Câu 1 [868547]: Cho hai biến cố
và
thoả mãn
thì
bằng
và
thoả mãn
thì
bằng A, 

B, 

C, 

D, 

Áp dụng công thức xác suất có điều kiện: 

Chọn đáp án D. Đáp án: D


Chọn đáp án D. Đáp án: D
Câu 2 [778927]: Cho hai biến cố
và
với
và
Tính xác suất của
và
với
và
Tính xác suất của
A, 

B, 

C, 

D, 

Ta có:
Đáp án: A
Đáp án: A
Câu 3 [134710]: Cho hai biến cố
và
là hai biến cố độc lập. Khẳng định nào dưới đây là đúng.
và
là hai biến cố độc lập. Khẳng định nào dưới đây là đúng. A, 

B, 

C, 

D, 

Theo công thức xác suất có điều kiện:
Nếu
la hai biến cố độc lập ta có:
Suy ra
. Chọn C.
Đáp án: C
Nếu
la hai biến cố độc lập ta có:
Suy ra
. Chọn C.
Đáp án: C
Câu 4 [868563]: Cho hai biến cố
và
thoả mãn
Tính
và
thoả mãn
Tính
A, 

B, 

C, 

D, 

HD:
Đáp án: B
Đáp án: B
Câu 5 [868564]: Cho hai biến cố
và
thoả mãn
và
Tính
và
thoả mãn
và
Tính
A, 

B, 

C, 

D, 

Ta có: 
Đáp án: B

Đáp án: B
Câu 6 [134769]: Cho
Giá trị
là
Giá trị
là A, 

B, 

C, 

D, 

Ta có:
Chọn B. Đáp án: B
Chọn B. Đáp án: B
Câu 7 [134800]: Cho hai biến cố
có có
và
Tính
có có
và
Tính
A, 

B, 

C, 

D, 

Ta có:
Chọn A. Đáp án: A
Chọn A. Đáp án: A
Câu 8 [134803]: Cho
Giá trị
là
Giá trị
là A, 

B, 

C, 

D, 

Chọn đáp án D.
Ta có:



Đáp án: D
Ta có:




Đáp án: D
Câu 9 [579691]: [Đề mẫu HSA 2024]: Cho các biến cố
và
thỏa mãn
và
Khi đó
bằng
và
thỏa mãn
và
Khi đó
bằng A, 

B, 

C, 

D, 

Ta có: 

Chọn A. Đáp án: A


Chọn A. Đáp án: A
Câu 10 [868565]: Cho hai biến cố
và
thoả mãn
Xác suất biến cố
không xảy ra với điều kiện biến cố
xảy ra là
và
thoả mãn
Xác suất biến cố
không xảy ra với điều kiện biến cố
xảy ra là A, 

B, 

C, 

D, 

Ta có: 


Đáp án: D



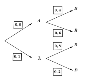
Đáp án: D Dựa vào thông tin dưới đây để trả lời các câu từ 11 đến 14
Cho sơ đồ hình cây dưới đây:
Câu 11 [868570]: Xác suất của biến cố cả
và
đều xảy ra là
và
đều xảy ra là A, 

B, 

C, 

D, 

Áp dụng công thức xác suất có điều kiện: 
Chọn đáp án B. Đáp án: B

Chọn đáp án B. Đáp án: B
Câu 12 [868571]: Xác suất của biến cố
là
là A, 

B, 

C, 

D, 

Áp dụng công thức xác suất toàn phần:

Chọn đáp án B. Đáp án: B

Chọn đáp án B. Đáp án: B
Câu 13 [868574]: Xác suất có điều kiện
là
là A, 

B, 

C, 

D, 

Áp dụng công thức xác suất có điều kiện:

Chọn đáp án C. Đáp án: C

Chọn đáp án C. Đáp án: C
Câu 14 [868575]: Giá trị của biểu thức
là
là A, 

B, 

C, 

D, 

(thực hiện quy đồng)
Chọn đáp án A. Đáp án: A
Câu 15 [868553]: Cho hai biến cố
và
thoả mãn
Giá trị của
là
và
thoả mãn
Giá trị của
là A, 

B, 

C, 

D, 

Ta có:

