH2:
có hai nghiệm phân biệt và một nghiệm là

Chọn đáp án B Đáp án: B

Suy ra


Yêu cầu bài toán tương đương với:
TH1:
có nghiệm kép hoặc vô nghiệm 

Khi đó hàm số đã cho đạt cực tiểu tại

TH2:
có hai nghiệm phân biệt và một nghiệm là

Chọn đáp án B Đáp án: B
Câu 41 [1063374]: Cho hàm số
(với
là tham số) liên tục trên
Có tất cả bao nhiêu giá trị nguyên của tham số
để hàm số đã cho có đúng hai điểm cực trị?
(với
là tham số) liên tục trên
Có tất cả bao nhiêu giá trị nguyên của tham số
để hàm số đã cho có đúng hai điểm cực trị? A, 

B, 

C, 

D, 

1. Phương pháp: Tìm điều kiện để hàm số liên tục tại
Hàm số có 2 cực trị khi đỉnh parabol nằm trong khoảng
(tạo 1 cực đại) và đồ thị gấp khúc tạo thành cực tiểu tại điểm nối
2. Cách giải: Điều kiện liên tục tại



Xét đoạn
: Đồ thị là parabol bề lõm quay xuống, đỉnh tại
Xét khoảng
: Đồ thị là đường thẳng có hệ số góc
Để hàm số có đúng 2 điểm cực trị thì phải thỏa mãn các điều kiện:
1. Đỉnh parabol phải thuộc miền xác định
(đây là điểm cực đại): 
2. Tại giao điểm
hàm số phải đổi chiều từ nghịch biến (đi xuống từ đỉnh parabol) sang đồng biến (đi lên theo đường thẳng) để tạo thành điểm cực tiểu. Tức là hệ số góc đường thẳng phải dương: 


Kết hợp điều kiện:
Các giá trị nguyên của
là:
Vậy có tất cả 6 giá trị nguyên thỏa mãn.
3. Kết luận: Chọn đáp án B. Đáp án: B
Hàm số có 2 cực trị khi đỉnh parabol nằm trong khoảng
(tạo 1 cực đại) và đồ thị gấp khúc tạo thành cực tiểu tại điểm nối
2. Cách giải: Điều kiện liên tục tại



Xét đoạn
: Đồ thị là parabol bề lõm quay xuống, đỉnh tại
Xét khoảng
: Đồ thị là đường thẳng có hệ số góc
Để hàm số có đúng 2 điểm cực trị thì phải thỏa mãn các điều kiện:
1. Đỉnh parabol phải thuộc miền xác định
(đây là điểm cực đại): 
2. Tại giao điểm
hàm số phải đổi chiều từ nghịch biến (đi xuống từ đỉnh parabol) sang đồng biến (đi lên theo đường thẳng) để tạo thành điểm cực tiểu. Tức là hệ số góc đường thẳng phải dương: 


Kết hợp điều kiện:
Các giá trị nguyên của
là:
Vậy có tất cả 6 giá trị nguyên thỏa mãn.
3. Kết luận: Chọn đáp án B. Đáp án: B