Do đó
Đáp án: D

Do đó
Đáp án: D
Câu 16 [778934]: Lớp 12A1 có 25 học sinh nam và 15 học sinh nữ. Trong số đó có 16 bạn nam và 6 bạn nữ thích chơi thể thao. Chọn một bạn bất kì của lớp 12A1, tính xác suất học sinh được chọn thích chơi thể thao, biết rằng học sinh đó là nữ.
A, 

B, 

C, 

D, 

Số phần tử của không gian mẫu:
.
Gọi A là biến cố “học sinh được chọn là nữ” và B là biến cố “học sinh được chọn thích chơi thể thao”
Ta có:
.
Ta có:
Trong đó:
. Suy ra 
.
Vậy xác suất cần tìm là:
.
Đáp án: D
.Gọi A là biến cố “học sinh được chọn là nữ” và B là biến cố “học sinh được chọn thích chơi thể thao”
Ta có:
.Ta có:

Trong đó:
. Suy ra 
. Vậy xác suất cần tìm là:
.
Đáp án: D
Câu 17 [868576]: Một bình đựng 9 viên bi xanh và 7 viên bi đỏ. Lần lượt lấy ngẫu nhiên ra 2 bi, mỗi lần lấy 1 bi không hoàn lại. Tính xác suất để bi thứ 2 màu xanh nếu biết bi thứ nhất màu đỏ?
A, 

B, 

C, 

D, 

Chọn D.
Gọi
là biến cố “lần thứ nhất lấy được bi màu đỏ”.
Gọi
là biến cố “lần thứ hai lấy được bi màu xanh”.
Ta cần tìm
Xác suất để lần thứ nhất lấy được bi màu đỏ là
Sau khi lấy 1 viên màu đỏ, trong bình còn lại 15 viên bi gồm 9 viên bi màu xanh, do đó xác suất để lần thứ hai lấy được bi màu xanh là
Vậy
Đáp án: D
Gọi
là biến cố “lần thứ nhất lấy được bi màu đỏ”.
Gọi
là biến cố “lần thứ hai lấy được bi màu xanh”.
Ta cần tìm
Xác suất để lần thứ nhất lấy được bi màu đỏ là
Sau khi lấy 1 viên màu đỏ, trong bình còn lại 15 viên bi gồm 9 viên bi màu xanh, do đó xác suất để lần thứ hai lấy được bi màu xanh là
Vậy
Đáp án: D Dựa vào thông tin dưới đây để trả lời các câu từ 18 đến 19
Một nhà máy thực hiện khảo sát toàn bộ công nhân về sự hài lòng của họ về điều kiện làm việc tại phân xưởng. Kết quả khảo sát như sau:
Gặp ngẫu nhiên một công nhân của nhà máy. Gọi A là biến cố “Công nhân đó làm việc tại phân xưởng I” và là B biến cố “Công nhân đó hài lòng với điều kiện làm việc tại phân xưởng”.

Câu 18 [868603]: Xác suất của biến cố
với điều kiện
là
với điều kiện
là A, 

B, 

C, 

D, 


Chọn đáp án A. Đáp án: A
Câu 19 [868604]: Xác suất của biến cố
với điều kiện
không xảy ra là
với điều kiện
không xảy ra là A, 

B, 

C, 

D, 


Chọn đáp án C. Đáp án: C
Câu 20 [868605]: Áo sơ mi An Phước trước khi xuất khẩu sang Mỹ phải qua 2 lần kiểm tra, nếu cả hai lần đều đạt thì chiếc áo đó mới đủ tiêu chuẩn xuất khẩu. Biết rằng bình quân 98% sản phẩm làm ra qua được lần kiểm tra thứ nhất, và 95% sản phẩm qua được lần kiểm tra đầu sẽ tiếp tục qua được lần kiểm tra thứ hai. Tìm xác suất để 1 chiếc áo sơ mi đủ tiêu chuẩn xuất khẩu?
A, 

B, 

C, 

D, 

Chọn B.
Gọi A là biến cố ” qua được lần kiểm tra đầu tiên”
Gọi B là biên cố “qua được lần kiểm tra thứ 2”
chiếc áo sơ mi đủ tiêu chuẩn xuất khẩu phải thỏa mãn 2 điều kiện trên hay ta đi tính
ta có
Đáp án: B
Gọi A là biến cố ” qua được lần kiểm tra đầu tiên”

Gọi B là biên cố “qua được lần kiểm tra thứ 2”

chiếc áo sơ mi đủ tiêu chuẩn xuất khẩu phải thỏa mãn 2 điều kiện trên hay ta đi tính

ta có
Đáp án: B Dựa vào thông tin dưới đây để trả lời các câu từ 21 đến 23
Một công ty cần tuyển 2 nhân viên, có 6 người nộp đơn trong đó có 2 nam và 4 nữ. Biết rằng khả năng được tuyển của mỗi người là như nhau.
Câu 21 [745187]: Xác suất để cả hai người được chọn là nữ là
A, 

B, 

C, 

D, 

Chọn đáp án D.
Gọi
là biến cố “Cả 2 người được chọn là nữ”
Ta có:
Đáp án: D
Gọi
là biến cố “Cả 2 người được chọn là nữ”
Ta có:

Đáp án: D
Câu 22 [745188]: Xác suất để cả hai người được chọn là nữ nếu biết rằng có ít nhất một nữ đã được chọn là
A, 

B, 

C, 

D, 

Chọn đáp án B.
Gọi
là biến cố “Có ít nhất 1 người được chọn là nữ”
Khi đó
là biến cố “Không có người nào là nữ được chọn”
Ta có:
Đáp án: B
Gọi
là biến cố “Có ít nhất 1 người được chọn là nữ”
Khi đó
là biến cố “Không có người nào là nữ được chọn”
Ta có:
Đáp án: B
Câu 23 [745189]: Giả sử Hoa là một trong 4 nữ. Xác suất để Hoa được chọn nếu biết rằng có ít nhất một nữ được chọn là
A, 

B, 

C, 

D, 

Chọn đáp án C.
Gọi
là biến cố “Hoa được chọn”.
Vì Hoa đã được chọn nên
sẽ là đi tìm xác xuất chọn ra 1 người trong 5 người còn lại
Ta có:
Đáp án: C
Gọi
là biến cố “Hoa được chọn”.
Vì Hoa đã được chọn nên
sẽ là đi tìm xác xuất chọn ra 1 người trong 5 người còn lại
Ta có:
Đáp án: C
Câu 24 [868608]: Một siêu thị tổ chức chương trình tri ân khách hàng, trong hộp bốc thăm trúng thưởng có 100 phiếu, trong đó có 2 phiếu trúng thưởng có ghi “ Chúc mứng bạn trúng thưởng 1 chiếc Iphone 15 promax”. Khách hàng được chọn lên rút thăm lần lượt 2 phiếu. Gọi
là biến cố “ phiếu thăm đầu trúng thưởng” và
“ Phiếu thăm thứ hai trúng thưởng”.
là biến cố “ phiếu thăm đầu trúng thưởng” và
“ Phiếu thăm thứ hai trúng thưởng”.
a) Đúng
Khi khách hàng rút thăm lần đầu thì trong hộp 100 phiếu trong đó có 2 phiếu trúng thưởng nên
Mệnh đề đúng.
b) Sai
Khi biến cố
đã xảy ra thì trong hộp còn 99 phiếu trong đó có 1 phiếu trúng thưởng.
Do đó:
Mệnh đề sai.
c) Sai
Mệnh đề sai.
d) Sai
Gọi C là biến cố “ cả 2 phiếu đều trúng thưởng”.
Vậy
Mệnh đề sai.
Khi khách hàng rút thăm lần đầu thì trong hộp 100 phiếu trong đó có 2 phiếu trúng thưởng nên
Mệnh đề đúng.
b) Sai
Khi biến cố
đã xảy ra thì trong hộp còn 99 phiếu trong đó có 1 phiếu trúng thưởng. Do đó:
Mệnh đề sai.
c) Sai
Mệnh đề sai.
d) Sai
Gọi C là biến cố “ cả 2 phiếu đều trúng thưởng”.
Vậy
Mệnh đề sai.
Câu 25 [868557]: Một học sinh làm
bài tập kế tiếp. Xác suất làm đúng bài thứ nhất là
Nếu làm đúng bài thứ nhất thì khả năng làm đúng bài thứ hai là
Nhưng nếu làm sai bài thứ nhất thì khả năng làm đúng bài thứ hai là
Gọi
là biến cố: “học sinh đó làm đúng bài thứ nhất”.
là biến cố: “học sinh đó làm đúng bài thứ hai”.
bài tập kế tiếp. Xác suất làm đúng bài thứ nhất là
Nếu làm đúng bài thứ nhất thì khả năng làm đúng bài thứ hai là
Nhưng nếu làm sai bài thứ nhất thì khả năng làm đúng bài thứ hai là
Gọi
là biến cố: “học sinh đó làm đúng bài thứ nhất”.
là biến cố: “học sinh đó làm đúng bài thứ hai”.
Khi đó biến cố: “làm đúng cả hai bài” là 
Theo bài ta có:

Do đó:


Ta có sơ đồ hình cây như sau:

Theo bài ta có:

Do đó:


Ta có sơ đồ hình cây như sau:
Câu 26 [868562]: Giả sử trong một nhóm người có
người là không nhiễm bệnh. Để phát hiện ra người nhiễm bệnh, người ta iến hành xét nghiệm tất cả mọi người của nhóm đó. Biết rằng đối với người nhiễm bệnh thì xác suất xét nghiệm có kết quả dương tính là
nhưng đối với người không nhiễm bệnh thì xác suất xét nghiệm có phản ứng dương tính là
Gọi
là biến cố: “Người được chọn ra không nhiễm bệnh”.
là biến cố: “Người được chọn ra có phản ứng dương tính”
người là không nhiễm bệnh. Để phát hiện ra người nhiễm bệnh, người ta iến hành xét nghiệm tất cả mọi người của nhóm đó. Biết rằng đối với người nhiễm bệnh thì xác suất xét nghiệm có kết quả dương tính là
nhưng đối với người không nhiễm bệnh thì xác suất xét nghiệm có phản ứng dương tính là
Gọi
là biến cố: “Người được chọn ra không nhiễm bệnh”.
là biến cố: “Người được chọn ra có phản ứng dương tính”
Dựa theo dữ kiện đề bài, ta có 




Ta có sơ đồ:
a) Dựa vào sơ đồ, ta có xác suất để người đó nhiễm bệnh là
Suy ra mệnh đề a) đúng.
b) Xác suất cho ra kết quả dương tính biết người đó nhiễm bệnh là:
Suy ra mệnh đề b) sai.
c) Xác suất để người được chọn nhiễm bệnh và có phản ứng dương tính là
(áp dụng công thức xác suất có điều kiện).
Suy ra mệnh đề c) sai.
d) Xác suất để người được chọn không nhiễm bệnh và không có phản ứng dương tính là:
( áp dụng công thức xác suất có điều kiện).
Suy ra mệnh đề d) đúng.





Ta có sơ đồ:
a) Dựa vào sơ đồ, ta có xác suất để người đó nhiễm bệnh là
Suy ra mệnh đề a) đúng.
b) Xác suất cho ra kết quả dương tính biết người đó nhiễm bệnh là:
Suy ra mệnh đề b) sai.
c) Xác suất để người được chọn nhiễm bệnh và có phản ứng dương tính là

(áp dụng công thức xác suất có điều kiện).
Suy ra mệnh đề c) sai.
d) Xác suất để người được chọn không nhiễm bệnh và không có phản ứng dương tính là:

( áp dụng công thức xác suất có điều kiện).
Suy ra mệnh đề d) đúng.
Câu 27 [868609]: Ông An hằng ngày đi làm bằng xe máy hoặc xe buýt. Nếu hôm nay ông đi làm bằng xe buýt thì xác suất để hôm sau ông đi làm bằng xe máy là 0,4. Nếu hôm nay ông đi làm bằng xe máy thì xác suất để hôm sau ông đi làm bằng xe buýt là 0,7. Xét một tuần mà thứ Hai ông An đi làm bằng xe buýt.
Gọi A là biến cố: “Thứ Ba, ông An đi làm bằng xe máy” và B là biến cố: “Thứ Tư, ông An đi làm bằng xe máy”.
Gọi A là biến cố: “Thứ Ba, ông An đi làm bằng xe máy” và B là biến cố: “Thứ Tư, ông An đi làm bằng xe máy”.
Từ giả thiết của bài toán ta có sơ đồ hình cây như sau:
a) Dựa vào sơ đồ cây ta có xác suất để thứ Ba, ông An đi làm bằng xe buýt là 0,6 (Nhánh
)
Chọn SAI.
b) Dựa vào sơ đồ cây ta có xác suất để thứ Tư, ông An đi làm bằng xe máy nếu thứ Ba, ông An đi làm bằng xe máy là 0,3 (Nhánh
)
Chọn ĐÚNG.
c) Dựa vào sơ đồ cây ta có xác suất để thứ Tư, ông An đi làm bằng xe máy nếu thứ Ba ông An đi làm bằng xe buýt 0,4 (Nhánh
)
Chọn ĐÚNG.
d) Xác suất để thứ Tư trong tuần đó, ông An đi làm bằng xe máy nếu thứ Hai ông An đi làm bằng xe buýt là
(Nhánh
và nhánh
)
Chọn ĐÚNG.
a) Dựa vào sơ đồ cây ta có xác suất để thứ Ba, ông An đi làm bằng xe buýt là 0,6 (Nhánh
)
Chọn SAI.
b) Dựa vào sơ đồ cây ta có xác suất để thứ Tư, ông An đi làm bằng xe máy nếu thứ Ba, ông An đi làm bằng xe máy là 0,3 (Nhánh
)
Chọn ĐÚNG.
c) Dựa vào sơ đồ cây ta có xác suất để thứ Tư, ông An đi làm bằng xe máy nếu thứ Ba ông An đi làm bằng xe buýt 0,4 (Nhánh
)
Chọn ĐÚNG.
d) Xác suất để thứ Tư trong tuần đó, ông An đi làm bằng xe máy nếu thứ Hai ông An đi làm bằng xe buýt là
(Nhánh
và nhánh
)
Chọn ĐÚNG.
Dựa vào thông tin dưới đây để trả lời các câu từ 28 đến 30
Hộp thứ nhất có 3 viên bi xanh và 6 viên vi đỏ. Hộp thứ hai có 3 viên vi xanh và 7 viên bi đỏ. Các viên bi có cùng kích thức và khối lượng. Lấy ngẫu nhiên ra một viên bi từ hộp thứ nhất chuyển sang hộp thứ hai. Sau đó lại lấy ngẫu nhiên đồng thời hai viên từ hộp thứ hai
Gọi A là biến cố “Lấy ra một bi một màu xanh ở hộp thứ nhất”.
Gọi B là biến cố: “Hai bi lấy ra từ hộp thứ hai là màu đỏ”.
Câu 28 [715094]: Xác suất có điều kiện
bằng
bằng A, 

B, 

C, 

D, 

Chọn đáp án D.
A là biến cố “Lấy ra bi màu xanh ở hộp thứ nhất”
Khi đó số bi trong hộp 2 là: 4 bi xanh và 7 bi đỏ
Đáp án: D
A là biến cố “Lấy ra bi màu xanh ở hộp thứ nhất”
Khi đó số bi trong hộp 2 là: 4 bi xanh và 7 bi đỏ
Đáp án: D
Câu 29 [715095]: Xác suất
bằng
bằng A, 

B, 

C, 

D, 

Chọn đáp án A.
Khi lấy 1 viên đỏ từ hộp 1 chuyển sang hộp 2 thì hộp 2 có 3 bi xanh và 8 bi đỏ
Xác xuất chọn 2 viên đỏ trong trường hợp này là:
Ta có:
Đáp án: A
Khi lấy 1 viên đỏ từ hộp 1 chuyển sang hộp 2 thì hộp 2 có 3 bi xanh và 8 bi đỏ
Xác xuất chọn 2 viên đỏ trong trường hợp này là:
Ta có:
Đáp án: A
Câu 30 [715096]: Biết rằng hai bi lấy ra từ hộp thứ hai là bi màu đỏ, tính xác suất viên bi lấy ra từ hộp thứ nhất cũng là bi màu đỏ.
A, 

B, 

C, 

D, 

Chọn đáp án C.
Theo câu [715095], ta có:
Đáp án: C
Theo câu [715095], ta có:
Đáp án: C